International Journal of Computer Networks & Communications (IJCNC)

AIRCC PUBLISHING CORPORATION

A NOVEL ENERGY AWARE NODE CLUSTERINGALGORITHM FOR WIRELESS SENSOR NETWORKS USINGA MODIFIED ARTIFICIAL FISH SWARM ALGORITHM

                      Reza Azizi1, Hasan Sedghi2, Hamid Shoja3, Alireza Sepas-Moghaddam
1Young Researchers and Elite Club, Bojnourd Branch, Islamic Azad University  Bojnourd, Iran
2Department of Information Technology Engineering, PNU, Assaluye, Iran
3Department of Computer Engineering and Information Technology, PNU, Tehran, Iran
4Young Researchers and Elite Club, Science and Research Branch, Islamic AzadUniversity, Tehran, Iran

ABSTRACT


Clustering problems are considered amongst the prominent challenges in statistics and computationalscience. Clustering of nodes in wireless sensor networks which is used to prolong the life-time of networksis one of the difficult tasks of clustering procedure. In order to perform nodes’ clustering, a number ofnodes are determined as cluster heads and other ones are joined to one of these heads, based on differentcriteria e.g. Euclidean distance. So far, different approaches have been proposed for this process, whereswarm and evolutionary algorithms contribute in this regard. In this study, a novel algorithm is proposedbased on Artificial Fish Swarm Algorithm (AFSA) for clustering procedure. In the proposed method, theperformance of the standard AFSA is improved by increasing balance between local and global searches.Furthermore, a new mechanism has been added to the base algorithm for improving convergence speed inclustering problems. Performance of the proposed technique is compared to a number of state-of-the-art

KEYWORDS


Wireless Sensor Networks, Artificial Fish Swarm Algorithm, Node Clustering, Energy

1.INTRODUCTION


Optimization technique is used in order to minimize or maximize the outcome of a function byadjusting its factors. All proper values for this problem are called possible solutions and the bestone is optimal solution. Up to now, different approaches were proposed to perform optimizationprocess e.g. swarm intelligence methods [1]. Swarm intelligence techniques are based on relationsbetween animals and insects swarms which tries to detect the solutions that are close to optimalone. Particle Swarm Optimization (PSO) [2], Ant Colony Optimization (ACO) [3], Shuffled FrogLeaping Algorithm (SFLA) [4] and Artificial Fish Swarm Algorithm (AFSA) [5] are someexamples of swarm intelligence algorithms. All swarm intelligence algorithms are based onpopulation, where their iterative procedure leads to improve the position of individual inpopulation and subsequently, their movement toward the better positions.International Journal of Computer Networks & Communications (IJCNC) Vol.7, No.3, May 201592As mentioned above, Artificial Fish Swarm Algorithm (AFSA) is one of the swarm intelligencetechniques [5]. The procedure of AFSA has been inspired from social behaviors of fish in nature,based on random search, population and behaviorism. This algorithm involves somecharacteristics i.e. high convergence speed, insensitivity to the initial values of artificial fish,flexibility, and fault tolerant which make it useful for solving optimization problems. Fish canfind the zones involving more foods in underwater world by individual or swarm searches.According to this property, AFSA model was proposed by Free-Movement, Food-Search,Swarm-Movement and Follow Behaviors in order to search the problem space. This algorithm isused in different applications [6] such as neural networks [7, 8], color quantization [9], dynamicoptimization problems [10], physics [11], global optimization [12-15], and data clustering [16].In recent years, Wireless Sensor Network (WSN) has been significantly considered byresearchers. Each sensor network includes a number of nodes, where each node involvesprocessing resources and a limited amount of energy. Sensor nodes can sense, measure andcollect information by some local decision and transmit it to the main station [17]. Intelligentsensor node consist of one or several sensors, one processor, a memory unit, a type of energysupply with low energy utilization, transmitter, receiver, and a stimulator. Battery is the primarysource in a sensor node which is not commonly rechargeable, so the node will be dead byfinishing batteries’ energy. Network lifetime is determined by two criteria: 1) the time in whichthe first node dies (FND) and 2) the time in which the last node dies (LND). Utilizing different
mechanisms to increase the lifetime of the network is considered amongst most challengeablesubjects in this domain.Many researches aim at enhancing the network lifetime by proposingduty cycling schemes [18], coverage targeted protocols [19] or novel routing protocols [20].One of the efficient solutions to increase the network’s lifetime is clustering of the nodes [21].
Clustering is especially important for sensor networks which contain a substantial number ofwireless sensors. Each network can be divided into smaller clusters and contain a cluster head(CH). Sensor nodes in every cluster transfer their informationto the relevant CH and CH collectsinformation and sends them to a primary station. In this way, cluster nodes can conserve moreenergy by reducing the range and length of the communication. Swarm and evolutionaryalgorithms can be used in the primary station to determine the members of each cluster along withthe cluster heads.In this research, a novel algorithm for clustering of nodes in wireless sensor networks has beenproposed, based on AFSA. The proposed algorithm along with Leach algorithm [22] and severalother ones have been used for the clustering process. The results of the simulations showed thatthe network’s lifetime has been increased by using the proposed method, compared to other ones.The rest of the paper is organized as follow: in the second section Artificial Fish SwarmAlgorithm is reviewed. The third section describes the proposed method and the forth one showsthe experiments and the results. The fifth sectionconcludes the paper.

