ENHANCING DISTRIBUTED AUTHORIZATION WITH
LAGRANGE INTERPOLATION AND ATTRIBUTEBASED ENCRYPTION
Keshav Sinha 1 , Sumitra 1 , Richa Kumari 1 , Akashdeep Bhardwaj 1 and Shawon Rahman 2
1Centre for Cybersecurity, School of Computer Science, UPES, Dehradun, India, 248007
2 Dept. of Computer Science, University of Hawaii-Hilo, Hilo, HI 96720, USA
ABSTRACT
In today’s security landscape, every user wants to access largeamounts of data with confidentiality and authorization. To maintain confidentiality, various researchers have proposed several techniques; however, to access secure data, researchers use access control lists to grant authentication and provide authorization. The above several steps will increase the server’s computation overhead and response time. To copewith these two problems, we proposedmulti-party execution on the server. In this paper, we introduce two different approaches. The first approach is encryption, utilizing the Involution FunctionBased StreamCipherto encrypt the file data. The second approach is key distribution, using the Shamir secret-sharing scheme to divide and distribute the symmetric key to every user. The decryption process required key reconstruction, which used second-order Lagrange interpolation to reconstruct the secret keys from the hidden points. The process will reduce the server’s computational overhead. The results are evaluated based on the encryption and decryption time, throughput, computational overhead, and security analysis. In the future, the proposed mechanism will be used to share large-scale, secure data within the organization
KEYWORDS
Involution Function, Stream Cipher, Distributed Authorization, Attribute-Based Encryption, LCG, XOR,
Access Control List, Lagrange Interpolation, Shamir’s Secret Sharing
with three primary facets: key management, authorization, and privacy protection. The authors
propose employing symmetric meta-encryption and Shamir’s Secret Sharing for key generation
and distribution [4], with policy modifications dynamically reflected in data confidentiality
updates. Lagrange interpolation is used to reassemble the decryption keys, whereas a lightweight
stream cipher using an involution function is chosen for encryption. The proposal reduces
computation and storage overhead while maintaining strong access control[5][6].This approach
prevents the leakage of private data [6]. The key features of the proposed system are:
The rest of this paper is structured as follows: Section 2 discusses related works; Section 3
describes the proposed system architecture; Section 4 presents results and performance
evaluation; and Section 5 concludes with key findings and future scope.
2.1. Access Control on Encrypted Data
Access control is one of the key factors that determine how safe and private encrypted data is, especially if the data is sensitive and stored or shared in the cloud. Usually, the data are encrypted, and the decryption keys are given only to authorized users. When trust levels among users or systems change, the keys may need to be updated to maintain security.In a conventional symmetric cryptography scenario, data owners primarily use Access Control Lists (ACLs) to categorize files, then encrypt each category with a different key. This guarantees confidentiality; however, keys scale linearly with the number of data groups, so key management becomes twice as complex, and storage capacity doubles [7]. The system’s performance can be improved by using a combined method that implements both symmetric and public-key encryption. Such systems encrypt data with a symmetric key, and then each user’s public key is used to encrypt the symmetric key. This provides a secure one-time distribution of the key and individual decryption rights, but increases computational cost with the number of users [8]. Attribute-Based Encryption (ABE) is a more adaptable solution that grants access based on user attributes rather than fixed identities. ABE is a system in which only users with attributes that satisfy the encryption policy can access the data. There are two types of ABE Key-Policy (KPABE) and Ciphertext-Policy (CP-ABE). CP-ABE is widely used in the cloud; however, its high computational requirements remain a problem [9]. Some studies have also reported the adoption of reputation-based access strategies as a recent topic. One example is Shamir’s Secret Sharing, which provides confidentiality in multi-cloud environments by verifying secret shares using hash signatures [10]. Similarly, Sinha et al. [11] compared ABE models with the DAC-MACS framework, which uses multiple authorities and certificate validation to prevent collusion and enhance key revocation efficiency.
2.2. User Revocation
Revocation is a crucial factor in maintaining well-controlled, safe access in cloud environments. Once the data owner decides to withdraw user access, i.e., members who leave a group or become untrust worthy, the revoked users may still have old decryption keys. To counteract these unauthorized actions, the data owner should re-encrypt the data using new keys and share them with the legitimate users [12]. Nevertheless, the problem of handling such a process arises in Attribute-Based Encryption (ABE), which, in turn, leads to frequent re-encryption and key redistribution, thereby drastically increasing computational overhead and management complexity [13]. It is viable to additionally use a semi-trusted third party to take over the re-encryption work from you. Proxy Re-Encryption (PRE) authorizes a proxy to alter the encrypted data that one user can decrypt so that another user can decrypt the same data, without the proxy learning the plaintext. In the case of ABE integration, PRE supports scalable user and attribute revocation by delegating partial encryption rights to the Cloud Service Provider (CSP). However, it is still necessary that the data owner be present to issue PRE keys, which can delay revocation and pose security risks [14][15][19][20]. We have a model that features a Reputation Center, which represents the data owner in this matter. It actively engages in re-encryption tasks and ensures that revoked users cannot re-access the system. By doing this, only the data encryption key is re-encrypted rather than the whole dataset, thus the computational load on the CSP is very low. This reputation-driven approach not only helps become more efficient but also better manages trust in distributed environments [16].Though some reputation-based schemes have been proposed, most fail to regulate access control based on user credibility strictly. The use of reputation mechanisms in conjunction with appropriate cryptographic schemes may lead to the next innovation in the security and privacy of large-scale cloud systems [17][19].
