International Journal of Computer Networks & Communications (IJCNC)

AIRCC PUBLISHING CORPORATION

IJNSA 03

OFFLINE SIGNATURE RECOGNITION VIA CONVOLUTIONAL NEURAL

NETWORK AND MULTIPLE CLASSIFIERS

Fadi Mohammad Alsuhimat and Fatma Susilawati Mohamad
Faculty of Informatics and Computing
,
Universiti Sultan Zainal Abidin
, Terengganu, Malaysia

 

ABSTRACT

One of the most important processes used by companies to safeguard the security of information and prevent it from unauthorized access or penetration is the signature process.As businesses and individuals move into the digital age, a computerized system that can discern between genuine and faked signatures is crucial for protecting people’s authorization and determining what permissions they have. In this paper, we used PreTrained CNN for extracts features from genuine and forged signatures, and three widely used classification algorithms, SVM (Support Vector Machine), NB (Naive Bayes) and KNN (knearest neighbors), these algorithms are compared to calculate the run time, classification error, classification loss, and accuracy for testset consist of signature images (genuine and forgery). Three classifiers have been applied using (UTSig) dataset; where run time, classification error, classification loss and accuracy were calculated for each classifier in the verification phase, the results showed that the SVM and KNN got the best accuracy (76.21), while the SVM got the best run time (0.13) result among other classifiers,therefore the SVM classifier got the best result among the other classifiers in terms of our measures.

KEYWORDS
Offline Signature Recognition, CNN, SVM, KNN, NB.

1. INTRODUCTION
A handwritten signature is a personal skill that consists of a group of symbols and characters written in a specific language. It is one of the operations that is used to provide persons with authentication to perform many transactions, such as banking transactions and class attendance, where the signature can ensure the permitted validity of persons and classify forged signatures from genuine signatures [1].

A signature is a meticulously crafted drawing that an individual creates on any record as a mark of their identity. A person uses it on a regular basis to sign a check, a legal instrument, a contract, and so on. When someone attempts to copy it, a problem arises [2].

Signature recognition is a complicated design identifiable proof with insufficiency because no two verifiable signatures of a person can be compared perfectly. If it succeeds accident, it will cause significant harm to an individual. One method is to use each person’s biometric characteristics [3].

Signature recognition and other biometric features are now commonplace in practically every industry where mystery and security are top priorities for all people and nations. Furthermore,signature verification can aid in determining a person’s personality as well as their authorization to perform a specific task [2].

A signature recognition system can be used to verify a signature to distinguish it from a forgery. The recognition process consists of a number of stages, including normalization, features extraction, and classification. These three phases are particularly important for confirming signatures because the transcribed signature can change over time depending on the person’s behaviour and position [3]. Figure 1 shows different types of signatures for the same person.

 



Figure 1. Example of different patterns of signature

The features extraction phase is the second stage in a signature recognition system. This phase is important because the entire system relies on it to verify individual signatures. This phase is responsible for detecting and determining a group of features in each signature, such as the number of pixels, width, corner, and length [4].

The features extraction stage depends on detecting image highlights with incredible precision through minimizing the measurements of the first picture at that point extricates a group of covered up characteristics within the picture, in arrange to encourage the method of separation between unique and fake marks.

The third stage in the signature recognition system is the classification stage, and this stage is the signature verification stage, in which it is determined whether the signature is false or real in it, through comparing the signature features stored in the database with anyone who wants to verify his/her signature [5].

The classification phase aims at identifying the genuine signature by comparing the enrolled and authenticated signature features. The decisionmaker then chooses if the signature should be accepted or denied based on the threshold [6].

Furthermore, the signature is a character trait of individuals used in biometrics systems to verify individuals’ identities, as the usage of biometric characteristics in the field of security grows, the signature appears as a biometric feature that provides a secure way of delegating individuals and verifying their identification in legal documents. Furthermore, when compared to other biometric traits like (hand geometry, iris scan, or DNA), the signature has a high level of acceptance by individuals. All these reasons have led to an increase in the proliferation of signature recognition systems and the need for further developments on these systems.

In this paper, our objective is to study the features extraction phase and classification phase for signature images. Therefore, in this research Pretrained Convolutional Neural Network was used for features extraction phase, then signature image features are classify using (support vector machine (SVM), naive Bayes (NB) and knearest neighbor (KNN)), with UTSig dataset [7].This dataset has (115) classes containing: (27) genuine signatures; (3) oppositehand signed samples, (36) simple forgeries and (6) skill forgeries; we selected (2475) images as a training group to train the classification algorithms.

