IMPROVED STEGANOGRAPHIC SECURITY BYAPPLYING AN IRREGULAR IMAGE SEGMENTATION AND HYBRID ADAPTIVE NEURAL NETWORKS WITHMODIFIED ANT COLONY OPTIMIZATION
Nameer N. El. Emam1 and Kefaya S. Qaddoum2
1Department of Computer Science, Philadelphia University, Jordan
2Department of Computer Engineering, Warwick University, UK
ABSTRACT
In this paper, a new steganography algorithm has been suggested to enforce the security of data hiding and to increase the amount of payloads. This algorithm is based on four safety layers; the first safety layer has been initiated through compression and an encryption of a confidential message using a set partition in hierarchical trees (SPIHT) and advanced encryption standard (AES) mechanisms respectively. An irregular image segmentation algorithm (IIS) on a cover-image (Ic) has been constructed successfully in the second safety layer, and it is based on the adaptive reallocation segments’ edges (ARSE) by applying an adaptive finite-element method (AFEM) to find the numerical solution of the proposed partial differential equation (PDE). An intelligent computing technique using a hybrid adaptive neural network with a modified ant colony optimizer (ANN_MACO) has been proposed in the third safety layer to construct a learning system. This system accepts entry using support vector machine (SVM) to generate input patterns as features of byte attributes and produces new features to modify a cover-image.
The significant innovation of the proposed novel steganography algorithm is applied efficiently on the forth safety layer which is more robust for hiding a large amount of confidential message reach to six bits per pixel (bpp) into color images. The new approach of hiding algorithm works against statistical and visual attacks with high imperceptible of hiding data into stego-images (Is). The experimental results are discussed and compared with the previous steganography algorithms; it demonstrates that the proposed algorithm has a significant improvement on the effect of the security level of steganography by making an arduous task of retrieving embedded confidential message from color images.
KEYWORDS
Image segmentation, steganography, adaptive neural network, ACO, finite elements.
1. INTRODUCTION
In the past years, steganography, which is a technique and science of information hiding, has been matured from restricted applications to comprehensive deployments. The steganographic covers have been also extended from images to almost every multimedia. From an opponent’s perspective steganalysis [1], is an art of deterring covert communications while avoiding affecting the innocent ones. Its basic requirement is to determine accurately whether a secret message is hidden in the testing medium. It also extracts the hidden message. Steganography and steganalysis are in a hide-and-seek game [1]. They grow with each other. Digital images have a high degree of redundancy in presentations in everyday life, thus appealing for hiding data. As a result, the past decade has seen
growing interests in researches on image steganography and image steganalysis [1-4]. To evaluate the performance of categories of steganographic, three common requirements, security, capacity, and imperceptibility, may be used to rate the performance of steganographic techniques. Steganography may suffer from many active or passive attacks. Steganography must be useful in conveying a secret message, the hiding capacity provided by steganography should be as high as possible, and stegoimages (Is) should not have severe visual artifacts. Least Significant Bit (LSB) based steganography.LSB based steganography is one of the straight techniques capable of hiding large secret message in a
cover-image (Ic) without introducing many detectable biases [5]. It works by replacing the LSBs of randomly selected pixels in the cover-image with the secret message bits, where a secret key may determine the selection of pixels. Stenographic usually takes a learning based approach, which involves a training stage and a testing stage, where a feature extraction step is used in both training and testing stage. Its function is to map an input image from a high-dimensional image space to a lowdimensional feature space. The aim of the training stage is to obtain a trained classifier. Many effective classifiers, such as Fisher Linear Discriminant (FLD), support vector machine (SVM), neural
network (NN), etc., can be selected. Decision boundaries are formed by the classifier to separate the feature space into positive regions and negative regions with the help of the feature vectors extracted from the training images.
A rapidly growing of steganalysis algorithms has discussed by many researchers, in particular, Li et al. [6] exploited unbalanced and correlated characteristics of the quantization-index (codeword) distribution, and presented a state-of-the-art steganalysis based on a support vector machine (SVM), which can detect the steganography with precision and recall levels of more than 90%. Therefore, a smaller change in the cover image is less detectable and more secure and resisted the steganalysis [7].