3. RESEARCH METHODOLOGY
Figure 1 presents the framework for an organizational environment in which data is securely shared among multiple users. The four key participants are (i) Data Owner, (ii) Cloud Storage, (iii) Data User, and (iv) Organization Server [11]. • Data Owner: A registered user who creates files and defines an Access Control List (ACL) for sharing within the organization. The attributes include User_Id (Ui), User_Type (UTi), and User_Credentials (UCi). • Cloud Storage: A semi-trusted platform that stores encrypted data and backup ACLs. It follows access lists to manage authorized data operations. • Data User: A verified user listed in the authorization database. Access is granted through authorization points linked to valid credentials. • Organization Server: Serves as the intermediary for key distribution, encryption, and decryption. It securely stores ACL records, assigns or revokes access, and manages user credentials. The comprehensive process for file encryption, authorization key distribution, and secure file storage is outlined as follows:

Figure 1. Distributed Access Control Scheme Model
Procedures for Distribution of Authorization Keys and Encryption[11] Step 1
The organization server, which is in charge of storing user credentials, is registered with the data owner. Step 2 File submission takes place on the organization’s server. Step 3 A random bit [N1, N2] is generated and then XORed. Step 4 Firstly, the XORed random bit is XORed again with the original file. Then, functional-based encryption is applied to the resulting XOR data. Step 5 By using the Shamir Secret Sharing technique and the file owner’s attributes, the server creates multiparty authorization points. Step 6 The authorization points are encrypted and handed over to the decrypting party.
3.1. System Functionality
This section describes the proposed implementation of the Distributed Authorization Scheme. The prime functions are (i) XOR Operation, (ii) Key Management, and (iii) Access Control Policy.
3.1.1. XOR Operation
The generation of a random bit through the application of the XOR operation using the Linear Congruential Generator (LCG) can be denoted as follows: Rand(•) function, exhibiting a probabilistic nature, produces a fixed random bit [Nk → N1], while the Rep(•) function generates a repeated random string [Nk → N2]. The resulting random bits [N1, N2] are XORed and again XOR with the original message at ΔT time intervals.
3.1.2. Key Management
For safe data encryption and user sharing, the organization’s server uses a hybrid key structure. It maintains symmetric keys that are kept with the ciphertext and connected to file characteristics. Every file in the directory structure has a distinct key through a hierarchical key arrangement.
3.1.3. Access Control Policy
The organization server uses the policy portal and Policy DB to track user access lists for every
file. For proper file-access permissions and the corresponding authorization key, the participant’s
credentials are required.
3.2. Involution Function-Based Stream Cipher -Based File Encryption
The Stream Based on Involution Functions Data files are encrypted on the server using a cipher
before being uploaded to the cloud. It encrypts and decrypts data using deterministic procedures.
An involutory function based on a bijective mapping is used for key building in order to reduce
susceptibility from low-complexity systems. Since the members of sets A and B in this function
are equal, the inverse mapping f: G → G´ satisfies f(AB) = f(B) f(A), indicating that the function
“f” is an anti-homomorphism [11]. The involution function is defined by Eq. 1.
f(x) = X (1)
The reverse is written as Eq. 2.
f (f(x)) = X (2)
The inverse involution function is also known as Anti-involution (or Anti-homomorphism). A
similar mechanism is applied to the encryption process as shown in Eq. 3, where a symmetric key
is used for encryption and decryption, as shown in Eq. 4.
Encryption = 𝐷𝑒𝑛𝑐𝑟𝑦𝑝𝑡𝑒𝑑𝑖 = 𝐸𝑘(𝐷𝑖) (3)
Decryption =𝐷𝑖 = 𝐷𝑘(𝐷𝑒𝑛𝑐𝑟𝑦𝑝𝑡𝑒𝑑𝑖) (4)
Here, Di = data, Ek = encryption key, DK decryption key. The encryption method proposed in this
system utilizes a stream cipher to process input data. The involution function is designed to
operate on data streams. This involution function-based stream cipher is designed to be
compatible with various electronic devices. As previously mentioned, the involution function
possesses a unique property: it can restore the original content when applied again. The proposed
Involution Function-Based Stream Cipher for encryption is defined by Eq. 5.
𝐸𝑛𝑐𝑟𝑦𝑝𝑡𝑖𝑜𝑛 = 𝑓(𝑥) = (𝑎 − 𝑥1𝑛)𝑛(5)
Now, we compute the anti-evolution function f (f(x)), which we get by Eq. 6.
𝐷𝑒𝑐𝑟𝑦𝑝𝑡𝑖𝑜𝑛 = 𝑓(𝑓(𝑥)) = (𝑎 − ((𝑎 − 𝑥1𝑛)𝑛)1𝑛)𝑛= 𝑥 (6)
Here, ‘a and ‘n’ are the variables and ‘x’ is the plaintext, and f(x) is the ciphertext, where a, x ∈I+ To fit the formula with the cryptographic aspect, we set a’ = Secret key and ‘n’ = Randomized
power variable. The key storage is based on the data file, where one key is linked to one file. If
the user changes the file name, it means that the authorization of the file is also changed, as
represented by Eq. 7.
