International Journal of Computer Networks & Communications (IJCNC)

AIRCC PUBLISHING CORPORATION

ON THE APPROXIMATION OF THE SUM OF LOGNORMALS BY A LOG SKEW NORMAL DISTRIBUTION

Marwane Ben Hcine1 and Ridha Bouallegue2
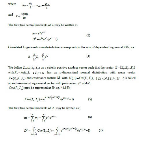
¹²Innovation of Communicant and Cooperative Mobiles Laboratory, INNOV’COM
Sup’Com, Higher School of Communication
Univesity of Carthage
Ariana, Tunisia

ABSTRACT


Several methods have been proposed to approximate the sum of lognormal RVs. However the accuracy of each method relies highly on the region of the resulting distribution being examined, and the individual lognormal parameters, i.e., mean and variance. There is no such method which can provide the needed accuracy for all cases. This paper propose a universal yet very simple approximation method for the sum of Lognormals based on log skew normal approximation. The main contribution on this work is to propose an analytical method for log skew normal parameters estimation. The proposed method provides highly accurate approximation to the sum of lognormal distributions over the whole range of dB spreads for any correlation coefficient. Simulation results show that our method outperforms all previously proposed methods and provides an accuracy within 0.01 dB for all cases.

KEYWORDS


Lognormal sum, log skew normal, moment matching, asymptotic approximation, outage probability, shadowing environment.

1.INTRODUCTION


Multipath with lognormal statistics is important in many areas of communication systems. With the emergence of new technologies (3G, LTE, WiMAX, Cognitive Radio), accurate interference computation becomes more and more crucial for outage probabilities prediction, interference mitigation techniques evaluation and frequency reuse scheme selection. For a given practical case, Signal-to-Interference-plus-Noise (SINR) Ratio prediction relies on the approximation of the sum of correlated lognormal RVs. Looking in the literature; several methods have been proposed in order to approximate the sum of correlated lognormal RVs. Since numerical methods require a time-consuming numerical integration, which is not adequate for practical cases, we consider only analytical approximation methods. Ref [1] gives an extension of the widely used iterative method known as Schwartz and Yeh (SY) method [2]. Some others resources uses an extended version of Fenton and Wilkinson methods [3-4]. These methods are based on the fact that the sum of dependent lognormal distribution can be approximated by another lognormal distribution. The non-validity of this assumption at distribution tails, as we will show later, is the main raison for its fail to provide a consistent approximation to the sum of correlated lognormal distributions over the whole range of dB spreads. Furthermore, the accuracy of each method depends highly on the region of the resulting distribution being examined. For example, Schwartz and Yeh (SY) based methods provideaccuracy in low-precision region of the Cumulative Distribution Function (CDF) (i.e., 0.01–0.99) and the Fenton–Wilkinson (FW)method offers high accuracy in the high-value region of the CDF (i.e., 0.9–0.9999). Bothmethods break down for high values of standard deviations. Ref [5] propose an alternativemethod based on Log Shifted Gamma (LSG) approximation to the sum of dependent lognormalRVs. LSG parameters estimation is based on moments computation using Schwartz and Yehmethod. Although, LSG exhibits an acceptable accuracy, it does not provide good accuracy at thelower region.