In recent years, some researchers in the data embeddings were using an intelligent algorithm based on soft computing. Such algorithms are used to achieve robust, low cost, optimal and adaptive solutions in data embedding problems. Fuzzy Logic (FL), Rough Sets (RS), Adaptive Neural Networks (ANN), Genetic Algorithms (GA) Support Vector Machine (SVM), Ant Colony, and Practical Swarm Optimizer (PSO) etc. are the various components of soft computing, and each one offers specific attributes [8]. A data embedding scheme by using a well-known GA-AMBTC based on genetic algorithm, block truncation code and modification direction techniques was proposed by Chin-Chen
Chang et al. [9] (2009) to embed secret data into compression codes of color images. Yi-Thea Wu and Shih, F.Y [10] (2006) presents an efficient concept of developing a robust steganographic system by artificially counterfeiting statistic features instead of the traditional strategy of avoiding the change of statistic features. This approach is based on genetic algorithm by adjusting gray values of a coverimage while creating the desired statistic features to generate the stego-image that can break the inspection of steganalytic systems. M. Arsalan et.al. [11] developed an intelligent reversible watermarking approach for medical images by using GA to make an optimal tradeoff between imperceptibility and payload through effective selection of threshold. Modified Particle Swarm Optimization algorithm (MPSO) was introduced by (EL-Emam, 2015 [12]) used to improve the quality of stego-image by deriving an optimal change on the lower nibbles of each byte at sego-image. Fan Zhang et al. [13] (2008) proposed a new method of information-embedding capacity bound’s analysis that is based on the neural network theories of attractors and attraction basins. Blind detection algorithms, used for digital image steganography were reviewed by Xiangyang Luo et al. [14] (2009); this approach is based on image multi-domain features merging and BP (Back-Propagation) neural network. Weiqi Luo et al. [15] (2010) applied LSB matching revisited image steganography and
propose an edge adaptive scheme which can select the embedding regions according to the size of confidential message Fand the difference between two consecutive pixels in the cover-image.
This paper proposes a new algorithm of data embedding using hybrid adaptive neural networks with an adaptive genetic algorithm based on a new version of adaptive relaxation named uniform adaptive relaxation ANN_MACO. With this algorithm, a large amount of data can be embedded into a color bitmap image with four safety layers.
The rest of the paper is structured as follows: In section 2, the proposed steganography algorithm with four safety layers has been discussed. Phases of the proposed steganography algorithm based on ANN_MACO are appearing in section 3. In section 4, the intelligent technique based on adaptive neural networks and modified ant colony algorithms have been discussed, and the the implementation of the proposed steganography with intelligent techniques is presented in section 5. Results’ and discussions are reported in section 6. Finally, section 7 summarizes the algorithm’s conclusions.
2. THE SUGGESTED STEGANOGRAPHY ALGORITHM SPECIFICATIONS
The new steganography algorithm has been proposed to hide a large aggregate of secret data using four safety layers, see Fig 3. The first three layers were suggested in a previous work [16]. However, the primary three layers of this work have been matured, and an extra layer is added as fourth safety layer based on adaptive neural networks ANN with meta-heuristic approach using MACO for tight security. It is essential to define the main specifications of the suggested new steganography algorithm:
2.1. Compression and encryption of confidential message
Compression and Encryption functions have been applied on a confidential message ( C F) at the sender side; these functions support the first safety layer of the proposed hiding algorithm. The formal definitions of both functions are explained in the following:
2.2. Image segmentation
Image segmentation is shown in Fig. 1 and applied in the second safety layer; it bases on a cipher key k and the Adaptive Reallocation Segments’ Edges (ARSE) as the following definitions
where
AFEM: is an adaptive finite-element method using to find a numerical solution of the proposed partial differential equations (⌈ PDE ) to produce irregular segments.
An irregularly image segmentation shows that, it is safer to bring the input information than uniform
segments due to the difficulty of catching the segment’s borders by steganalysis.
2.3. An intelligent technique
The modification of a cover-image Ÿ × Ic has been reached using an intelligent technique based on adaptive neural network with a modified ant colony optimizer (ANN_MACO). The main concept of the proposed intelligent technique is to modify a cover-image according to the form of EC F this is appeared at t this rd safety layer.
2.4. Data hiding
The hiding algorithm is used at the fourth safety layer by accepting a modified cover-image and produces a stego-image ψ×Is . We suggested new idea of image steganography according to the following definition.