𝐹𝐾𝑖 = (𝑎𝑖⊕𝑥𝑖) (7)
Where ‘𝑎𝑖’ and ‘𝑎′𝑖’are the old and new secret keys, the ‘𝑥𝑖’ is the full name for the file ‘i’. The
next section encrypts the Secret key ‘a’ with the owner’s attributes to provide authorization only
for privileged users.
3.3. CP-ABE-based Multiparty Authorization Key Computation
This section explains the implementation of CP-ABE-based multiparty authorizationkey
generation. Authorization keys are distributed when the data owner shares the ciphertext with
defined access privileges, ensuring only authorized users can decrypt the data [11]. The scheme
applies Shamir’s Secret Sharing for key distribution using a 1-degree Lagrange interpolation
function over the finite field Zp.
3.3.1. Shamir Secret Sharing
It is ideal for the (k, n) threshold scheme, which divides secret key ‘S’ into ‘n’ pieces of data [S1,
S2, …, Sn]. Only if the adversary knows any ‘k’ or more ‘Si’ pieces, can ‘S’ be easily computable
(Liu et al., 2024). The reconstruction of secret ‘S’ is the combination of ‘k’ pieces of the data.
The general formula for the construction of polynomials is represented as Eq. 8.
𝑓(𝑥) = 𝑎0 + 𝑎1𝑥 + 𝑎2𝑥2 + ⋯ + 𝑎𝑘−1𝑥𝑘+1
Here, a0 = secret key, and user attributes token ∈ {a1, a2, …, ak-1}. The key distribution is present
as points, where n users on the server have privileged access policies. The server creates the user
attribute tokens sets [i = (1, 2, 3, …, n )] to retrieve [i, f(i)]. Now, every user has given the points
(a non-zero integer input to the polynomial). For every given subset of ‘k’, we can obtain the ‘a0’
using the 2-degree Lagrange interpolation. The secret key construction function is defined over
the finite field Zp, given by Eq. 9.
G(X) = (𝑎0 + 𝑎1𝑋 + 𝑎2𝑋2) mod p (9)
Algorithm 1: Key Distribution
01: Start
02: DX = number of privileged users
03: Point generation from polynomials: DX-1 = (X, G(X))
04: Point calculation:
05: Y = (G(X))
06: DX-1 = (X, Y), where [X = 1, 2, …, DX]
07: End
Now, single-point sharing is performed for each participant (x, G(x)). Here, the points start from
(1, G(1)) and not from (0, G(0)) because G(0) consists of secret key information. The distribution
of xi’s key is only to privileged users and is simplified by the Distributor and Aggregator. The
points are present in the hash formed (0, KCi). KCi is the file binding code of ‘xi’, calculated
using Eq. 10.
KCI = (𝑆𝑒𝑐𝐾𝑖, f(x)) mod p
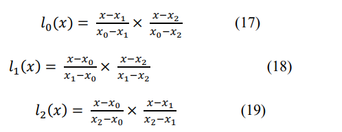
The interpolation function of file ‘xi’must pass at least three points to generate the equation. The
Lagrange basis polynomials are used to generate the points, and the formulation is given asEq. 11:
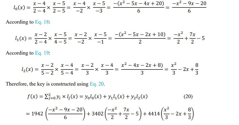
𝑙𝑗(𝑥) = ∏𝑥−𝑥𝑚𝑥𝑗−𝑥𝑚0<𝑚≤𝑘𝑚≠𝑗(11)
The system assumption is that no two points ‘xj’are the same, (m ≠ j) and (𝑥𝑗 − 𝑥𝑚) ≠ 0. Consider
an n-user on the server with the privileged access policy, the users having the instances set (i = 1,
2, 3, …, n). Eq. 8 is used to distribute the key between different users. All users have given the
points (a non-zero integer input polynomial). Now, for every given subset of decryption key ‘k’,
we can obtain ‘a0’ using the interpolation.
3.3.2. Key Generation with Parabolic Equation
The organization server generates multiparty authorization points by applying the Shamir Secret
Sharing technique to the file owner’s attributes. Suppose our secret key ‘k = 1234’. We define the
equation for the distribution of the key. Here, we use the parabolic equation to construct the
distribution. It is defined asEq. 12:
F(x) = 𝑎0 + 𝑎1𝑋 + 𝑎2𝑋2(12)
Here, ‘a1’ and ‘a2’ are the attributes of the owner, and ‘a0’ is the secret key. NowEq. 13 represents
the symmetric key and user attributes.
F(X) = 94X2 + 166X + 1234 (13)
Then, the Number of Privileged Users (DX) = 6, and DX-1 = (X, F(X)) from the polynomial.
Y = F(X) = 1234 + 166X + 94X2(14)
DX-1 = (X, Y) where X = 1, 2, 3, 4, 5, and 6
Now, solve Eq. 14 using Eq. 15, and the value of ‘D0’ is presented in Table 1.
Table 1. Each Participant’s Single Points
Now, we give each participant their share of the authorization key (X, F(X)). Here, DX-1 instead of DX is shared with the participant because points start from (1, F(1)), not from (0, F(0)) ,because F(0) is the secret key value. The organization server maintains the DB policy based on the participant decryption points.