In this paper, we propose a very highly accurate yet simple method to approximate the sum oflognormal RVs based on Log Skew Normal distribution (LSN). LSN approximation has beenproposed in [6] as a highly accurate approximation method for the sum of independent lognormaldistributions, Furthermore a modified LSN approximation method is proposed in [7]. However,LSN parameters estimation relies on a time-consuming Monte Carlo simulation and the proposedapproach is limited to the independent case. The main contribution on this work is to provide asimple analytical method for LSN parameters estimation without the need for a time-consumingMonte Carlo simulation or curve fitting approximation and extend previous approaches to thecorrelated case. Our analytical fitting method is based on moments and tails slope matching forboth distributions. This work can be seen as extension to the correlated case for our work done inIn this paper, we propose a very highly accurate yet simple method to approximate the sum oflognormal RVs based on Log Skew Normal distribution (LSN). LSN approximation has beenproposed in [6] as a highly accurate approximation method for the sum of independent lognormaldistributions, Furthermore a modified LSN approximation method is proposed in [7]. However,LSN parameters estimation relies on a time-consuming Monte Carlo simulation and the proposedapproach is limited to the independent case. The main contribution on this work is to provide asimple analytical method for LSN parameters estimation without the need for a time-consumingMonte Carlo simulation or curve fitting approximation and extend previous approaches to thecorrelated case. Our analytical fitting method is based on moments and tails slope matching forboth distributions. This work can be seen as extension to the correlated case for our work done inThe rest of the paper is organized as follows: In section 2, a brief description of the lognormaldistribution and sum of correlated lognormal distributions is given. In section 3, we introduce theLog Skew Normal distribution and its parameters. The validity of lognormal assumption for thesum of lognormal RVs at distribution tails is discussed in section 4. In section 5, we usemoments and tails slope matching method to estimate LSN distribution parameters. In section 6,we provide comparisons with well-known approximation methods (i.e. Schwartz and Yeh,Fenton–Wilkinson, LSG) based on simulation results. In section 7, we give an example for outageprobability calculation in lognormal shadowing environment based on our method.The conclusion remarks are given in Section 8.

2. SUM OF CORRELATED LOGNORMAL RVS


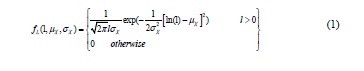
Given X, a Gaussian RV with mean σ ×and variance a2x then L=  ek is a lognormal RV with aProbability Density Function

The standard skew normal distribution was firstly introduced in [10] and was independentlyproposed and systematically investigated by Azzalini [11]. The random variable X is said tohave a scalar SN(λ£Ψ) distribution if its density is given by:

Withλ is the shape parameter which determines the skewness, éand ðrepresent the usuallocation and scale parameters andØΦ denote, respectively, the pdf and the cdf of a standardGaussian RV.
The CDF of the skew normal distribution can be easily derived as:

4.VALIDITY OF LOGNORMAL ASSUMPTION FOR THE SUM OF LOGNORMAL RVS AT DISTRIBUTION TAILS


Several approximation methods for the sum of correlated lognormal RVs is based on the fact thatthis sum can be approximated, at least as a first order, by another lognormal distribution. On theone hand, Szyszkowicz and Yanikomeroglu [14] have published a limit theorem that states thatthe distribution of a sum of identically distributed equally and positively correlated lognormalRVs converges, in distribution, to a lognormal distribution as N becomes large. This limittheorem is extended in [15] to the sum of correlated lognormal RVs having a particularcorrelation structure.On the other hand, some recent results [16, Theorem 1. and 3.] show that the sum of lognormalRVs exhibits differentbehaviourat the upper and lower tails even in the case of identicallydistributed lognormal RVs. Although the lognormal distribution have a symmetric behaviours inboth tails, this is not in contradiction with results proven in [14-15] since convergence sprovedin distribution, i.e., convergence at every point x not in the limit behaviour.This explain why some lognormal basedmethods provide a good accuracy only in the lower tail(e.g. Schwartz and Yeh), where some other methods provide an acceptable accuracy in the uppertail (e.g. Fenton-Wilkinson). This asymmetry of the behaviours of the sum of lognormal RVs atthe lower and upper tail motivates us to use the Log Skew Normal distribution as it represents theasymmetric version of lognormal distribution. So, we expect that LSN approximation provide theneeded accuracy over the whole region including both tails of the sum of correlated lognormalRVs distribution.

