Joint-Design Of Link-Adaptive Modulation And Coding With Adaptive ARQ For Cooperative Amplify And Forward Relaying System
Bhuvan Modi, O. Olabiyi and A. Annamalai
Center of Excellence for Communication Systems Technology Research, Department of Electrical and Computer Engineering, Prairie View A & M University, TX 77446 United States of America
Abstract
This paper analyzes the efficiency of a joint-design of an adaptive modulation and coding (AMC) at the physical (PHY) layer with an adaptive Rmax-truncated selective-repeat automatic repeat request (ARQ) protocol at the medium access control (MAC) layer to maximize the throughput of cooperative non-regenerative relay networks under prescribed delay and/or error performance constraints. Particularly, we generalize the existing design model/results for cross-layer combining of AMC along with truncated ARQ in non-cooperative diversity networks in three-folds: (i) extension of the cross-layer PHY/MAC design or optimization to cooperative diversity systems; (ii) generalization/unification of analytical expressions for various network performance metrics to generalized block fading channels with independent but non-identically distributed (i.n.d) fading statistics among the spatially distributed nodes; (iii) analysis of the effectiveness of joint-adaptation of the maximum retransmission limit Rmax of ARQ protocol and cooperative diversity order N for delay-insensitive applications. Our insightful numerical results reveal that the average throughput can be increased significantly by judiciously combining two additional degrees of freedom (N and Rmax) that are available in cooperative amplify-and-forward (CAF) relay networks besides employing AMC at the PHY layer, especially in the most challenging low signal-to-noise ratio (SNR) regime.
Keywords
cross-layer design, adaptive retransmission, cooperative relay diversity, adaptive modulation and coding.
1.Motivation
It is well-known that the link adaptation techniques (e.g., adaptive modulation/coding) could dramatically enhance the spectral utilization efficiency of wireless networks that employ “fixed-transmission” methods. But to improve the transmission reliability/robustness at the physical (PHY) layer, one has to either increase the transmit power (thereby, decreasing the battery-life) or to reduce the transmission rate (e.g., by selecting a smaller constellation size or decreasing the code rate of forward error correction coding). Additionally, spatial/polarization diversity solutions at the physical layer (by employing multiple antenna elements at the transmitter and/or receiver) may not be reasonable on small-sized handheld portable devices or sensor nodes.An alternative way to mitigate the deleterious effects of a multipath fading is to exploit “diversity” mechanisms at higher layers of the protocol stack. For instance, ARQ is an effective strategy to achieve a high reliability of packet transmissions at the data link layer (especially in slowly time varying channels) and unlike FEC, the redundancy (packet retransmissions) are only introduced, when necessary.Similarly, the number of collaborating nodes in a CAF relay network (i.e., distributed spatial diversity order) could be increased to satisfy the prescribed average packet error rate constraint (but the reliability improvement is attained at the expense of the network capacity owing to the half-duplex operation of CAF relay networks, although this technique could overcome the practical implementation issue of packing multiple antenna elements on small-sized sensor nodes).Instead of considering AMC at the PHY layer, ARQ at the data link layer, and cooperative diversity at the network layer separately in this article, we pursue a cross-layer design that combines these three layers judiciously to maximize the spectral efficiency or throughput subject to delay and/or error performance constraints. Cross-layer design approach breaks away from conventional network design, where each and every layer of the protocol stack is optimized and operates independently. In particular, we exploit the channel knowledge at transmitter and explore the potential synergies between different protocol layers to maximize the end-to-end throughput while satisfying the prescribed delay and average packet error rate (APER) constraints. For example, by achieving a higher packet success probability with the help of cooperative diversity and ARQ, the stringent error control requirement is improved for the AMC at the PHY layer. This enables a considerable spectral efficiency gain especially in the low SNR regime. Given the maximum allowable number of retransmissions Rmax (that depends on the delay constraint) in a CAF relay network, we design AMC transmissions that guarantee the required APER performance. The benefits of adapting Rmax and the number of cooperating relay nodes are also investigated.