2.5. Compression of stego-image
Lossless image compression using SPIHT algorithm is implemented on stego-image to avoid sending huge file size.
2.6. Decompression of stego-image
Lossless image decompression using SPIHT algorithm is implemented on Cs to avoid receiving a huge file size.
2.7. Data extracting
Data extraction algorithm is used at the receiver side; it accepts stego-image and produce secret
messageF.
2.8. Decompression and decryption of a secret message
Decompression and decryption functions on compressed and encrypted secret messages ( EC MF ) are applied at the receiver side of the proposed system. The formal definitions of both functions are defined in the following:
3. THE SUGGESTED STEGANOGRAPHY ALGORITHM
The present steganography algorithm has two phases (data embedding at the sender side and data extracting at the receiver side). These phases have been constructed and implemented to reduce the chances of statistical detection and provide robustness against a variety of image manipulation attacks. After embedding data, stego-image is produced, which does not have any distortion artifacts. Moreover, the new steganography algorithm must not sacrifice an embedding capacity in order to decrease the perceptible of data embedding.
3.2. New image segmentation (AFEMIIS c ) function.
An Irregular image segmentation functionAFEM IIS c has been applied to improve steganographic security; this function is based on (ARSE) to reallocate segments’ edges; where the segments’ edges have been calculated by solving the suggested two-dimensional partial differential equation PDE on a sorted image z I , which is created from cover-image. The proposed algorithm has been summarized in the following steps:
Figure 4. Applying polynomial to set the boundary of the initial segmentation
Figure 5. Initial segmentation using selected pixels
Figure 6. Segments’ edges of the sorted image through the steps of iterations
Step 6.1: Set the initial two-dimensional coordinates (R, C) for each segment of the sorted image HN Iz and using the proposed PDE G model, see Eqs(8, 9) to govern the moving edge points (r, c) of image’s segments;
Figure 7. Scanning pixels on the adaptive image’s segments
3.2.1. Numerical solution using AFEM
AFEM is applied to find the numerical formulas defining in Eqs. (8-9). However, these formulas are always subject to evaluation with regards to the satisfactory security. The numerical solution of IIS has been reached by solvating both Eqs (8-9) simultaneously with a specific number of iteration using cipher key k . Consequently, it becomes necessary to modify FEM to reduce the time and memory requirements. AFEM with modified Newton’s method is used to find the variation-vectors dR and dCand from Eq. (8), considering the C coordinated and using the weighted residual method, we get:
4. THE INTELLIGENT TECHNIQUE USING ANN_MACO ARCHITECTURE
We proposed the intelligent technique; based on hybrid adaptive neural networks with a modified ant colony optimizer (ANN_MACO), see Fig. 8. In this work, ANN and MACO represented the third safety layer; this layer is introduced to support and the enhanced steganography algorithms by constructing an excellent imperceptible of S I and working effectively against statistical and visual attacks. The proposed intelligent technique ANN_MACO includes (n-p-m) Perceptron layers’ architecture; it has (n) neurons in input layer, (p) neurons in the hidden layer and (m) neurons in the output layer with full connections.
The solid arrow in Fig. 8 shows two kinds of transitions; one of them is many-to-one while the other is one to many transitions among Perceptron layers, whereas dotted arrow refers to one-to-one transition, and the dashed arrow shows the sending action to adjust a process. Back-propagation algorithm with hybrid ANN_MACO algorithm is applied through three stages: the feed forward of the input training pattern, the back-propagation of the associated error, and the adjustment of the weights. In addition, the adaptive smoothing error ASE is introduced effectively to speedup training processes [8]. Extra difficulties are added to work against statistical and visual attacks if new features of cover-image are used before hiding process.
Figure 8. Learning system ANN_MACO L using ANN_MACO architecture and SVM
Figure 9. A solution path is a vector coded as seven significant decimal digits searching by ants to adjus Neural networks weights (W or V) for colony v.