5. LOG SKEW NORMAL PARAMETERS DERIVATION


5.1. Tails properties of sum of Correlated lognormal RVs

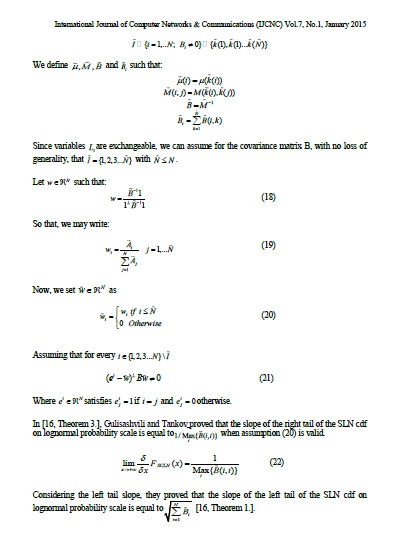
Let L be an N-dimensional log-normal vector with parameters G andM . Let 1 B= M−¹ the inverseof the covariance matrix.
To study tails behaviour of sum of correlated lognormal RVs, it is convenient to work on lognormal probability scale [13], i.e., under the transformation G:

We note that under this transformation, the lognormal distribution is mapped onto a linear equation.
We define i B as row sum of B :

5.2. Tail properties of Skew Log Normal


In [17], it has been showed that the rate of decay of the right tail probability of a skew normaldistribution is equal to that of a normal variate, while the left tail probability decays to zero faster.This result has been confirmed in [18]. Based on that, it is easy to show that the rate of decay ofthe right tail probability of a log skew normal distribution is equal to that of alognormal variate.Under the transformation G, skew lognormal distribution has a linear asymptote in the upper limitwith slope

These results are proved in [8, Appendix A]. Therefore, it will be possible to match the tail slopesof the LSN with those of the sum of correlated lognormal RVs distribution in order to find LSNoptimal parameters.

5.3. Moments and lower tail slope matching


In order to derive log skew normal optimal parameters, we proceed by matching the two centralmoments of both distributions. Furthermore, use we lower slope tail match. By simulation, wepoint out that upper slope tail match is valid only for the sum of high number of lognormal RVs.However we still need it to find an optimal starting guess solution to the generated nonlinearequation. Thus we define opt λ as solution the following nonlinear equation:

Such nonlinear equation can be solved using different mathematical utility (e.g. fsolve in Matlab).Using upper slope tail match we derive a starting solution guess 0 ÿ to (23) in order to converge rapidly (only few iterations are needed):

6. SIMULATION RESULTS


In this section, we propose to validate our approximation method and compare it with otherwidely used approximation methods. Fig. 1 and Fig. 2 show the results for the cases of the sum of20 independent lognormal RVs (p-0 ) with mean 0dB and standard deviation 3dB and 6dB. TheCDFs are plotted in lognormal probability scale [13]. Simulation results show that the accuracy ofour approximation get better as the number of lognormal distributions increase


Figure 1. CDF of a sum of 20 i.i.d. lognormal RVs with u = 0 dB and a = 3dB.

We can see that LSN approximation offers accuracy over the entire body of the distribution forboth cases. In Fig. 3, we consider the sum of 12 independent lognormal RVs having the samestandard deviation of 3dB, but with different means. It is clear that LSN approximation catch theentire body of SLN distribution. In this case, both LSN and MPLN provide a tight approximationto SLN distribution. However LSN approximation outperforms MLPN approximation in lowerregion. Since interferences modelling belongs to this case (i.e. same standard deviation withdifferent means), it is important to point out that log skew normal distribution outperforms othermethods in this case.Fig. 4 shows the case of the sum of 6 independent lognormal RVs having the same mean 0dB butwith different standard deviations. We can see that Fenton-Wilkinson approximation method canonly fit a part of the entire sum of distribution, while the MPLN offers accuracy on the left part ofthe SLN distribution. However, it is obvious that LSN method provides a tight approximation totheSLNdistribution except a small part of the right tail. It is worthy to note that in all cases, logskew normal distribution provide a very tight approximation to SLN distribution in the region ofCDF less than 0.999.

The comparison of the Complementary Cumulative Distribution Function (CDF) of the sum of N( N 2,8,λ20 ) correlated lognormal RVs P∧>λ of Monte Carlo simulations with LSNapproximation and lognormal based methods for low value of standard deviationσ-3dB withù- 0dB and p-0.7 are shown in Fig.5. Although these methods are known by its accuracy in thelower range of standard deviation, it obvious that LSN approximation outperforms them. We notethat fluctuation at the tail of sum of lognormal RVs distribution is due to Monte Carlo simulation,since we consider 7 10 samples at every turn. We can see that LSN approximation results areidentical to Monte Carlo simulation results.