3.4. Authorization Key Reconstruction
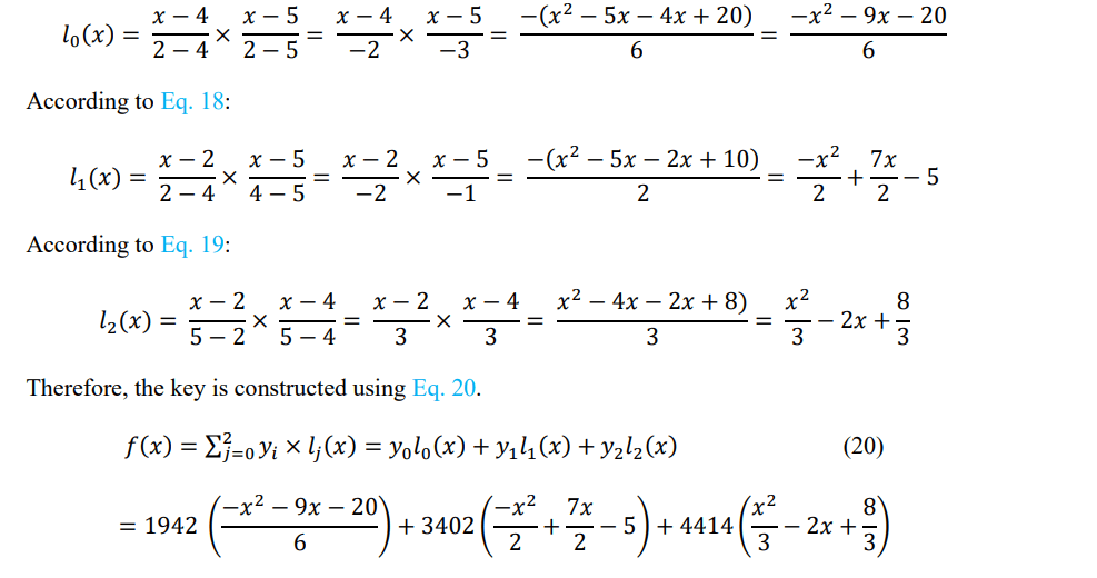
The key reconstruction is performed on the organization server. The key reconstruction requires a minimum of three points: (i) Organization Server Point, (ii) Owner point, and (iii) Receiver point to generate the parabolic equation[11]. The organization server does not store the owner points and contributions of all parties in the proposed scheme to mitigate Denial-of-Service (DoS) attacks. The decrypted points (X, F(X)) are used for the interpolation. Let us consider F(X1, Y1) = Organization server point, F(X3, Y3) = Owner point, and F(X4, Y4) = Receiver Point, and the respective values are (2, 1942), (4, 3402), and (5, 4414) for the key reconstruction. The Lagrange basic polynomial is represented as Eq. 16
𝑙𝑗(𝑥) = ∏𝑥−𝑥𝑚𝑥𝑗−𝑥𝑚0<𝑚≤𝑘 𝑚≠𝑗 =>𝑥−𝑥0𝑥𝑗−𝑥0…𝑥−𝑥𝑗−1𝑥𝑗−𝑥𝑗−1×𝑥−𝑥𝑗−1𝑥𝑗−𝑥𝑗+1…𝑥−𝑥𝑘𝑥𝑗−𝑥𝑘
Where 0 ≤ j ≤ k, the assumption is that there are no two xj are the same, where (m ≠ j) and (xj – xm)≠ 0. Now,
Now, calculate the 𝑙0 (𝑥), 𝑙1(𝑥), and 𝑙2(𝑥) for the reconstruction of the parabolic equation and
retrieval of the secret key. According to Eq. 17:

After solving the above Eq. 20, we get the parabolic equation:
F(X) = 94X2 + 166X + 1234
Here, we can see that the Secret key = ‘1234’ is received using the Lagrange interpolation using
three different points. The secret key is used for the Involution functional-based Decryption of
Multimedia File. Finally, the complete algorithm is analyzed in terms of time complexity.