2. ARTIFICIAL FISH SWARM ALGORITHM (AFSA)


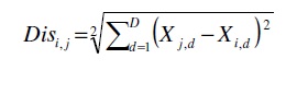
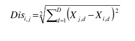
AFSA is one of the swarm intelligence methods and evolutionary optimization techniques [5].The framework of this algorithm is based on functions that are modelled from social interactions of fish groups in the nature.In this algorithm, there are four functions modelled from fish behaviors in fish swarms. The firstfunction is free-move behavior: as in nature, fishes move freely in the swarm when they do notprey. The second function is prey behavior: certainly, every fish searches for its prey individuallyby means of its senses. These senses are sense of vision, smell and available sensors on theirbodies. In AFSA, the area where an artificial fish can sense a prey is modeled as a neighborhoodwith a visual-sized radius. The next function is follow behavior: when a fish finds food, otherswarm members also follow it to reach the food. The last function is swarm behavior: in nature,fish always try to be in the swarm and not to leave it in order to be protected from hunters.In the underwater world, a fish can discover areas that have more food, which is done byindividual or swarm search by the fish. According to this characteristic, an artificial fish (AF)model is expressed by four aforementioned behaviors. AFs search the problem space by thesebehaviors. The environment, where an AF lives, is basically the solution space and other AFsdomain. Food consistency degree in the water area is AFSA objective function. Finally, AFsreach to a point where its food consistency degree is maxima (global optimum).As it is observed in Fig. 1, AF perceives external concepts with a sense of sight. The currentposition of an AF is shown by vector X=(x1, x2, …,xn). The visual is equal to sight field of the AFand Xv is a position in visual where the AF wants to go. Then if Xv has better food consistencythan the current position of AF, it goes one step toward Xv which causes change in the AFposition from X to Xnext, but if the current position of AF is better than Xv, it continues searchingin its visual area. Food consistency in position X is fitness value of this position and is shownwith f(X). The step is equal to the maximum length of the movement. The distance between twoAFs which are in Xi and Xj positions is shown by Disi,j=|| Xi-Xj|| (Euclidean distance) that iscomputed by Eq (1)

AF model consists of two parts of variables and functions. Variables include X (current AFposition), step (maximum length step), visual (sight field), try-number (the maximum testinteractions and tries), bulletin and crowd factor (0<<1). Also functions consist of preybehavior, free-move behavior, swarm behavior and follow behavior.In each step of the optimization process, AF attempts to find locations with better fitness values inthe problem search space by performing these four behaviors based on the algorithm procedure.In the following, the behaviors of AFSA will be discussed.