2. OVERVIEW OF METHODS

The features extraction approach and classification algorithms utilized in the signature classification and comparison process are briefly detailed in this section. Feature normalization, feature extraction, and classification are all part of the suggested signature classificationalgorithm.

2.1. Features Extraction Phase

In this research, a deep learning method was used for offline signature verification. A Convolutional Neural Network (CNN) ad hoc model was used as a deep learning method. A Convolutional Neural Network was firstly proposed by LeCun et al [8] as a method for image processing, where it has consisted of two essential features including spatial pooling and spatially shared weights.

In 1998, they [9] enhanced the CNNs as LeNet5 which is a pioneering 7level convolutional network to classify digits. At the present time, CNNs considered the most widely utilized deep learning architecture in feature learning, through many successful applications in various areas like autonomous vehicles [10], character recognition [11], video processing [12], medical image processing, and object recognition [13].

Figure (2) shows basic structure of CNN.



Figure 2. CNN structure

As shown in Figure (2), a CNN has three primary layers: a convolutional layer, a subsampling layer (pooling layer), and a fullyconnected layer, that was taken from the study of LeCun et al [8]. CNN points to define the unique features of pictures utilizing convolutional operations and pooling operations. The features gotten within the first layers identify as edges or colour data, whereas within the final layers they portray parts of shapes and objects [9].

In the convolution layer, the convolution operation is implemented by shifting the filter data matrix on the input data matrix and adding a bias to the multiplication of these matrixes. The basic convolution process represents in Figure. 3, Basic formulation of the convolution operation has been given in equation (1). In the equation, pixels of the output image, pixels of the input image, pixels of the filter (kernel) and bias term were represented by y, x, w and b respectively. 

Another tool using by CNNs is called pooling, the pooling tool [58] is utilized to spatially downsample the activation of the previous layer by propagating the maximum activation of the previous neuron groups. The most objective of the pooling layers is diminishing the computational complexity of the model by continuously diminishing the dimensionality of the representation [9]. If preferred, a rectified linear unit (ReLU) activation function can be utilized at the conclusion of each layer for normalization. The main operation of (ReLU) was depicted in equation (2).

Fully Connected Layers (FC), which are the primary building components of classical neural networks, are the final layer in CNN. Fully Connected layers are shaped by the association of neurons to each neuron within the following layer. It is at that point normalized to a probability dispersion employing a SoftMax layer. Moreover, it points to require the highlevel sifted pictures and interpret them into votes. These votes are communicated as weights, or association qualities, between each esteem and each category [9], [11].

2.2. Signature Classification

In this paper, we used various algorithms for classification: KNN, SVM, and SVR. Knearest Neighbor (KNN): This is a procedure of gathering parameters based on closest tests of the range of inner features [14]. KNN is one of the popular and clear classification calculations.Learning approach as it joined sparing characteristic vectors and marks of the learning pictures,inner gathering operations.

This unmarked position may be really assigned the title for its k closest neighbor’s. Regularly, this thing will be categorized based on the marks of its k closest neighbors by utilizing overwhelming portion surveying. On k=1, those parameters are categorized based on the power of the parameter closest to it. If there is a need for only two segments, then k should make an odd number. K may be an odd number when showing up multiclass arrangement. This stage used the famous distance equation, Euclidean distance, as a related point separation capacity for KNN after changing each image to a vector from claiming fixedlength for true numbers:


Figure 4. KNN Classification

Support Vector Machine (SVM): This is prepared to assess signature among specific signature qualities [15]. Through applying a classification algorithm to particular features for signature images, during the training procedure, we trained a signature classifier, used every last one of the preparation data. An outline of signature prediction utilized SVM algorithm indicated in Fig. 5 to classify the input signature image with training procedures. The inputs xi is the characteristic vectors. To configure the SVM parameters, we used Gaussian kernel K:

Naive Bayes: Naive Bayes learning refers to the construction of a Bayesian probabilistic model that assigns a posterior class probability to an instance: P(Y = yj |X = xi). The simple naive Bayes classifier uses these probabilities to assign an instance to a class. Applying Bayes’ theorem (Eq.7) [16], and simplifying the notation a little, as shown in equation 5.