5. IMPLEMENTATION OF THE PROPOSED STEGANOGRAPHY ALGORITHM WITH INTELLIGENT TECHNIQUE.
Assume we have 9 bytes from Lina cover-image, the secret message 000111001101011110 EC F = , and the cipher key k =101111010011shown in Fig. 10. We should explain step by step how to hide a pair of secret bits Pair EC F at each byte using the proposed hiding algorithm with learning system based on the ANN-MACO. Assume that the pair k is the first two bits fromk . The pack of optional parameters of MACO have been obtained through several tests is as follows: a = 1,b = 3,r = 0.1,Q = 100 . Figure 10 shows that small difference between cover and stego sections has been obtained when hiding two bits on the least significant bits carried out using learning technique ANN_MACO L ; whereas hiding secret bits directly without using learning technique is incompetent due to large difference between cover and stego sections.
6. EXPERIMENTAL RESULTS AND DISCUSSIONS
New steganography algorithm is running efficiently to hide a large amount of F into a cover-image. The payload capacity reached to 25% of the C I size; moreover, ANN_MACO has been introduced successfully to work against statistical and visual attacks and to modify the stego-image to become imperceptible to the human eye. More than 500 color images are used in this work to achieve training on the proposed system ANN_MACO and to perform comparisons between the proposed scheme and previous works. The results are discussed as follows:
Figure 11. Stego-images and their corresponding extracted secret images
PSNR for each color plane (R, G, B) has been computed on three stego-images separately, and three secret images have been extracted from stego-images see Fig. 11. The result of the proposed algorithm based on ANN_MACO is compared with the El-Emam (2013) algorithm [17], it appears obviously that the quality of stego-image using the proposed scheme is working superior than the previous work, and it obtains better performance than the algorithm in [17] for all colors with an excellent imperceptibility see Table 1.
Table 1. PSNR(dB) results of Is on a color plane between El-Emam (2013) algorithm [17], Al-Shatanawi, (2015) [18], and the proposed algorithm
The experimental results reported in Table 1 explained that the proposed algorithm with ANN_MACO adjusts an image visual quality significantly. Results with ANN_MACO improve the quality without ANN_MACO and the earlier work (El-Emam, 2013, [17]), and (Al-Shatanawi, 2015 [18]) respectively. Moreover, results are showing that PSNR of Lena’s compression in F16’s stegoimage has a best quality with ANN_ MACO, but it is better than [17] with 1.7 dB, and better than [18] with 2.96 dB, whereas, Tiffany’s compression in Baboon stego-image has a worst quality with ANN_ MACO, but it is better than [17] with 0.88 dB, and better than [18] with 4.76 dB. Table 2 shows the comparison between the experimental results of the proposed hiding algorithm with/without ANN_MACO and the algorithm in [17]. The comparison is based on PSNR (dB) to demonstrate the visual quality after embedding Smsg, where Smsg is the largest size of the random bit stream generated randomly by using a random number generator.
Table 2 confirms that the quality of stego-image using the proposed algorithm is preserved and better than the algorithm in [17] for all colors. Where the best improvement was using the proposed algorithm with ANN_MACO for Lena’s image over ref [17] where the PSNR improvement was 0.98, where Tiffany’s image was improved with 0.16 PSNR when used with ANN_MACO proposed algorithm.
Table 2. PSNR(dB) results of Stego-image on a color plane between El-Emam (2013), [17] and the proposed algorithm for the payload capacity equal to 25%
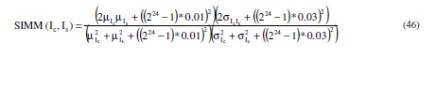
The SSIM algorithm [17] is used to measure the similarity between two identical images. In this work, this metric is introduced using Eq (46):
where μIc and μIs are a mean of cover and stego images respectively, whereas sIcIs is a covariance of cover and stego images, and s2 Ic , s2 Is are the variance of cover and stego images respectively. Table 3 reported the comparative visual quality of the stego-images by using four payload capacities (10%, 15%, and 25%). The quality of stego-images is measured by using PSNR (dB) and SSIM metrics to show the performance of the proposed algorithm over typical existing references [17, 19, and 20]. In this study, 400 images have been selected by size (384×512); all these images are converted to the grayscale images.