Algorithm 2: Encryption process
Function LCG(seed, a, c, m, count):
random_bits = []
current_seed = seed
for i from 1 to count:
current_seed = (a× current_seed + c) % m
random_bits.append(current_seed % 2)
return random_bits
Function XOR(data1, data2):
result = []
for I from 0 to min(length(data1), length(data2)) – 1:
result.append((data1[i] + data2[i]) % 2)
return result
Function InvolutionCipher(data, secret_key, n):
encrypted_data = []
for a bit of data:
encrypted_bit = (secret_key – bit(1/n))n
encrypted_data. Append(encrypted_bit)
return encrypted_data
Function EncryptData(original_data, seed, a_lcg, c_lcg, m_lcg, count_lcg, secret_key, n):
random_bits = LCG(seed, a_lcg, c_lcg, m_lcg, count_lcg)
xored _data = XOR(original_data, random_bits)
encrypted_data = InvolutionCipher(xored_data, secret_key, n)
Output(encrypted_data)
Algorithm 3: Authorization and Key Distribution
Function KeyDistribution(seed, a, c, m, n):
Output(encrypted_data)
current_seed ⟵ encrypted_data
Function ShamirSecretSharing(secret_key, k, n):
coefficients ⟵ RandomCoefficients(secret_key, k – 1)
shares ⟵ []
for ⟵ 1 ton:
xi ⟵ i
yi ⟵ EvaluatePolynomial(coefficients, xi)
shares. Append((xi,yi))
return shares
Function InterpolationFunction(shares):
result ⟵ 0
for j ⟵ 0 to k – 1:
term ⟵ shares[j].y
form ⟵ 0 to k – 1:
if m ≠ j:
term *= (x – shares[m].x) / (shares[j].x – shares[m].x)
result += term
return result
Function GenerateParabolicEquation(owner_attributes, secret_key):
a0 ⟵ secret_key
a1 ⟵ owner_attributes[0]
a2 ⟵ owner_attributes[1]
return (a0, a1, a2)
Function AuthorizationKeyReconstruction(owner_point, receiver_point, server_point):
k ⟵ 3 // Minimum of three points required for reconstruction
owner_attributes ⟵ [owner_pointx,InterpolationFunction([owner_point, receiver_point,
server_point])]
parabolic_equation ⟵ GenerateParabolicEquation(owner_attributes, server_point.y)
reconstructed_key ⟵ SolveParabolicEquation(parabolic_equation)
return reconstructedkey
// Main Multiparty Authorization Key Generation
Function EncryptData(data, authorization_key):
encrypted_data ⟵ ApplyEncryptionAlgorithm(data, authorization_key)
Output(encrypted_data)
Function MultipartyAuthorizationKeyGeneration():
// Parameters
seed, a, c, m ⟵ InitializeParameters()
n ⟵ NumberofParticipants()
// Key Distribution
KeyDistribution(seed, a, c, m, n)
//Shamir’s Secret Sharing
shares ⟵ ShamirSecretSharing(secret_key, k, n)
// Interpolation Function
interpolation_result ⟵ InterpolationFunction(shares)
// Parabolic Equation for Key Generation
parabolic_equation ⟵ GenerateParabolicEquation(owner_attributes, secret_key)
// Authorization Key Reconstruction
reconstructed_key ⟵ AuthorizationKeyReconstruction(owner_point, receiver_point,
server_point)
// Encryption Process
EncryptData(original_data, reconstructed_key)
Table 1. Each Participant’s Single Points
The overall time complexity of the encryption process is expressed as O(count_lcg + n), and
authorization and key sharing is O(n + nk + k2 + 1). Here, the analysis considers the dominant
factors and provides a high-level estimation. The specific constant factors and lower-order terms
are not included in this Big O notation.
4. EXPERIMENTAL RESULTS AND DISCUSSION
The simulation was performed on the Windows 8.1 platform using Eclipse Indigo version 12.1. The hardware setup consisted of an Intel Core i5 processor clocked at 1.70 GHz, a single-core processor, and 4 GB of RAM running on a 64-bit operating system. Performance evaluation of multimedia files included metrics such as execution time, CPU utilization, and memory consumption. The random bitis generated using Linear Congruential Generator (LCG), and the initial parameters are as follows: Rand(•) = N1 = (X0 = 9741, a = 1674, c = 1234, and m = 231) and Rep(•) = N2 = (X0 = 9123, a = 1324, c = 2234, and m = 432). The random sequence was comprehensively generated in matrix format according to the file size, and the simulated outcomes were evaluated and analyzed.
Figure 2. Random bit and XOR operation
Figure 2 illustrates how random bits are generated using a Linear Congruential Generator (LCG). The produced bits, [N1, N2], are periodically combined using XOR at intervals marked as ΔT. This XOR operation merges corresponding bits to makea new pixel density, which is then XORed with the original file. This process improves security in accordance with NIST standards and produces cryptographically secure random bits.
4.1. Text Encryption
To effectively handle big files and high-redundancy data, the suggested encryption technique
uses an Involution Function-Based Stream Cipher. With optimal encryption speed, decryption
time, file size, and throughput, it supports selective encryption. Randomly produced text files (5–
30 KB) from https://www.lipsum.com/ were used for the experiments. (Sinha and others, 2020
[18]). Using the involution-based model, the system encrypts plain.txt files into ciphertext and
compares its performance to that of the AES, DES, RSA, and Blowfish algorithms. To identify
the most effective and secure method, metrics including file size, processing time, and throughput
are examined.
Figure 3. Text Encryption and Decryption
The original text file is displayed in Figure 3(a), and the XOR random bit is shown in Figure 3(b)
after being XORed with the original 5KB text file. Figure 3(c) illustrates the application ofinvolution functional-based encryption, in which all bits are merged to create the encrypted stream cipher.
Table 3. Comparison of ciphertext with given plaintext size
Table 3 presents a comparison of text files based on their size (in KB) using different encryption algorithms such as Blowfish, AES, DES, and RSA. The evaluation focuses on two important factors: (i) the size increase of the ciphertext and (ii) the encryption time. The suggested Involution Functional-Based Encryption outperforms conventional methods, resulting in fewer ciphertexts and lower storage needs, according to the results. This indicates that it is a good option for lightweight encryption applications because of its efficacy and efficiency in safe data storage.
Figure 4. Comparison of encryption time (sec) for different algorithms
As shown in Figure 4, the second evaluation compares Blowfish, AES, DES, RSA, and the
suggested Involution Functional-Based Encryption, with emphasis on encryption time. The
suggested method achieves the fastest encryption since the involution function lowers computing
complexity, whereas RSA takes longer because of the public-private key generation. Throughput,
or the transmission rate of correctly encrypted data sent to distributed storage, is the third
performance metric. Higher throughput values, as defined by Eq. 21, indicate improved
encryption efficiency in the proposed paradigm.