Free-move behavior: In AFSA, when an AF can’t move toward a place with more food, itmoves a arbitrary step in the problem space by Eq (2):

Xi,d is component d of AF i’s position in the D-dimensional space and 1 d D. Rand functiongenerates a random number with a uniform distribution in [-1, 1].Prey behavior: If Xi is the current position of AF i, we choose position Xj in the visual of AF irandomly. f(X) is the food consistency in position X or its fitness value. Position Xj is given by
Eq (3):

Then food density in Xi is compared with the that of the current position, if f(Xi) f(Xj), AF imoves forward a step from its current position to Xj, which is done by Eq (4):

Xi is a D-dimensional vector and Disi,j is the Euclidean distance between vectors Xi and Xj. Xj –Xi generates a transfer vector from Xi to Xj and when divided by Disi,j, a vector with unit length iscreated from Xi toward Xj. Here, Rand function generates a random number which causes AF i tomove as much as a random percent of Step toward position Xj. Nevertheless, if f(Xi) < f(Xj), wechoose another position Xi by Eq (3) and evaluate its food density to understand whether forwardcondition is satisfied or not. If after try_number times AF does not succeed in satisfying forwardcondition, the concerned AF performs free-move behavior and moves a step in the problem spacerandomly.Swarm behavior: In AFSA, in order to keep swarm generality, in each of the iterations, AFs tryto move toward a central position. A central position of swarm is given by Eq (5):

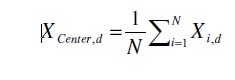
As it is seen in Eq (5), component d of Xcenter vector is the arithmetic average of component d ofall swarm AFs. Let N be the population size, and nc be the number of AF in Visual field aroundXcenter. If f(Xcenter) f(Xi) and >(nc/N), that is the central position has a better food consistencythan the current position and population density in its neighborhood is not much, so AF i movestoward the central position by Eq (6):

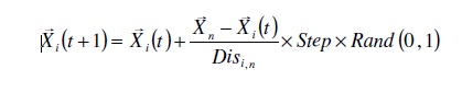
If nc = 0 or the condition of moving toward the central position is not satisfied, prey behavior isperformed for AF i.Follow behavior: If Xi is the current position of AF i, it checks neighbor Xn, if nn is the numberof AFs in the Visual of AF n, if f(Xn) f(Xi) and >(nn/N), i.e. position Xn has a better foodconsistency than the current position of AF i and population density in its neighborhood is notmuch, therefore AF i moves one step toward AF by Eq (7):

If AF i has no neighbors or none of its neighbors satisfy following condition, prey behavior wouldbe performed for AF i.

AFSA performs the optimization process iteratively by means of functions described as itsbehaviors, and the algorithm factors or AFs try to get closer to our objectives by executing thesefunctions.For AFs, prey and free-move behaviors are the individual ones and follow and swarm behaviorsare group behaviors. Prey behavior would be performed if an AF can’t move to a better locationby executing follow behavior and/or swarm behavior, and free-move behavior is performed if an
AF is not successful in finding a better location by performing prey behavior. Certainly, prey andfree-move behaviors are not performed individually by AFs and are only performed when an AFcouldn’t move to a better location by follow and swarm behaviors. In AFSA, in each step of theoptimization process, all AFs pass the same procedure in parallel.Let the position of AF i at time t be Xi(t). AF i performs follow behavior at position Xi(t) once,which leads to obtain position Xi,Follow. After executing the follow behavior, AF i performs swarmbehavior from that position Xi(t) and it leads to obtain position Xi,Swarm. After performing bothfollow and swarm behaviors that were done with respect to Xi(t), the next position of AF i
(Xi(t+1)) is obtained by Eq (8):


In AFSA, a bulletin is used for recording the best position that has been found so far by all swarmmembers. In each of the iterations, after performing AFSA’s behaviors by all AFs and movingthem to new locations, the fitness value of the best AF is compared with the recorded location onthe bulletin. If fitness value of the best AF is better than the recorded location on the bulletin, thelocation of the best AF is recorded as the best found location so far. Standard AFSA pseudo codeis shown in Figure 2.

In this pseudo code, prey and free-move behaviors were considered as a part of swarm and followbehaviors. That is, if an AF could not perform successfully a swarm or follow behavior, it wouldperform prey behavior and if could not reach a better position by executing this behavior, it wouldperform free move behavior.