Table 3. The average values of PSNR (dB), and SSIM of various Stego-images generated by different Steganographic algorithms
It seems that the proposed algorithm is working efficiently, and the proposed ANN_MACO has outperformed algorithms in [17,19, and 20]. The Table 3 shows that PSNR for 10% payload increased significantly from 51.74 in [19], 50.8 and 64.11 in [19] and [20] up to 69.32 dB using the proposed ANN_MACO, where the greatest improvement of 22.04 dB with ANN_MACO when performed with payload capacity of 15%. On the other hand, Table 3 shows a similarity SSIM using ANN_MACO relatively better than the algorithms referenced in [17, 19, and 20].
6.2. Difference between neighboring pixels
The difference values of the horizontal neighboring pair for both cover and stego images are computed using the formula in Eq. (47):
The results show that distances of four images are calculated individually; it seems that the smallest norm is reached when the proposed algorithm using ANN_MACO is implemented. Moreover, we observed that the greatest difference is at the image Baboon with pay- load percentage equal 37% when the earliest work (El-Emam, 2013) [17] is used, while with the proposed algorithm with/without using ANN_MACO, we can reduce the difference by approximately 24%.
6.3. Working against visual attack
Two kinds of testing are implemented, the first one bases on the set of the closest colors (one corresponding to the same pixel) using Euclidean norm Eq. (48) to find the distance between the cover-image and stego-image. Experimental testing of the Euclidean norm has been implemented on two algorithms (ANN_AGAUAR algorithm [17] and the proposed algorithm ANN_MACO), see Figs. 13a-13e.
The distances of five images are calculated individually; it appears that the minimum norm has been reached when the proposed algorithm using ANN_MACO is implemented. In addition; it is clearly that Tiffany’s image has the least distance while Peppers’s image has the greatest distance among other images. Results justify that the proposed algorithm ANN_MACO has demonstrated a clear improvement with closer Euclidean distance, which means that the stego-images are closer to the cover-images.
6.4. Working against statistical attack
The performance of the proposed steganography algorithm to hide secret message in the color image at the spatial-domain has been evaluated and tested against statistical attacks using modified WFLogSv attacker [21]. The experimental results have been implemented on 500 color images to check imperceptible level and compared with two hiding algorithms, standard LSB and modified LSB, (see [21]). We apply “Receiver Operating Characteristic” (ROC) curve, see Figs. 14(a-b), which are based on two parameters, the probability of false alarms ( FA P ) and the probability of detections (1 – PMD ), see Eq.(49).
It appears that ( FA P ) is plotted on the horizontal axis while ( 1 – PMD ) is plotted on the vertical axis. The perfect security of the hiding algorithm has been reached when the area under a curve AUC equal to 0.5, while the perfect detection of steganalyzer is reached when AUC is equal to 1, see [21]. Results confirm that the proposed embedding algorithm with ANN_ MACO produces high imperceptible and working against modified WFLogSv attacker for different payload’s capacities. Moreover, the security level of the present steganography for the payload capacity 10% is better than LSB and LSBM by approximately 50%, 49% respectively, while the security level of the present steganography for the payload capacity 25 % is better than LSB and LSBM by approximately 54 %, 52% respectively.
6.5. Performance of MACO
In this section, we explain the performance of the proposed learning system based on MACO that has been used to improve the quality of stego-image. Therefore, to check the performance of MACO, the best results of the Multiple Traveling Salesman Problem (MTSPs) have been calculated to find the shortest minimum cycle using the proposed MACO and compared these results with the best results of the previous works based on NMACO, classical ACO [22], and MACO [23]. These results have been illustrated in Table 4, which contains six instances of standard MTSPs for an acceptable number of nodes whose sizes are between 76 and 1002. These instances belong to TSP problems of TSPLIB including Pr76, Pr152, Pr226, Pr299, Pr439 and Pr1002, (see [24]). For each instance, the number of nodes (N), the number of salesmen (NS), and the max number of nodes that a salesman can visit (Max-N) has been applied. The proposed MACO has been capable to find better solution than the others techniques. Table 4 demonstrates that the standard deviation between the optimal solution in [24] and the best solutions of the proposed MACO for six standard MTSPs is 69583.82129, whereas the standard deviation between the optimal solutions in [24] and the best solutions the of NMACO, classical ACO [22], and MACO [23]are 97421.98788, 99128.30381 and 97978.17381 respectively. The results in Table 4 confirm that the proposed MACO algorithm is better than NMACO, classical ACO [22], and MACO [23] by approximately 32 %, 35 % and 37 % respectively.