Throughput = (Plaintext size)/(Encryption Time)
Table 4. Throughput calculation for text file
Table 4 displays the throughput calculations for different algorithms on text files (.txt). The throughputs for Blowfish, AES, DES, and RSA are 159.6, 126.8, 33.32, and 74.61 kb/sec, respectively [10]. Meanwhile, the proposed Involution functional-based encryption achieves a throughput of 157.11 kb/sec. These findings indicate that DES achieves the highest throughput among all traditional algorithms. In contrast, the proposed algorithm performs comparatively better than conventional techniques in terms of security[20].
4.2. Security and Performance Evaluation
In the distributed environment, the Cloud Service Provider (CSP) is considered semi-trusted; it
follows protocols but may act for its own benefit. In contrast, the proposed system ensures trust
and resilience against potential adversaries. Sensitive data resides in the cloud, while access lists
are mirrored on both the organization server and the cloud. Data consumers are treated as
untrusted, whereas data owners are assumed to act honestly. Although the model’s strong
security measures may slightly affect performance, they significantly enhance overall system
reliability and robustness[20].
4.2.1. Attribute-based Computational Overhead
The test is constructed based on the number of attributes used for key construction.
Figure 5.. Encryption Time
Figure 5 represents the encryption time of the file with multiple attributes. The results show that
the number of attributes in the access policy increases the time of encryption linearly.
Figure 6.. Decryption Time
In Figure 6, we present an analysis of the costs of decryption. The computation includes expenses associated with symmetric encryption and the distribution of authorization keys. It is important to note that when the access control module is located within the organization’s storage and the backup is accessible on a cloud server, the complete attribute set is managed by multiple authorities in a collaborative effort. The cost of encryption and decryption increases linearly with the number of attributes, but execution time remains reasonable even with 20 attributes, indicating a relatively complex access policy.
4.2.2. Storage Overhead
In distributed, resource-constrained computing environments such as cloud platforms, edge
computing, and Internet of Things-based architectures, storage overhead is a key performance
metric for cryptographic access control systems. The storage needs imposed by the suggested
access control model are assessed and contrasted with two benchmark schemes —DAC-MACS
[12] and Sinha et al. [11] —in this section. The amount of cryptographic data that must be
permanently stored at the user-side and the organization’s server-side is the primary focus of the
analysis.
The organization server keeps metadata for access policy enforcement, key reconstruction, and
authorization tracking. At the same time, users are usually required to hold identity-based
credentials and attribute-specific decryption keys in secure access control frameworks. The
quantity and size of these components all directly impact system performance, scalability, and
deployment viability. Table 5 presentsa detailed comparison of the storage overhead with various
models.
Table 5.. Storage Overhead Comparison
DAC-MACS [12] imposes overhead proportional to the number of attributes from the attribute
authority. Each user stores (𝑛𝐴𝐴+3) elements of size|𝑝|, including versioning metadata, identity
bindings, and key elements. Sinha et al. [11] reduce the number of elements stored to (𝑚+1), but
each element is a pairing-based component of size |Pi|, making them heavier in memory usage.
The Proposed Model stores only (𝑛+1) lightweight components of size |P|, where n is the number
of attributes owned by the user. The model omits versioning and identity-bound key structures,
significantly reducing the overall user-side memory load.
The suggested method is especially appropriate for mobile users and lightweight clients because
of this optimization. Because of the intricacy of attribute versioning, key tracking, and policy
mappings, DAC-MACS [12] requires the organization server to hold (3𝑡𝑐+3) items of size |p|.
High cumulative memory costs emerge from Sinha et al. [11] requiring the server to maintain
(𝐾𝑐+1) pairing-based components per user, where each |Pi| is much larger than |P|. In contrast,
the Proposed Model introduces an efficient design by storing only (𝑡𝑐+1) small-sized elements.
During the critical reconstruction stage, these authorization points are utilized. The related secret
key can be discarded once the key has been rebuilt and safely distributed, providing additional
storage relief. By reducing both the number and size of cryptographic elements stored for users
and the organization’s server, the system is especially suitable for real-world deployment in
resource-constrained, large-scale access control environments.
4.2.3. Security Analysis
The security framework detailed in the preceding section is subject to a comprehensive analysis, elucidated through the following theorems: Theorem 1: Resilience Ensured by the Assumption of Decisional q-Parallel BDHE Understanding the security basis of our access control system is crucial. It relies on the decisional q-parallel BDHE assumption, which posits that adversaries cannot distinguish outputs of bilinear Diffie-Hellman exponentiation from random group elements. Proof:After reconstructing the user’s key on the organization’s server, its structure meets the defined security framework. Confidentiality under chosen-plaintext attacks is ensured through a simulator based on the q-parallel BDHE assumption. Since solving the BDHE problem is computationally infeasible, attackers gain no advantage, confirming the system’s security. Theorem 2:Establish that the attribute key shares in our proposed system are sufficient Key reconstruction requires three points: the Organization Server, Owner, and Receiver, which together generate the necessary parabolic equations. An adversary possessing fewer than j shares of a secret attribute key for any attribute obtains no meaningful information. Proof: The system relies on three key points: Organization Server, Owner, and Receiver. Let Pi denote the probability that an adversary correctly guesses a secret attribute key with i shares. The Owner Point serves to verify the secret and prevent unauthorized access. According to Theorem 2, security holds if the attribute set meets the encryption policy and the data owner authorizes access with enough attribute key shares.