1.1 Literature Review/Prior Work
While the literature on performance analysis of non-adaptive (i.e., fixed-rate and/or fixed-power) cooperative diversity systems and adaptive transmission techniques for non-cooperative wireless networks are quite extensive that span over four decades, most prior focused only on the improvement of the link layer performance. The art of adaptive link layer for cooperative wireless networks especially in a cross-layer design framework is still in its infancy. For instance, in [1]-[3] (and references therein), the authors have studied extensively the design and implementation of AM and coding at the PHY layer, wherein the transmission rates are matched to the time-varying channel conditions in a non-cooperative wireless system. Author in ref. [4] investigates the efficiency of a truncated ARQ protocol scheme for a cooperative amplify-and-forward system with fixed modulation. Authors in ref. [5]-[9] have considered Adaptive Modulation and/or optimal power allocation amongst collaborating nodes in cooperative relay systems. Whereas authors in ref. [10] studied the effectiveness of cross-layer combining of the ARQ and the AMC for non-cooperative diversity systems in a Nakagami-m fading channel. Authors in [11] analyzed the performance of a cross layer design in terms of spectral efficiency, which combines cooperative diversity with truncated ARQ in Ad-hoc wireless networks, but without link adaptation in the Rayleigh fading channel. Ref. [12],[13] studied the spectral efficiency analysis of Joint AMC and Cooperative ARQ for a single incremental relay in the Rayleigh fading channel. In [14], authors considered a cross-layer combination of a cooperative hybrid ARQ with adaptive modulation in wireless ad-hoc networks by assuming a single retransmission request under the Rayleigh fading environment.Motivated by above observations/discussions, our contributions in this paper can be summarized as follows.
1.Motivated by the appreciable improvement in the data link layer throughput by judiciously combining a truncated ARQ protocol with adaptive modulation and coding (AMC) over the simple concatenation of ARQ to fixed modulation/coding schemes, we consider a design methodology similar to [10] but with two additional degrees of freedom for providing the desired level of rate-reliability trade-off via cooperative diversity and adaptive Rmax In addition, we developed a novel unified analytical framework (based on the marginal MGF of the end-to-end SNR) to compute the average spectral efficiency, outage probability and APER performance metrics over fading channels (viz., since the MGF of the end-to-end SNR is much easier to compute and/or readily available for CAF relay networks compared to its probability density function, while the marginal MGF can be computed efficiently using this MGF in conjunction with Fixed-Talbot method [15]). Our proposed mathematical framework is satisfactorily general to exemplify the performance of adaptive-link non-regenerative relay networks over a extensive range of fading distributions (i.e., it is not only restricted to the Rayleigh or independent identically distributed (i.i.d) Nakagami-m fading channel) with independent and non-identically distributed (i.n.d) fading statistics across the spatially distributed diversity paths and can be efficiently apply to the wireless system composed of large number of relays.
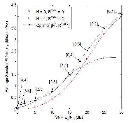
2.Moreover,we propose an interesting approach for maximization of throughput by joint adaptation of two parameters, one with cooperative diversity order N and second with adaptive Rmax scheme (see Fig. 8). To the best of our knowledge a similar approach which focuses on throughput optimization by jointly adaptation of both N and Rmax has not been considered in the previous literature.The remainder of this paper is organized as follows. System model is discussed in section 2. We develop the cross-layer design in Section 3, by combining AMC at the physical layer with adaptive ARQ at the data link layer for CAF relay networks. Numerical findings are presented in Section 4. Our conclusions are given in Section 5.