3. THE PROPOSED METHOD


In this section, the proposed clustering algorithm is described. In this algorithm, there exists apopulation of fish, where each fish includes n positions of clusters’ center. If the clusteringsamples observe d-dimensional space, each artificial fish includes a position vector with n*ddimensions.In the proposed method, in order to establish a balance between exploration and exploitation,some modifications have been applied to the structure of visual and step parameters. For thisreason, Euclidean distance between all artificial fish and the best position, which is stored inbulletin, is calculated. Subsequently, the value of visual parameter for each fish is equal to v% ofits distance to the best found position and the amount of step parameter for each fish is equal tos% of visual value. Based on the structure of swarm intelligent methods regarding convergence tothe goal and reduction in swarm diversity by approaching the goal, Step and Visual parametersare reduced by approaching the goal. This issue leads to a balance between local and globalsearches, and consequently increases the efficiency of the algorithm.Concerning the calculation process of visual and step parameters in the proposed method, eachfish can use its visual and step parameters by equations 2, 3, 4, 6 and 7. It is worth to mention thatregarding the difference between values of visual parameter for different fish, crowed factor andother related conditions are eliminated from follow and swarm behaviors of standard AFSA. Byeliminating this parameter, convergence speed is increased in the proposed method which leads topremature convergence problem. To master this weakness, a novel mechanism is added to thealgorithm.In the new mechanism, each artificial fish moves with probability of p1%, based on the storedposition in bulletin by eq. 9.

                                                X (t +1) = X (t )+((X − X (t ))× Rand(−1,1))

where, Xbulletin is equal to the best found position by the algorithm and Rand function generates arandom number in range of [-1,1] with uniform distribution. According to Eq. 9, in case ofgeneration the random number in range of [-1,0), the new position of the artificial fish is awayfrom bulletin position, which leads to explorer the distant regions by the artificial fish and escapefrom local minima. On the other hand, in case of generation the random number in range of (0,1],the positions of the fish approaches the bulletin which leads to increase convergence speed. So,using Eq. 9, a balance between density and diversity is obvious, which leads to establish a balancebetween exploration and exploitation.In addition, another mechanism has been considered in the proposed method in order to increaseconvergence speed in clusters. As it was mentioned before, each artificial fish included n × ddimensionalcluster centers. Since the nodes’ clustering performs based on their position, andeach node consists two components (X and Y geographical coordinates), the problem space forAFSA algorithm is a 2×n dimensional space. Position vector for each artificial fish is shown inFigure 3. Here Zi,j represents the dimension j from cluster head i.International Journal of Computer Networks & Communications (IJCNC) Vol.7, No.3, May 2015

Figure 3. Structure of position vector for solving node clustering problem in wireless sensor networks.Fitness function that has been used for each artificial fish in the proposed method is the total ofintra-cluster distances which is equal to the whole Euclidean distances between nodes and thenearest cluster head.In the third mechanism, one cluster head changes its position with the probability of P2% in eachiteration. This cluster head is arbitrarily chosen form entire set of cluster heads. To change theposition of the selected cluster, first, all nodes that their distance to the selected head is lower thanthat to other ones are determined. Then, the new position of this head is equal to the centerposition of the determined nodes. In other word, the center is equal to the average position of the determined nodes.

As it was mentioned, the considered fitness function for the proposed method is the total of intraclusterdistances. Nevertheless, the clustering process in wireless sensor network is a discreteInternational Journal of Computer Networks & Communications (IJCNC) Vol.7, No.3, May 2015 98process, since the cluster heads are selected among nodes. But, the proposed AFSA algorithm,similar to as most swarm intelligence methods, is used in continuous problems. To solve thisproblem, the movement of artificial fish in the algorithm is applied in form of continuous.However, the obtained continuous positions by the algorithm are assigned to the nearest nodeafter each movement. It is worth to note that in order to prevent the death of nodes with lowenergy, first, the average energy of alive nodes are calculated and the nearest node that its energyis higher than the average energy is selected. Another important point is to determine the numberof clusters. To determine this amount, we used the approach proposed in [22] i.e. 5% of thenumber of all alive nodes. Pseudocode of the proposed algorithm is shown in Figure 4.

4. EXPERIMENTS


In this section efficiency of proposed algorithm for node clustering in wireless sensor networks isevaluated by experiments. First of all, configuration of the wireless sensor network which is usedas a testbed for clustering problem is described. Next, comparative algorithms alongside theirparameters’ setting are explained. Lastly, the experiments results are examined.

4.1. Network Configuration


We considered a network involving 100 nodes which are distributed in a ground with the size of100*100 meters, where the main station is placed in the coordinate of 50 and 175. The network ishomogeneous (all nodes have the same energy) and it is considered that all nodes continuouslyincludes the information that must be sent. Each node sends a packet toward the cluster head ineach round and the head aggregates the gathered packet in the end of the round to be sent to themain station. The length of each packet is 500 bytes (4000 bits). It is considered that the mainstation is aware from the initial energy and positions of all nodes. Clustering algorithm isperformed in the initial station with unlimited computational power and energy. In addition, wesuppose that no information concerning the current energy is sent along with the informationpacket by the nodes and no redundant packet is sent in this regard.