Theorem 3: Resistance to Collusion Attacks
The proposed system prevents collusion attacks by assigning each user a unique combination of User_Id (Ui), User_Type (UTi), and User_Credentials (UCi), embedded within a parabolic equation linked to secret keys. Access to encrypted data requires both the Organization Server Point and the Owner Point, allowing only one receiver at a time. This design ensures that multiple users cannot combine credentials to decrypt the ciphertext, effectively blocking unauthorized access.
Proof:Every data consumer gets a distinct group of credentials: User_Id (Ui), User_Type (UTi), and User_Credentials (UCi), which are combined in a parabolic equation by Involution FunctionBased Encryption. The access requires a conjunction of the Organization Server Point and the Owner Point. Hence, only one receiver can decrypt data at a time. This method mathematically forbids the simultaneous decryption of data by multiple users and, therefore, is very effective at protecting against collusion attacks and unauthorized access.
CONFLICT OF INTEREST
The authors declare no conflict of interest
REFERENCES
[1] M. El Moudni and E. Ziyati, “Advances and Challenges in Cloud Data Storage Security: A
Systematic Review,” International Journal of Safety and Security Engineering, vol. 15, no. 4, pp.
653–675, Apr. 2025, doi: 10.18280/ijsse.150403.
[2] K. N. Mishra, R. K. Lal, P. N. Barwal, and A. Mishra, “Advancing Data Privacy in Cloud Storage:
A Novel Multi-Layer Encoding Framework,” Applied Sciences, vol. 15, no. 13, p. 7485, Jul. 2025,
doi: 10.3390/app15137485.
[3] Yang, G., Li, P., Xiao, K., He, Y., Xu, G., Wang, C., & Chen, X. (2023). An Efficient AttributeBased Encryption Scheme with Data Security Classification in the Multi-Cloud Environment.
Electronics, 12(20), 4237. https://doi.org/10.3390/electronics12204237
[4] Ma, J., Wang, M., Xiong, J., & Hu, Y. (2021). CP-ABE-Based Secure and Verifiable Data Deletion
in Cloud. Security and Communication Networks, 2021, 1–14.
https://doi.org/10.1155/2021/8855341
[5] Edemacu, K., Jang, B., & Kim, J. W. (2021). CESCR: CP-ABE for efficient and secure sharing of
data in collaborative ehealth with revocation and no dummy attribute. PLOS ONE, 16(5), e0250992.
https://doi.org/10.1371/journal.pone.0250992
[6] Li, S., Huang, G., Xu, X., & Lu, H. (2022). Query-based black-box attack against medical image
segmentation model. Future Generation Computer Systems, 133, 331–337.
https://doi.org/10.1016/j.future.2022.03.008
[7] Xie, B., Zhou, Y.-P., Yi, X.-Y., & Wang, C.-Y. (2023). An Improved Multi-Authority Attribute
Access Control Scheme Base on Blockchain and Elliptic Curve for Efficient and Secure Data
Sharing. Electronics, 12(7), 1691. https://doi.org/10.3390/electronics12071691
[8] Singh, P., & Tyagi, G. (2024). A New Hybrid Approach For Key And Data Exchange In Cloud
Computing. Educational Administration Theory and Practices.
https://doi.org/10.53555/kuey.v30i5.4989
[9] Rasori, M., Manna, M. L., Perazzo, P., & Dini, G. (2022). A Survey on Attribute-Based Encryption
Schemes Suitable for the Internet of Things. IEEE Internet of Things Journal, 9(11), 8269–8290.
https://doi.org/10.1109/jiot.2022.3154039
[10] Yuan, K., Cheng, Z., Chen, K., Wang, B., Sun, J., Zhou, S., & Jia, C. (2024). Multiple time servers
timed-release encryption based on Shamir secret sharing for EHR cloud system. Journal of Cloud
Computing, 13(1). https://doi.org/10.1186/s13677-024-00676-y
[11] Sinha, K., Aldosary, S., Aly, M. H., & El-Shafai, W. (2025). Enhancing Cloud Data Security
Through Functional-Based Stream Cipher and Attribute-Based Access Control with Multiparty
Authorization. Traitement Du Signal, 42(2), 915–931. https://doi.org/10.18280/ts.420227
[12] Yang, K., Jia, X., Ren, K., Zhang, B., & Xie, R. (2013). DAC-MACS: Effective Data Access
Control for Multiauthority Cloud Storage Systems. IEEE Transactions on Information Forensics and
Security, 8(11), 1790–1801. https://doi.org/10.1109/tifs.2013.2279531
[13] Ezhil Arasi, V., Indra Gandhi, K., & Kulothungan, K. (2022). Auditable attribute-based data access
control using blockchain in cloud storage. The Journal of Supercomputing, 78(8), 10772–10798.
https://doi.org/10.1007/s11227-021-04293-3
[14] Huang, M., Liu, Y., Yang, B., Zhao, Y., & Zhang, M. (2024). Efficient Revocable Attribute-Based
Encryption with Data Integrity and Key Escrow-Free. Information, 15(1), 32.