Table 4. Comparison between the proposed MACO algorithm, , NMACO, classical ACO [22], and MACO algorithms [23].
7. CONCLUSIONS
This paper proposed new steganography algorithm to enforce the security of data hiding and to increase the amount of payloads using four safety layers. The main contributions of this paper are: Proposed four safety layers to perform compression and encryption of a confidential message using a set partition in hierarchical trees (SPIHT) and dvanced encryption standard (AES) mechanisms. An irregular image segmentation algorithm (IIS) on a cover-image has been constructed successfully in the second safety layer, and it is based on the adaptive reallocation segments’ edges (ARSE) by applying an adaptive finite-element method (AFEM) to find the numerical solution of a proposed partial differential equation (PDE). The Proposed new intelligent computing technique using a hybrid adaptive neural network with a modified ant colony optimizer (ANN_MACO), to construct a learning system, which speeds up training process, and to achieve a more robust technique for hiding confidential messages into color images with an excellent imperceptible data in stego-images.
ACKNOWLEDGEMENT
The authors would like to thank Prof. R. H. Al-Rabeh from Cambridge University for his support and help with this research. This support is gratefully acknowledged.
REFERENCES
[1] Johnson, N. & Jajodia, S, (1998) “Steganalysis of images created using current steganography software”, Proc. of the Second International Workshop on Information Hiding, vol. 1525 , pp 273- 273, Springer. DOI: 10.1007/3-540-49380-8_19
[2] Wang, H. & Wang, S., (2004) “Cyber warfare: Steganography vs. steganalysis”, Communications of the ACM, Vol.
47, No. 10, pp 76-82.DOI:10.1145/1022594.1022597 [3] Provos, N. & Honeyman, P., (2003) “Hide and seek: An introduction to steganography”, IEEE Security and Privacy, Vol. 1, No. 3, pp 32-44. :10.1109/MSECP.2003.1203220
[4] Chandramouli, R., Kharrazi, M. & Memon, N., (2004) “Image steganography and steganalysis concepts and practice ”, Proc. of IWDW’03, Vol. 2939, pp 35-49. DOI:10.1007/978-3-540-24624-4_3
[5] Bender, W., Gruhl, D., Morimoto, N. & Lu, A., (1996) ”Techniques for data hiding”, IBM System Journal, Vol. 35,
No. 3, pp 313-336. DOI:10.1147/sj.353.0313
[6] Li, S., Tao, H. & Huang, Y., (2012) ”Detection of QIM steganography in G.723.1 bit stream based on quantization
index sequence analy¬sis”, J. Zhejiang Univ. Sci. C, Vol.13, No. 8, pp 624–634. DOI:10.1631/jzus.C1100374
[7] Böhme, R., (2010) Advanced Statistical Steganalysis, Springer publisher.
[8] El. Emam, N. & Abdul Shaheed, R., (2008) “Computing an Adaptive Mesh in Fluid Problems using Neural Network and Genetic Algorithm with Adaptive Relaxation”, International Journal on Artificial Intelligence Tools. Vol. 17, No. 6, pp 1089-1108. DOI: 10.1142/S021821300800431X
[9] Chang,C., Chen,Y. & Lin, C., (2009) “A data embedding scheme for color images based on genetic algorithm and
absolute moment block truncation coding”, Soft Compute, Vol. 13, No. 4, pp 321-331
[10] Yi-Ta, W. & Shih, F., (2006) “Genetic algorithm based methodology for breaking the steganalytic systems” , IEEE Transaction on system, Man, and Cybernetica Part B: Cybernetics, Vol. 36, No. 1, pp 24 -31. DOI: 10.1109/TSMCB.2005.852474
[11] Arsalan, M., Malik, S. & Khan, A., (2012) ”Intelligent reversible watermarking in integer wavelet domain for medical images”, Journal of Systems and Software, Vol. 85, No. 4, pp 883-894. DOI: 10.1016/j.jss.2011.11.005.