3. EXPERIMENTAL RESULT

This section presents the results of experimental classifiers in three sections, the first of which (3.1) outlines the database used, the receiver operating characteristic (ROC) and runtime for each classifier is shown in section (3.2), and the performance (accuracy, classification error, classification loss, and runtime) of each classifier is calculated in section (3.3).

3.1. Database

The process of comparing three algorithms implemented on a set of signature images from the (UTSig) dataset. As illustrated in Figure (5), this dataset has “(115) classes containing: (27) authentic signatures; (3) oppositehand forgeries, (36) easy forgeries, and (6) skill forgeries.” Each lesson is assigned to a single actual person. UTSig contains (8280) photos taken from undergraduate and graduate students at the University of Tehran and Sharif University of Technology, where signatures images were scanned at 600 dpi and saved as 8bit Tiff files” [7,p1].

In this paper, a total of (2475) signature images were chosen to train the set, and (660) signature images were chosen to test our classification algorithms.



Figure 5. Forger and Genuine signature examples from UTSig dataset

3.2. Experimental Setup

Features were extracted from a pretrained CNN and then classified in original forgeries through three classifiers, SVM, KNN and NB. In the first model, CNN was trained via a set of signatures for (75) persons, where each person has 33 signatures which include 27 genuine and 6 forgeries were used, the pretrained CNN used AlexNet for features extraction process, where AlexNet uses layers property that comprises of 25 layers. There are 8 layers for learnable weights, 5convolutional layers and 3 fully connected layers. Fig. 5 shows the details of all the layers of AlexNet.

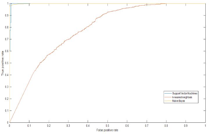
Table I shows the experimental results using (ROC) by calculating the area under the curve for the estimated values of X and Y. Also, calculate the runtime for each classifier. We discovered that KNN performed better than other classifier algorithms, which include SVM and NB according to ROC values, where the NB classifier runtime was better than other classifier algorithms.

Table 1. Run-Time and AUC values for each classifier



Figure. 6 showed the ROC values for each classifier, where KNN produces better ROC values for higher thresholds, SVM is also got good ROD values and almost equal to KNN values. While the ROC curve for naive Bayes is often lowers than the other two ROC curves, this suggests that the other two classifier algorithms perform better insample.



Figure 5. Shows the details of all the layers of AlexNet



Figure 6. Receiver operating characteristic (ROC) curve

3.3. Efficiency

The efficiency was taken regarding run time, classification error, classification loss and accuracy measurements for each classifier on 660 images sequentially.

Table 2. Shows all measures for each classification algorithms



Data in the above table showed that for the run time we can note that the best run time was for SVM classifier. Following by NB classifier, and finally KNN classifier, while for classification error we note that, SVM and KNN misclassifies approximately (24%) of the test sample, while NB misclassifies approximately (29%) of the test sample. Besides that, classification loss values indicated that, SVM and KNN classifiers have better value (0.01) than NB classifier (0.26), finally the accuracy value for both classifier SVM and KNN achieved (76.21) which better than the accuracy value for NB classifier.

4. CONCLUSION AND FUTURE WORK

The performance of the SVM, KNN, and NB classification algorithms was compared on a set of signature images from the (UTISG) dataset in this study. The run time, classification error,classification loss, and accuracy metrics for each algorithm were calculated. The three approaches mentioned here are widely used classification algorithms, with processing complexity and accuracy being the most essential considerations when choosing a better classification strategy.

The training set consists of (2475) signature images, which are compared using a pre-trained CNN for feature extraction, followed by the results being trained using three classifiers: SVM, KNN, and NB. The run time, classification error, classification loss, and accuracy measurements for each method were then calculated in order to determine which algorithm was the best. 

The best run time was for the SVM classifier, followed by the NB classifier, and finally, the KNN classifier, while for classification error, the SVM and KNN classifiers received the same misclassifies nearly and were better than the NB misclassifies approximately. Furthermore, SVM and KNN classifiers had the same classification loss values as the NB classifier and are better than it. Finally, the accuracy values for both SVM and KNN classifiers were the same and better than the accuracy value for the NB classifier.

For future work other classification algorithms will be test with the same and different dataset, also using full deep learning system for both phases (extract features and classification) will help in build an accurate signature verification system.