4.2. Energy Model


In this research we use the simple radio model [22] in order to determine the radio energy.According to this model, for sending a message with k bit and the interval of d, the amount ofenergy which used by radio ( ETx (k,d)), is calculated based on Eq. 10.
ETx (k,d) = Eelec * k + Eamp * k * d2 (10)
where, Eelec is the amount of consumed energy for establishing sender/receiver circuit. Weconsider the value of this parameter equals to 50 (Eelec=50 nJ/bit). Eamp is the consumed energy byamplifier to amplification of the sent signal. We consider the value of this parameter equals to100 (Eamp=100 pJ/bit/m2).In addition, for receiving a message, the amount of energy which used by radio ( ERx (k)), iscalculated based on Eq. 11.ERx (k) = Eelec * k (11)Cluster heads consumes more energy, since data aggregation is an additional phase for Clusterheads. We consider this value equals to 5 (EDA=5nJ/bit/signal).International Journal of Computer Networks & Communications (IJCNC) Vol.7, No.3, May 201599
So, the procedure of energy consumption in each round is as follow. First, all nodes receive apacket including the information for determining clusters and cluster heads (receive energy bynodes). Then, each node sends a packet to its cluster head (send energy by nodes and receiveenergy by cluster heads). Cluster heads aggregate the gathered packet in the end of each round tobe sent to the main station (data aggregate energy and send energy by cluster heads).

4.3. Swarm Intelligence Algorithms


In order to evaluate the efficiency of the swarm intelligence algorithms for the node clusteringprocess, we have considered Particle Swarm Optimization (PSO) [23], Imperialist CompetitiveAlgorithm (ICA) [24], Shuffled Frog Leaping Algorithm (SFLA) [4], Modified Artificial FishSwarm Algorithm (CM-AFSA) and Leach algorithm [22] along with the proposed method. TheFirst four algorithms belong to swarm intelligence algorithms category.Particle Swarm Optimization (PSO) is the most recognizedproposed by Kennedy and Eberhart [2]. This algorithm simulates the fish and birds behaviors.Imperialistic cognitive Algorithm (ICA) was proposed in 2007 by Atashpaz and Lucas [24]. Thisalgorithm is based on the social and political relations of imperialist and colonial countries. Theshuffled frog-leaping algorithm (SFLA) that was developed by Eusuff and Lansey in 2003 [4], isa member of the swarm intelligence family. It is a meta-heuristic optimization technique based onthe mimetic evolution of frogs seeking food in a pond. CM-AFSA is an enhanced version ofAFSA algorithm in which PSO formulas are used to improve the performance of basic AFSA. Inaddition, a communication behaviour is applied in order to improve the efficiency of thealgorithm.For this reason, first, the number of clusters is considered equals to the 5% of the alive nodes[22]. Then, clustering process is performed by swarm intelligence algorithm and somemechanisms for mapping the centerposition of cluster heads to the nearest nodes with sufficientenergy are applied for all algorithms. The algorithms continue the clustering process untilreaching convergence condition. To determine the convergence condition, the centralposition ofcluster heads in the current iteration is compared to that in 20 previous iterations. If there is nomovement in the location of cluster heads for 20 iterations, convergence is executed.The parameters’ values for different algorithms are tabulated in Table 1. It is worth to note thatthe parameters are determined based on a wide range of experiments in this domain.The experiments are iterated 50 times, where each iteration is performed up to 100 rounds inwireless sensor network. The positions of nodes are randomly determined in each iteration. Theused criteria to evaluate the performance of the network are First Node Die (FND) and Last NodeDie (LND). The average values of FND and LND are presented in table 2 for all testedalgorithms. In addition, chart 5 illustrates the average remained energy in each round for differentalgorithms.As can be seen in table 2, Leach algorithm led to the worst results, compared to other algorithms.However, it must be note that the computational cost of this algorithm is considerably lower thanthat of swarm intelligence algorithms. The results obtained by the swarm intelligence algorithmsshow that they led to different results, due to the performance of optimization process forclustering purpose. Among the swarm intelligence algorithms, the first node is died in a networkwhich is clustered by ICA and PSO algorithms. The proposed algorithm outperforms othercomparative ones in caseof FND criterion and CM-AFSA algorithm led to the second best result.