[12] El. Emam, N., (2015) “New data-hiding algorithm based adaptive neural networks with modified particle swarm
optimization”, Computers & Security, Vol. 55, pp 21–45. DOI:10.1016/j.cose.2015.06.012
[13] Zhang, F., Pan, Z., Cao, K., Zheng, F. & Wa, F., (2008) “The upper and lower bounds of the information-hiding
capacity of digital images”, Information Sciences, Vol. 178, pp 2950–2959.DOI:10.1016/j.ins.2008.03.011
[14] Luo, X., Wang, D., Hu, W. & Liu, F., (2009) “Blind detection for image steganography: a system framework and
implementation”, International Journal of Innovative Computing, Information and Control. Vol. 5, No. 2, pp 433-442.
[15] Luo, W., Huang, F. & Huang, J., (2010) ”Edge Adaptive Image Steganography Based On LSB Matching Revisited”,IEEE Transactions On Information Forensics And Security, Vol. 5, No. 2, pp 201 – 214. DOI:10.1109/TIFS.2010.2041812
[16] EL-Emam, N., (2007) “Hiding a Large Amount of Data with High Security Using Steganography Algorithm”,
Journal of Computer Science. Vol. 3, No.4, pp 223-232. DOI:10.3844/jcssp.2007.223.232
[17] El-Emam, N. & AL-Zubidy, R., (2013) “New steganography algorithm to conceal a large amount of secret message using hybrid adaptive neural networks with modified adaptive genetic algorithm”, The Journal of Systems and Software, Vol. 86, No. 6, pp 1465-1481. DOI:10.1016/j.jss.2012.12.006
[18] Al-Shatanawi, O., El. Emam, N., (2015) “A new image steganography algorithm based on MLSB method with
random pixels selection”, International Journal of Network Security & Its Applications , Vol. 7, No 2, pp 37-53.DOI :
10.5121/ijnsa.2015.7203
[19] Hong,W., Chen, T. & Luo, C., ( 2012) “ Data embedding using pixel value differencing and diamond encoding with
multiple-base notational system” , The Journal of Systems and Software , Vol. 85, pp 1166- 1175.
DOI:10.1016/j.jss.2011.12.045
[20] S. Geetha, V. Kabilan, S.P. Chockalingam, & N. Kamaraj Varying, (2011) “Radix numeral system based adaptive
image steganography”, Information Processing Letters, Vol. 111 , pp 792–797. DOI:10.1016/j.ipl.2011.05.013
[21] Shojaei-Hashemi, A., Soltanian-Zadeh, H., Ghaemmagham S. & Kamarei M., (2011) “Universal image steganalysisagainst spatialdomain steganography based on energy distribution of singular values”, Proceeding of 7th InternationalConference on Information Technology and Applications (ICITA 2011), pp 179–83.
[22] Yousefikhoshbakht, M., Didehvar, F. & Rahmati, F., (2013) “Modification of the Ant Colony Optimization for Solving the Multiple Traveling, Salesman Problem”, Romanian Journal of Information Science and Technology, Vol. 6, No. 1,pp 65–80.
[23] Junjie, P. & Dingwei, W., (2006) “An ant colony optimization algorithm for multiple traveling salesman Problem”,
ICICIC ’06: Proceedings of the First International Conference on Innovative Computing, Information and Control, pp
210–213.DOI: 10.1109/ICICIC.2006.40
[24] Ruprecht-Karls-University Heidelberg. Tsplib network optimization problems, 2008. http://comopt.ifi.uniheidelberg.de/software/TSPLIB95/.
AUTHORS
Nameer N. EL-Emam: He completed his PhD with honor at Basra University in 1997. He works as anassistant
professor in the Computer Science Department at Basra University. In 1998, he joins the department of Computer Science, Philadelphia University, as an assistance professor. Now he is an associated professor at the same university, and he works as a chair of computer science department and the deputy dean of the faculty of Information Technology, Philadelphia University. His research interest includes Computer Simulation with intelligent system, Parallel Algorithms, and Soft computing using Neural Network, GA, ACO, and PSO for many kinds of applications like Image Processing, Sound Processing, Fluid Flow, and Computer Security (Seteganography).
Kefaya Qaddoum has obtained her first degree in computer science and information technologyfrom Philadelphia 
university, as well as the master degree, did her PhD at Warwick University,UK in Artificial Intelligence. Worked as Lecturer at Warwick university for two years, worked forBahrain university for one year and finally worked for Prince sultan university in Saudi Arabia.she conducted and published research papers covering AI methods, and Data mining