https://doi.org/10.3390/info15010032
[15] Zhang, Q., Fu, Y., Cui, J., He, D., & Zhong, H. (2024). Efficient Fine-Grained Data Sharing Based
on Proxy Re-Encryption in IIoT. IEEE Transactions on Dependable and Secure Computing, 21(6),
5797–5809. https://doi.org/10.1109/tdsc.2024.3386690
[16] Hu, H., Jin, H., & Lin, C. (2025). Identity-Based Broadcast Proxy Re-Encryption with Dynamic
Functionality for Flexible Data Sharing in Cloud Environments. Symmetry, 17(7), 1008.
https://doi.org/10.3390/sym17071008
[17] Nie, S., Ren, J., Wu, R., Han, P., Han, Z., & Wan, W. (2025). Zero-Trust Access Control
Mechanism Based on Blockchain and Inner-Product Encryption in the Internet of Things in a 6G
Environment. Sensors, 25(2), 550. https://doi.org/10.3390/s25020550
[18] Sinha, K., Priya, A., & Paul, P. (2020). K-RSA: Secure data storage technique for multimedia in
cloud data server. Journal of Intelligent & Fuzzy Systems, 39(3), 3297–3314.
https://doi.org/10.3233/jifs-191687
[19] A. Bhardwaj and S. Rahman, “Unique Art of Hiding and Recovering Secret Information from
Digital Files,” in 2025 8th International Conference on Information and Computer Technologies
(ICICT), Hawaii-Hilo, HI, USA, 2025, pp. 204-211, doi: 10.1109/ICICT64582.2025.00038.
[20] Bhardwaj, Akashdeep; Kumar, Naresh and Rahman, Shawon S. M., “Unveiling Advanced
Persistence Techniques Through Application Shimming and Countermeasures”, International
Journal of Computer Networks & Communications (IJCNC), Vol.15, No.6, November 2023, DOI: https://doi.org/10.5121/ijcnc.2023.15604
AUTHORS

Dr. Keshav Sinha is an Assistant professor specializing in cryptography and network security, with research focused on developing secure environments for multimedia transmission. His contributions extend beyond cryptography into Soft Computing, Humanities, and cyber policy, emphasizing innovation and flexibility in computer science. With a strong academic background and numerous publications in reputable conferences and journals, he has established himself as a dedicated researcher and educator. His expertise in cryptography and cybersecurity, coupled with his interdisciplinary approach, has positioned him as a thought leader in the field. His work in emerging security frameworks, regulatory challenges, and AI-driven cryptographic advancements continues to shape the future of digital security.

Dr. Sumitra is an Assistant Professor at UPES, Dehradun, India. She earned her Ph.D. from the Birla Institute of Technology and Science (BITS) Pilani, Pilani Campus. Her research primarily focuses on IoT security, artificial intelligence and machine learning (AI/ML), and federated learning. Dr. Sumitra has contributed extensively to the field through publications in reputed international journals, including the Journal of Network and Computer Applications and Internet of Things. Her research excellence was recognized with the Outstanding Research Article Award at the Doctoral Colloquium, BITS Pilani, for her work titled “RPL: An Explainable AI-based Routing Protocol for the Internet of Mobile Things.”

Dr. Richa Kumari is serving as an Assistant Professor at UPES, Uttarakhand. She holds a Ph.D. in Computer Science and Engineering from MNIT Jaipur. Her research expertise spans Device-to-Device (D2D) communication, federated learning, wireless networking, IoT, and resource allocation in B5G networks. She has published extensively in reputable venues and has qualified for both the GATE and the UGCNET. Earlier, she worked as a Junior Research Fellow in a DST Rajasthan-funded project. She also served as Faculty at IIIT Kota and the Government Women’s Engineering College, Ajmer. Additionally, she gained teaching experience as a Teaching Assistant at MNIT Jaipur during her PhD. She has actively contributed as a reviewer for various conferences and research forums.

Dr. Akashdeep Bhardwaj is a Professor and Head of the Cybersecurity Center of Excellence at UPES, Dehradun, India and CEO for Global Cybersecurity Association (GCA). An eminent IT Industry expert in Cybersecurity, Digital Forensics, and IT Operations, Dr. Akashdeep mentors graduate, master’s, and doctoral students and leads several projects. Dr. Akashdeep is a Postdoctoral Fellow from Majmaah
University, Saudi Arabia, with a Ph.D. in Computer Science, a Postgraduate Diploma in Management (equivalent to an MBA), and an Engineering Degree in Computer Science. Dr. Akashdeep has published 180 research works (including copyrights, patents, papers, authored
& edited books) in international journals.

Dr. Shawon Rahman is a tenured professor of Computer Science and Engineering at the University of Hawaii-Hilo, a Faculty Applied Clean Energy Sciences (FACES) Fellow at the National Renewable Energy Laboratory, and an adjunct faculty member at the University of Missouri–Kansas City. With more than 19 years of teaching experience, he has chaired and supervised numerous Ph.D. dissertations. Dr. Rahman
has secured and managed several federal, state, and foundation grants, including those from NSF, USDA, and DOE. His research spans Cybersecurity, Digital Forensics, Cloud Computing, and STEM outreach. A senior member of IEEE, he has published over 140 peerreviewed papers and actively serves on editorial boards, professional committees, and national review panels.