Fig.6 and Fig.7 show the complementary CDF of the sum of N correlated lognormal RVs forhigher values of standard deviation σ−6,9dB and two values of correlation coefficientsΡ= 0.9, 0.3 . We consider the Log Shifted Gamma approximation for comparison purposes. Weconsider the Log Shifted Gamma approximation for comparison purposes. We can see that LSNapproximation highly outperforms other methods especially at the CDF right tail ( 2 1− CDF 10) .Furthermore, LSN approximation give exact Monte Carlo simulation results even for low rangeof the complementary CDF of the sum of correlated lognormal RVs ( 6  -CDF <10 ).To further verify the accuracy of our method in the left tail as well as the right tail of CDF of thesum of correlated lognormal RVs, Fig. 8 and Fig. 9 show

and the complementary CDF of the sum of 20 correlated lognormal RVs with∪−0dB Ρ- 0.3 fordifferent standard deviation values. It is obvious that LSN approximation provide exact MonteCarlo simulation results at the left tail as well as the right tail. We notice that accuracy does notdepend on standard deviation values as LSN performs well for the highest values of standarddeviation of the shadowing.To point out the effect of correlation coefficient value on the accuracy of theproposedapproximation, we consider the CDF of the sum of 12 correlated lognormal RVs for differentcombinations of standard deviation and correlation coefficient values with∪- 0dB (Fig. 10). Onecan see that LSN approximation efficiency does not depend on correlation coefficient or standarddeviation values. So that, LSN approximation provides same results as Monte Carlo simulationsfor all cases.

7. APPLICATION: OUTAGE PROBABILITY IN LOGNORMAL SHADOWINGENVIRONMENT


In this section, we provide an example for outage probability calculation in lognormal shadowingenvironment based on log skew normal approximation.We consider a homogeneous hexagonal network made of 18 rings around a central cell. Fig. 11shows an example of such a network with the main parameters involved in the study: R, the cellrange (1 km), Rc, the half-distance between BS. We focus on a mobile station (MS) u and itsserving base station (BS), i BS , surrounded by M interfering BSTo evaluate the outage probability, the noise is usually ignored due to simplicity and negligibleamount. Only inter-cell interferences are considered. Assuming that all BS have identicaltransmitting powers, the SINR at the u can be written in the following way:

Fig. 12 and Fig. 13 show the outage probability at cell edge (r=Rc) and inside the cell (r=Rc/2),resp. for =3dB and 6dB assuming n =3. Difference between analysis and simulation results is lessthan few tenths of dB. This accuracy confirms that the LSN approximation, considered in thiswork, is efficient for interference calculation process.

8. CONCLUSIONS


International Journal of Computer Networks & Communications (IJCNC) Vol.7, No.1, January 2015150In this paper, we proposed to use the Log Skew Normal distribution in order to approximate the sum of correlated lognormal RVdistribution. Our fitting method uses moment and tails slope matching technique to derive LSN distribution parameters. LSN provides identical results to Monte Carlo simulations results and then outperforms other methods for all cases. Using an example for outage probability calculation in lognormal shadowing environment, we proved that LSN approximation, considered in this work, is efficient for interference calculation process.

REFERENCES


[1] A. Safak, “Statistical analysis of the power sum of multiple correlated log-normal components”,IEEE Trans. Veh. Tech., vol. 42, pp. 58–61, Feb. 1993.

[2] S.Schwartz and Y.S. Yeh, “On the distribution function and moments of power sums with log-normal components”, Bell System Tech. J., Vol. 61, pp. 1441–1462, Sept. 1982.

[3] M. Pratesi , F. Santucci , F. Graziosi and M. Ruggieri “Outage analysis in mobile radio systems with generically correlated lognormal interferers”, IEEE Trans. Commun., vol. 48, no. 3, pp.381 -385 2000.

[4] A. Safak and M. Safak “Moments of the sum of correlated log-normal random variables”, Proc. IEEE 44th Vehicular Technology Conf., vol. 1, pp.140 -144 1994.