Figure 1. System Model: Link-adaptive cooperative diversity system with ARQ technique[1]
2. SYSTEM MODEL
2.1 COOPERATIVE DIVERSITY MODEL
Figure 1 shows combined link-adaptive and ARQ based cooperative diversity system with a source node S communicates with a destination node D via a direct-link and through N amplify-and-forward relays, Ri, in two transmission phases. During the initial Phase I, S broadcasts signal x to D and to the relays Ri, where channel fading coefficients between S and D, S and the i-th relay node Ri, Ri and D are denoted by , and , respectively. In the second segment of cooperation, each of the N relays re-transmits the received signal after amplification via orthogonal transmissions (using TDMA in a round-robin fashion and/or FDMA). If a maximum ratio combiner (MRC) process is deployed at the destination node D to coherently merge all the signals received during these two transmission phases, the effective end-to-end SNR is given by [17],[16]
Table I
2.2 Adaptive Modulation and Coding (AMC) Scheme
Suppose that the multiple transmission modes are available at the PHY layer, and each associated with a specific AMC scheme. In practice, link-adaptation is performed at the frame level (which is the processing unit at the PHY layer) and the AMC controller at the transmitter (i.e., source node S) selects a particular mode for transmission based on the feedback of channel side information (e.g., effective SNR) acquired by the destination node D. But APER evaluation (required for MAC layer throughput calculation) through the average bit error rate using may not be always accurate especially for higher order constellations (since information bits in a symbol incur different error probabilities) and coded transmissions over slow fading channels (since bit errors are not uncorrelated). Moreover, this form does not provide the averaging problem over the fading SNR density function that arises in the performance evaluation of AMC systems. In this article, we will utilize an exponential-type approximation for the instantaneous packet error rate (PER) provided in [10]. At the physical layer, following two sets of transmission modes are considered (listed in Table I[1]): TM1- is uncoded, with Mn-ary rectangular/square QAM modes (where Mn = 2n, n = 1, 2, 3, 4… 7) and TM2-is convolutionally coded Mn-ary rectangular or square QAM modes.
2.3 Selective-Repeat Arq Protocol Scheme
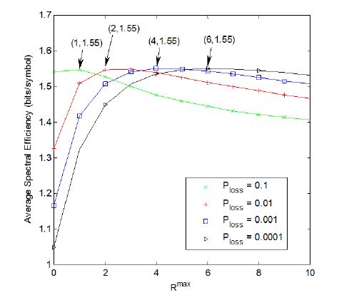
The selective-repeat ARQ protocol is implemented at the data link layer with a retransmission limit Rmax (while only finite delays and buffer sizes can be afforded in practice), and hence error-free delivery is not guaranteed. The value of Rmax can be determined by dividing the maximum permissible network delay by the round-trip delay required for each retransmission. If a packet is not received correctly after Rmax retransmissions, it will be dropped and we declare packet loss. In our cross-layer design, our design objective is to select an appropriate modulation scheme that ensures that the packet loss after Rmax retransmissions is no larger than the target packet loss probability, Ploss.
Figure 2. Illustration of packet and frame structures
The packet and frame structures are depicted in Fig. 2. It is considered that, at the data link layer, each packet consists of Np bits that, contains a payload, serial number, and cyclic redundancy check (CRC) bits for error detection. Each packet is mapped into a block consisting of Np / Rn symbols where Rn denotes the rate or number of bits/symbol in mode n, while each frame at the PHY layer contains Nb blocks (depends on the chosen modulation) along with Nc pilot symbols and control bits (i.e., each frame consists of Nf = Nc + Nb Np / Rn symbols).
3. Cross-Layer Combining Of AMC With Truncated ARQ Over Fading Channel
In this section, we discuss our cross-layer design which combines AMC at the PHY layer with an adaptive ARQ at the data link layer for multi-relay two-hop CSI-assisted CAF networks. We also outline the development of our unified expressions (i.e., that involves computing the difference between two “CDF” terms as in (6) in conjunction with closed-form formulas for the MGF of or ) for calculating the APER, average spectral efficiency and outage probability performance metrics. Moreover, extension this to blind relays and cooperative decode-and-forward relay system is quite straight-forward [19].