In addition, the proposed algorithm also outperforms other comparative ones in case of LNDcriterion and SFLA algorithm led to the second best result. It must be note that the nodes that areclustered using SFLA have died earlier than that using CM-AFSA, however, SFLA algorithmperformed better clustering in the next rounds by decreasing the number of alive nodes. All thesame, the proposed algorithms managed to achieve the best result both for FND and LND factorsInternational Journal of Computer Networks & Communications (IJCNC) Vol.7, No.3, May 2015101which illustrates the high performance of the proposed method in all series of the network. Thereasons for such improvement,particularlyversus CM-AFSA, are establishing a balance betweenlocal and global searches, increasing the escape ability from local minima and the highconvergence speed. These matters are obtained thanks to novel mechanisms 1 and 2, as well aschange in structure of visual and step parameters of artificial fish. Figure 5 shows the chart oftotal remained energy in nodes after 50 iterations by different algorithms.

5. CONCLUSIONS


In this paper, a novel artificial fish swarm algorithm was proposed. In the proposed algorithm, thevalue of visual parameter was determined by the distance of each fish from the best foundposition by the algorithm in each iteration. Even though, the preliminary search space of fish washuge, but it was decreased by convergence of the swarm. So, the searched space by each fish wascommensurate with the progress of the algorithm and a balance between exploration andexploitation has been established. On the other hand, using two novel mechanisms i.e. movementbased on the best found position and relocation of a cluster head toward the average position ofthe swarm’s members led to improve convergence speed as well as escape ability form localminima. The experiments have been done for nodes’ clustering in wireless sensor network and theperformance of the proposed method was compared to several state-of-the-art algorithms in thisdomain. The results showed the superiority of the proposed method than comparative studies.In this paper, a modified algorithm is used for clustering of nodes in wireless sensor networks.Since, there are many applications based on mobile wireless sensor networks in which nodes areable to move by time, node clustering in such networks can be a suitable topic for furtherresearches. For this purpose, clustering algorithms must be redesigned to cover the dynamicenvironment of the problem.

REFERENCES


[1] X.S. Yang, Z. Cui, R. Xiao, A.H. Gandomi, M. Karamanoglu, Swarm intelligence and bio-inspired computation: theory and applications, Elsevier, (2013) ISBN: 978-0-12-405163-8.

[2] J. Kennedy, R.C. Eberhart, Particle swarm optimization, IEEE International Conference on Neural Networks, 4 (1995) 1942-1948, DOI: 10.1109/ICNN.1995.488968.

[3] M. Dorigo, Learning and natrual algorithms, Ph.D. thesis, Dipartimento di Elettronica, Politecnico di Milano, Italy, 1992.

[4] M. Eusuff, K. Lansey, Optimization of water distribution network design using th shuffled frog leaping algorithm, Journal of Water Resources Planning and Management, 129 (2003) 210-225, DOI: 10.1061/(ASCE)0733-9496(2003)129:3(210)). International Journal of Computer Networks & Communications (IJCNC) Vol.7, No.3, May 2015
102

[5] L.X. Lei, Z.J. Shao, J.X. Qian, An optimizing method based on autonomous animate: fish swarm algorithm, System Engineering Theory and Practice, 11 (2002) 32-38.

[6] M. Neshat, G. Sepidnam, M. Sargolzaei, A. Nadjaran Toosi, Artificial fish swarm algorithm: a surveyof the state-of-the-art, hybridization, combinatorial and indicative applications, Artificial Intelligence Review, (2012), DOI: 10.1007/s10462-012-9342-2.

[7] H.C. Tsai, Y. H. Lin, Modification of the fish swarm algorithm with particle swarm optimization formulation and communication behavior, Applied Soft Computing, 2011, DOI:10.1016/j.asoc.2011.05.022.

[8] W. Shen, X. Guo, C. Wu, D. Wu, Forecasting stock indices using radial basis function neural networks optimized by artificial fish swarm algorithm, Knowledge-Based Systems, 24 (2011) 378- 385, DOI: 10.1016/j.knosys.2010.11.001.