[5] C. L. Joshua Lam,Tho Le-Ngoc ” Outage Probability with Correlated Lognormal Interferers using Log Shifted Gamma Approximation” , Wireless Personal Communications, Volume 41, Issue 2, pp179-192, April 2007.

[6] Z. Wu, X. Li, R. Husnay, V. Chakravarthy, B. Wang, and Z. Wu. A novel highly accurate log skew normal approximation method to lognormal sum distributions. In Proc. of IEEE WCNC 2009.

[7] X. Li, Z. Wu, V. D. Chakravarthy, and Z. Wu, “A low complexity approximation to lognormal sum distributions via transformed log skew normal distribution,” IEEE Transactions on Vehicular Technology, vol. 60, pp. 4040-4045, Oct. 2011.

[8] M. Benhcine, R. Bouallegue, “Fitting the Log Skew Normal to the Sum of Independent Lognormals Distribution”, accepted in the sixth International Conference on Networks and Communications (NetCom-2014) .

[9] Samuel Kotz, N. Balakrishnan, Norman L. Johnson “Continuous Multivariate Distributions”, Volume 1, Second Edition, John Wiley & Sons, avril 2004.

[10] O’Hagan A. and Leonard TBayes estimation subject to uncertainty about parameter constraints, Biometrika, 63, 201–202, 1976.

[11] Azzalini A, A class of distributions which includes the normal ones, Scand. J. Statist., 12, 171–178, 1985.

[12] M. Patefield, “Fast and accurate calculation of Owen’s t function,” J. Statist. Softw., vol. 5, no. 5, pp. 1–25, 2000.

[13] N. C. Beaulieu, Q. Xie, “Minimax Approximation to Lognormal Sum Distributions”, IEEE VTC Spring, Vol. 2, pp. 1061-1065, April 2003.

[14] S. S. Szyszkowicz and H. Yanikomeroglu “Limit theorem on the sum of identically distributed equally and positively correlated joint lognormals”, IEEE Trans. Commun., vol. 57, no. 12, pp.3538 -3542 2009

[15] N. C. Beaulieu, “An extended limit theorem for correlated lognormal sums,” IEEE Trans. Commun., vol. 60, no. 1, pp. 23-26, Jan. 2012

[16] Archil Gulisashvili, Peter Tankov, “Tail behavior of sums and differences of log-normal random variables”, ARXIV 09/2013.

[17] Antonella Capitanio, “On the approximation of the tail probability of the scalar skew-normal distribution”, in METRON (2010).

[18] W. Hürlimann, “Tail Approximation of the Skew-Normal by the Skew-Normal Laplace: Application to Owen’s T Function and the Bivariate Normal Distribution”, Journal of Statistical and Econometric Methods, vol. 2, no.1, 2013, 1-12, Scienpress Ltd, 2013.International Journal of Computer Networks & Communications (IJCNC) Vol.7, No.1, January 2015 151

Authors


Marwane Ben Hcine was born in K.bili, Tunisia, on January 02, 1985. He graduated inTelecommunications Engineering, from The Tunisian Polytechnic School (TPS), July 2008.In June 2010, he received the master’s degree of research in communication systems of theHigher School of Communication of Tunisia (Sup’Com). Currently he is a Ph.D. student atthe Higher School of Communication of Tunisia. His research interests are network design and dimensioning for LTE and beyond Technologies.

Pr. Ridha BOUALLEGUE was born in Tunis, Tunisia. He received the M.S degree inTelecommunications in 1990, the Ph.D. degree in telecommunications in 1994, and theHDR degree in Telecommunications in 2003, all from National School of engineering ofTunis (ENIT), Tunisia. Director and founder of National Engineering School of Sousse in2005. Director of the School of Technology and Computer Science in 2010. Currently, Prof. RidhaBouallegue is the director of Innovation of COMmunicant and COoperative Mobiles Laboratory,INNOV’COM Sup’COM, Higher School of Communication. His current research interests include mobileand cooperative communications, Access technique, intelligent signal processing, CDMA, MIMO, OFDMand UWB systems

Leave a comment