3.1 Performance Requirement At The PHY Layer
Let us assume that the sum of transmit powers from all cooperating nodes is constant and the range of effective end-to-end SNR (1) is partitioned into T + 1 non-overlapping consecutive intervals with boundary points denoted as. For instance, mode n is chosen whenand the transmission will be ceased (no payload bits will be sent) when to avoid deep channel fades. Remaining task now is to determine the boundary points (switching SNR thresholds) required to attain Ptarget.Since our system uses packets as processing units, we rely on the following exponential-type PER approximation to simplify the AMC design [10], viz.,
3.3. Outage Probability
When the total received SNR falls below the region boundary threshold ( is obtained by substituting and from Table I in (5)), the source node S ceases transmission, because the prescribed target PER cannot be satisfied even with the smallest constellation size. The Probability of such an outage event is given by where the CDF term can be evaluated efficiently using [15], viz.,
This may be attributed to the difficulty in deriving the PDF of fading channel SNR. In our work,we circumvent this difficulty by exploiting the results in [20, Appendix B] to compute the marginal MGF via a Laplace inversion of an auxiliary MGF function, viz.,
Fig. 4 APER (at the PHY layer) performance of both non-cooperative and CAF relay networks for TM1.
Fig. 5 Mean spectral efficiencies of a CAF relay network as a function of Rmax (at fixed Es/No = 20 dB) for TM1 mode.
Figure 6 A comparison between our proposed adaptive Rmax strategy with the traditional fixed Rmax truncated ARQ scheme in a CAF relay network (N = 1) for TM2 mode
Figure 7 Average Spectral Efficiency vs. average SNR consisting of N relays (N= 0, 1, 2) for TM2 mode.
Fig. 7 depicts the mean spectral efficiencies of CAF and non-cooperative (N = 0) networks that employ AMC with TM2 mode. It is evident that adapting N (the number of collaborating relay nodes) to the prevailing channel conditions is an effective strategy to dramatically increase the average spectral efficiency in tactical-edge (low/moderate SNR) environments, while satisfying the prescribed delay and packet loss constraints. Moreover, the average spectral efficiency of CAF relay network is considerably higher than the non-cooperative system at low and moderate SNRs. Although CAF system can utilize the inherent spatial diversity scheme in wireless broadcast transmissions, there is a loss in spectral efficiency due to its half-duplex operation [23-24]. In fact, there is no incentive in using cooperative diversity when the S – D link is good. This observation in turn suggests that we should adapt N to the prevailing channel conditions (i.e.,increasing N as the channel condition deteriorates to provide additional diversity and maximize the average spectral efficiency while satisfying the prescribed delay and packet loss constraints).There exists an optimum N that maximizes the mean spectral efficiency for a specified SNR.Thus, the observations in Figs. 3, 5 and 6, motivated us to study the efficacy of joint-adaptation of[N*, Rmax*] for CAF relay networks with AMC at the PHY layer in Fig 8.
Figure 8 Mean spectral efficiencies of CAF relay networks with/without joint optimization of [N*, Rmax*] in conjunction with AMC TM2 mode.
In Fig. 8, we examine the effectiveness of joint-adaptation of [N*, Rmax*] for CAF relay networks with AMC at the PHY layer. It is important to note compared to our previous results in Fig. 6 these results provide a different perspective on the system analysis, where we considered only adaptive Rmax scheme (which is a single parameter adaptation with fixed number of relays). In this we introduced an interesting approach for maximization of throughput using joint adaptation of two parameters, one with the cooperative diversity order N and second with the adaptive Rmax scheme. The curve corresponding to the “optimal” case is generated using the algorithm highlighted in Section III.F. It is apparent that our anticipated adaptive CAF system (i.e., AMC with adaptive N and Rmax) achieves significantly higher average spectral efficiency than the non cooperative wireless system with AMC only (N = 0, Rmax = 0) particularly at low and moderate values of Es/N0. Besides, the joint-optimization of [N*, Rmax*] not only maximizes the mean spectral efficiency at low mean SNRs, but it is also reduces the average delay experienced with Rmax adaptation alone as in Fig 6. This shows that the optimization of N is very critical on system performance compared to the Rmax.