REFERENCES

[1] F. Alsuhimat, F. S. Mohamad, and M. Iqtait, “Detection and Extraction Features for Signatures Images via Different Techniques,” IOP Conf. Series: Journal of Physics: Conf. Series 1179 (2019) 012087.
[2] F. S. Mohamad, F. Alsuhimat, M. Mohamed, M. Mohamad, and A. Jamal, “Detection and Feature Extraction for Images Signatures,” International Journal of Engineering & Technology, vol. 7, no. 3,pp. 4448, 2018.

[3] J. Poddar, V. Parikh, S. K. Bharti, “Offline signature Recognition and Forgery Detection using Deep Learning,” The 3rd International Conference on Emerging Data and Industry 4.0 (ED140), April 69,Warsw, Poland, 2020.

[4] K. Daqrouq, H. Sweidan, A. Balamesh, and M. Ajour, “OffLine Handwritten Signature Recognition by Wavelet Entropy and Neural Network”, Entropy., vol. 19, no. 6, pp. 1.20, 2017.

[5] T. Jahan., S. Anwar, and A. AlMamun, “A Study on Preprocessing and Feature Extraction in offline Handwritten Signatures”, Global Journal of Computer Science and Technology: F Graphics & Vision., vol. 15, no. 2, pp. 1.7, 2015.

[6] S. Gunjal, B. Dange, and A. Brahmane, “Offline Signature Verification using Feature Point Extraction”, International Journal of Computer Applications., vol. 141, no. 14, pp. 6.12, 2016.

[7] Soleimani, K. Fouladi, and B. Araabi, “UTSig: A Persian offline signature dataset”, IET Biometrics.,vol. 6, no. 1, pp. 1.8, 2016.

[8] S. Singh, M. Gogate, and S. Jagdale, “Signature Verification Using LDP & LBP with SVM Classifiers,” International Journal of Scientific Engineering and Science, vol. 1, no. 11, pp. 9598,2017.
[9] A. Krizhevsky, I. Sutskever, and G. E. Hinton, “ Images classification with deep convolutional neural networks,” In Advance in neural information processing systems, pp. 10971105, 2012.

[10] Y. LeCun et al.,”Handwritten digit recognition with a backpropagation network,” in Advances in neural information processing systems, pp. 396404, 1990.

[11] Y. LeCun, L. Bottou, Y. Bengio, and P. Haffiner, ‘”Gradientbased learning applied to document recognition,” Proc. IEEE, vol. 86, no. 11, pp. 22782324, 1998.

[12] M. F. Yahya and M. R. Arshad, “Detection of markers using deep learning for docking of autonomous underwater vehicle,” in 2017 IEEE 2nd International Conference on Automatic Control and Intelligent Systems (I2CACIS), pp. 179 184, 2017.
[13] C. Boufenar, A. Kerboua, and M. Batouche, “Investigation on deep learning for offline handwritten Arabic character recognition,” Cogn. Syst. Res., 2017.

[14] R. Olmos, S. Tabik, and F. Herrera, “Automatic handgun detection alarm in videos using deep learning,” Neurocomputing, vol. 275, pp. 6672, 2018.
[15] V. D. Nguyen, H. Van Nguyen, D. T. Tran, S. J. Lee, and J. W. Jeon, “Learning Framework for Robust Obstacle Detection, Recognition, and Tracking,” IEEE Trans Intell Transp Syst, vol. 18, no.6, pp. 16331646, 2017.

[16] T. Cover, and P. Hart, “Nearest neighbor pattern classification,” IEEE transactions on information theory, vol. 13, no. 1, pp. 2127, 1967.

AUTHORS

Received the B.S. degree in computer information system from Alhussien Bin Talal University, Ma’an, Jordan, in 2007, the M.S. degree in computer science from Utara University Malaysia (UUM), Kedah, Malaysia, and now a Ph.D. student in pattern recognition, deep learning at University Sultan Zainal Abidin, Kuala Terengganu (UNISZA), interesting in the machine and deep learning, data science and artificial intelligence.

B. Sc degree in information system management from Oklahoma, USA, the master degree in computer science from University Kebangsaan Malaysia, and Ph.D. in computer science from University Teknologi Malaysia, now work as Associate Professor at Faculty of Informatics and Computing, University Sultan Zainal Abidin, Kuala Terengganu, Malaysia. Current research on Statistical and Biometric Pattern Recognition.