[9] D. Yazdani, H. Nabizadeh, E.M. Kosari, A.N. Toosi, Color quantization using modified artificial fishswarm algorithm, Lecture Notes in Computer Science, 7106 (2011) 382-391, DOI: 10.1007/978-3-642-25832-9_39.

[10] D. Yazdani, M.R. Akbarzadeh-T, B. Nasiri, M.R. Meybodi, A new artificial fish swarm algorithm for dynamic optimization problems, IEEE Congress on Evolutionary Computation, CEC2012, (2012) 1-8, DOI: 10.1109/CEC.2012.6256169.

[11] G. Zheng, Z. Lin, A winner determination algorithm for combinatorial auctions based on hybrid artificial fish swarm algorithm, Physics Procedia, International Conference on Solid State Devices and Materials Science, 25 (2012) 1666-1670, DOI: 10.1016/j.phpro.2012.03.292.

[12] R. Azizi, Empirical study of artificial fish swarm algorithm, International Journal of Computing,
Communications and Networking 3 (1) 1-7, DOI: arXiv:1405.4138 [cs.AI].

[13] A. Rocha, T. Martins, E. Fernandes, An augmented lagrangian fish swarm based method for global optimization, Journal of Computational and Applied Mathematics, 235 (2011) 4611-4620, DOI:10.1016/j.cam.2010.04.020.

[14] D. Yazdani, A. Nadjaran Toosi, M.R. Meybodi, Fuzzy adaptive artificial fish swarm algorithm, AI 2010: Advances in Artificial Intelligence, Lecture Notes in Computer Science, 6464 (2011) 334-343,DOI: 10.1007/978-3-642-17432-2_34.

[15] D. Yazdani, S. Golyari, M.R. Meybodi, A new hybrid algorithm for optimization based on artificial fish swarm algorithm and cellular learning automata, 5th International Symposium on Telecommunications (IST), (2010) 914-919, DOI: 10.1109/ISTEL.2010.5734153.

[16] D. Yazdani, B. Saman, A. Sepas-Moghaddam, F.M. Kazemi, M.R. Meybodi, A new algorithm based on improved artificial fish swarm algorithm for data clustering, International Journal of Artificial Intelligence, 11 (2013) 193-221.

[17] J. Yick, B. Mukherjee, D. Ghosal, Wireless sensor network survey, Journal of Elsevier on Computer Networks, 52 (2008) 2292-2330, DOI: 10.1016/j.comnet.2008.04.002.

[18] Z. Rezaei , S. Mobininejad, Energy Saving in Wireless Sensor Networks, International Journal of Computer Science & Engineering Survey (IJCSES) Vol.3, No.1, February 2012, 23-37

[19] M. Parvin, E. Jafari, R. Azizi, A Multi-Armed Bandit Problem-Based Target Coverage Protocol for Wireless Sensor Network, Computing, Communication and Networking Technologies (ICCCNT), 2014 International Conference on , pp.1-5, 2014

[20] S. Getsy S,R. Kalaiarasi ,S. Neelavathy Pari, D.Sridharan, Energy Efficient Clustering and Routing in Mobile Wireless Sensor Network,” International Journal of Wireless & Mobile Networks (IJWMN), vol.2, pp. 106-114, 2010

[21] A.A. Abbasi, M. Younis, A survey on clustering algorithms for wireless sensor networks, In Journal of Elsevier Computer Communication, 30 (2007) 2826-2841, DOI: 10.1016/j.comcom.2007.05.024.

[22] W.B. Heinzelman, A.P. Chandrakasan, H. Balakrishnan, An application-specific protocol architecture for wireless microsensor networks, IEEE Transactions on Wireless Communications, 1 (2002) 660-670, DOI: 10.1109/TWC.2002.804190.

[23] Y. Shi, R. C. Eberhart, A modified particle swarm optimizer, IEEE world congress on computational intelligence, (1998) 69-73 , DOI: 10.1109/ICEC.1998.699146.

[24] E. Atashpaz-Gargari, C. Lucas, Imperialist competitive algorithm: an algorithm for optimization inspired by imperialistic competition, IEEE Congress on Evolutionary computation, (2007) 4661-4667, DOI: 10.1109/CEC.2007.4425083.

Leave a comment