Figure 9 Average Spectral Efficiency vs. average SNR consisting of 1 relay for TM1 and TM2 mode.
Fig 9 shows the spectral efficiency comparison of AMC TM1 and TM2 modes for a CAF relay network with a single cooperating relay. It is evident that AMC TM2 mode out performs TM1 mode at low and moderate values of ES/N0, which can be attributed to the FEC advantage at the PHY layer (coding gain). However, at high values of ES/N0, an opposite trend is observed. This is because the corresponding modes in TM1 support higher data rates (i.e., the highest rate mode has 7 bits/symbol in TM1 which is much larger than 4.5 bits/symbol in TM2). It is also apparent from Fig. 9 that the relative difference between the spectral efficiency curves is greatest when Rmax is increased from 0 to 1. This shows that joint PHY/MAC design with smaller values of Rmax can achieve sufficient spectral efficiency gain (i.e., it is attractive from a practical stand-point,given that they incur smaller delays and packet buffer requirements) although the optimum Rmax rises exponentially with the decreasing values of ES/N0 (see Fig. 6).
Figure 10. Probability of outage vs. average SNR consisting of N relays (N= 0, 1) for TM1 and TM2 mode.
Fig. 10 depicts the probability of outage (i.e., probability that source node ceases transmission because the prescribed target PER cannot be satisfied) performance curves for link-adaptive non cooperative/CAF relay networks. It is evident that the CAF relay network (N = 1) outperforms the direct transmission case (N = 0) since the former exploits the available “user cooperation”(spatial) diversity gain. Similarly, AMC TM2 mode exhibits better performance than the TM1 mode due to coding gain. A larger Rmax also translates into a lower Pout because of the increased time-diversity order.
5. Conclusions
In this paper we analyzed and examined the efficiency of a join-design of adaptive modulation and coding (AMC) at the physical layer with an adaptive Rmax-truncated selective-repeat automatic repeat request (ARQ) protocol at the data link layer to maximize the throughput of thecooperative non-regenerative relay networks under prescribed delay and/or error performance constraints. In particular, we generalize the existing design/results for cross-layer combining of AMC at physical layer with truncated ARQ at data link layer with non-cooperative diversity systems in three-folds: (i) extension of the existing cross-layer PHY/MAC design with non cooperative model to cooperative diversity model; (ii) generalization/unification of mathematical expressions for various network performance metrics to generalized block fading channels with independent but non-identically distributed (i.n.d) fading statistics among the spatially distributed nodes; (iii) analysis of the effectiveness of joint-adaptation of the maximum retransmission limit Rmax in ARQ protocol and cooperative diversity order N for delay-insensitive applications. Our intuitive numerical outcomes reveal that the average throughput can be increased significantly by judiciously combining two additional degrees of freedom (i.e., cooperative diversity order N and re transmission limit Rmax) that are available in CAF relay networks besides employing AMC atthe PHY layer, particularly in the most challenging practical scenario of low signal-to-noise ratio(SNR) regime.
Acknowledgement
This research work is supported in part by funding from the US Air Force Research Laboratory/Clarkson Aerospace, US Army Research Office and the National Science Foundation.
References
[1] M. Alouini and A. Goldsmith (2000), “Adaptive modulation over Nakagami fading Channel,” Kluwer J. Wireless Commun., vol. 13, no. 1–2 pp. 119–143.
[2] D. L. Goeckel, (1999) “Adaptive Coding for Time-Varying Channels using Outdated Fading Estimates,” IEEE Trans. Commun., vol. 47, pp. 844–855.
[3] A. Goldsmith and S. Chua, (1998) “Adaptive Coded Modulation for Fading Channels,” IEEE Trans. Commun., vol. 46, pp. 595–602.
[4] E. Malkamaki and H. Leib, (2000) “Performance of Truncated type-II hybrid ARQ schemes with Noisy Feedback over Block Fading Channels,” IEEE Trans. Commun., vol. 48, pp. 1477–1487.
[5] Weifeng, Su., Ahmed K. S., & Ray Liu K. J, (2008) “Cooperative Communication Protocols in Wireless Networks: Performance Analysis and Optimum Power Allocation,” Springer link Wireless Personal Communication, vol. 44, pp. 181-217.
[6] T. Nechiporenko, K. Phan, C. Tellambura and H. Nguyen, (2008) “Performance Analysis of Adaptive M-QAM for Rayleigh Fading Cooperative Systems,” Proc. IEEE International Conference on Communication, pp. 3393–3399.
[7] A. Annamalai, B. Modi, and R. Palat, (2011) “Analysis of Amplify-and-Forward Cooperative Relaying with Adaptive Modulation in Nakagami-m Fading Channels,” Proc. IEEE Consumer Communication and Networking Conf., pp. 1116–1117.
[8] B. Modi, A.Annamalai and R.Palat (2011) “An MGF Approach for Performance Evaluation of Non- Regenerative Cooperative Relay Networks with Adaptive Modulation in Nakagami-m Fading Environments,” IEEE Wireless Telecommunications Symposium, pp. 1-6.
[9] Bhuvan Modi and A. Annamalai, (2011) “Improving the Spectral Efficiency of Amplify-and-Forward Cooperative Relay Network with Adaptive M-QAM Modulation,” IEEE 20th International Conference on Computer Communications and Networks, pp. 1-6.
[10] Q. Liu, S. Zhou, and G. Giannakis, (2004) “Cross-Layer Combining of Adaptive Modulation and Coding with Truncated ARQ over Wireless Links,” IEEE Trans. Wireless Comm., vol.3, pp. 1746- 1755.
[11] L. Dai and K. B. Letaief, (2005) “Cross-Layer Design for Combining Cooperative Diversity with Truncated ARQ in Ad-hoc Wireless Networks,” IEEE GLOBECOM Telecomm. Conf., pp. 3179- 3183.
[12] J. Harsini and M. Zorzi, (2011) “Effective Capacity Analysis for Multi-Rate Relay Channels Exploiting Adaptive Cooperative Diversity,” IEEE International Conf., on Comm., pp.1-6.
[13] M. Mardani, J. Harsini, F. Lahouti and B. Eliasi, (2011) “Link Adaptive and QoS Provisioning Cooperative ARQ-Applications to Relay Assisted Land Mobile Satellite Communications,” IEEE Trans. Vehicular Tech., vol. 60 pp. 3192-3206,
[14] F. Shi and D. Yuan, (2008) “Cross-Layer Combination of Cooperative HARQ with AMC in Wireless Ad-hoc Networks,” IEEE international Conf. on Commu. Sys., pp.896-900.
[15] R. C. Palat, A. Annamalai, and J. H. Reed, (2008) “An Efficient Method for Evaluating Information Outage Probability and Ergodic Capacity of OSTBC Systems,” IEEE Comm. Letters, vol. 12, pp. 191-193.
[16] B. Modi, A. Annamalai, O. Olabiyi, and R. Chembil Palat, (2012) “Ergodic Capacity Analyses of Cooperative Amplify and Forward Relay Networks over Rice and Nakagami Fading Channels,” International Journal of Wireless and Mobile Networks, vol4, no. 1, pp. 97-116.
[17] N. Laneman, D. Tse and G. Wornell (2004) “Cooperative Diversity in Wireless Networks: Efficient Protocols and Outage Behaviour,” IEEE Trans. Information Theory, vol. 50, pp. 3062-3080.
[18] M. Hasna and M. Alouini (2004) “Harmonic Mean and End-to-End Performance of Transmission System with Relays,” IEEE Trans. Communications, vol. 52, no.1, pp. 130-135.
[19] O. Olabiyi and A. Annamalai, (2011) “ASER Analysis of Cooperative Non-Regenerative Relay Systems over Generalized Fading Channels” IEEE International Conf. on Comp. Commu. and Networks, pp.1-6.
[20] A. Annamalai, B. Modi, R. Palat and J. Matyjas, (2010) “Tight-Bounds on the Ergodic Capacity of Cooperative Analog Relaying with Adaptive Source Transmission Techniques,” IEEE International Symp. on Personal, Indoor, and Mobile Radio Comm., pp.18-23.
[21] R. Mostafa, A. Annamalai, and H. Reed, (2004) “Performance Evaluation of Cellular Mobile Radio System with Interference Nulling of Dominant Interferers,” IEEE Trans. Commun., vol. 52, pp.326– 335.
[22] S. B. Wicker, (1995) Error Control Systems for Digital Communication and Storage. Englewood Cliffs, NJ: Prentice-Hall.
[23] A. Annamalai, R. Palat, and J. Matyjas (2010) “Estimating Ergodic Capacity of Cooperative Analog Relaying under Different Adaptive Source Transmission Techniques,” Proc. IEEE Sarnoff Symposium, pp.1-5
[24] B. Modi, and A. Annamalai, (2011) “ Improving the Spectral Efficiency of Amplify-and- Forward Cooperative Relay Network with Adaptive M-QAM Modulation,” Proc. IEEE International Conference on Computer Communications and Networks, pp. 1-6.
[25] B. Modi, A. Annamalai, O. Olabiyi and R. Palat, (2013) “Ergodic capacity analysis of cooperative amplify-and-forward relay networks over generalized fading channels”, Wiley Journal of Wireless and Mobile Computing, vol. 15, no. 8, pp.1259-1273.
Authors

Dr. Bhuvan Modi received PhD. degree from Prairie View A & M University, Texas A &M University System, in 2012. He earned his M.S. degree in Electrical Engineering from Lamar University, United States of America, M.S. degree in Electronics and Communication Engineering from Dharmsinh Desai University, India, and the B.S.degree in Electronics and Communication Engineering from North Gujarat University, India, in 2009, 2002 and 2001, respectively. He is currently working as a Senior Member of Technical Staff at AT&T Mobility Lab Seattle, WA. Currently Dr. Modi serves as an editorial committee//International editorial board member for journals and organizations, namely the International Journal of Wireless and Mobile Networks (IJWMN), The Standard International Journals (SIJ), the International Journal of Wireless and Mobile Communication for Industrial Systems, Science & Engineering Research Support Society, and First International Workshop on Wireless and Mobile Communication for Industrial Systems (WMCIS 2015) and has also been invited to serve on the international editorial board committee member for the Journal of Advanced Research in Wireless, Mobile & Telecommunication. He received ‘Student Travel Grant Award’ to present his work at the IEEE MILCOM’11 and achieved excellent work appreciation certificate award from Vice President and CEO, AT&T Mobility Lab for individual contribution towards successfully launch of WiFi Calling Service in the US Market. Over the last few years, Dr. Modi has published over a dozen peer reviewed conference and journal articles. His current research interests include cross-layer design/optimization for adaptive-link cooperative relay networks, 4G/5G Wireless Technologies, Openstack and software-defined radios.

Dr. Oluwatobi Olabiyi received the B.Sc. degree in Electronic and Electrical Engineering from Obafemi Awolowo University, Ile-Ife and M.S. and PhD degrees in Electrical Engineering Prairie View A&M University, Texas. Over the last three years, he hasco-authored approximately two-dozen peer-reviewed conference and journal articles. He was the recipient of the Roy G. Perry College of Engineering Outstanding Masters Student of the Year Award (2011) and the National Society of Black Engineer’s Golden Torch Award for Graduate Student of Year (2012). His research interests include dynamic spectrum access, MIMO, cooperative communications, statistical signal processing, compressive sensing, machine-learning and optimization techniques.