International Journal of Computer Networks & Communications (IJCNC)

AIRCC PUBLISHING CORPORATION

IJCNC 05

ENERGY EFFICIENT VIRTUAL MIMO COMMUNICATION DESIGNED FOR CLUSTER BASED ON COOPERATIVE WSN USING OLEACH PROTOCOL

Shitiz Upreti , Mahaveer Singh Naruka
Department of Engineering and Technology, Maharishi University of Information
Technology (MUIT), Lucknow (U.P), India

ABSTRACT

Wireless sensor networks (WSNs) use a vast number of sensor nodes to monitor physical states. The restricted energy supplies of sensor nodes is a significant issue in wireless communication systems. Virtual MIMO (vMIMO) is an implementation that can potentially optimize the energy efficiency in WSNs by sending or receiving data from a large number of nodes, improving the signal quality, and minimizing power. This research presents Energy-Efficient Virtual MIMO Communication (EE-VMC), a new solution to Wireless Sensor Networks’ (WSNs) energy efficiency problem. EE-VMC provides a practicable solution to long-term cooperative cluster-based WSN deployments with communication via virtual Multiple-Input Multiple-Output (MIMO).In order to spread energy efficiency through effective communication and reduced energy use, the proposed approach uses an enhanced LEACH (OLEACH) protocol. The OLEACH method performs well for wireless sensor networks, according to simulation data. At a level of -10dB of SNR, OLEACH provides the best Packet Delivery Ratio (PDR), which demonstrates improved performance in low signal-to-noise ratio. Increasing antennas enhances the performance of data delivery of OLEACH.
Compared to cutting-edge protocols (LEACH, HEED, BRICH, and B-LEACH), OLEACH consistently outperforms them as far as PDR, SNR values, and rounds of data transfer are concerned. Furthermore, OLEACH has greater residual energy levels, a sign of enhanced energy management and enhanced network lifetime. The conclusions are supported by the results to further ascertain that OLEACH is a prospective algorithm for optimizing energy usage, enhancing packet delivery, and enhancing general
performance of networks within wireless sensor networks.

KEYWORDS

Virtual MIMO, Clustering, LEACH, Optimization, Energy-Efficient

1.INTRODUCTION

WSNs, or wireless sensor networks, are used in many different applications to monitor physical conditions. Sensor nodes collect information and send it to a central processing unit. The nodes establish a network throughout a certain area. Energy efficiency is a problem because of limited node resources [1]-[4]. Multiple-Input to improve their operation, several-Output (MIMO) technology uses several antennas at both the transmitter and the receiver. Simple MIMO makes possible simultaneous transmission of several data streams over a shared frequency band [5][6][7]. Straightforward MIMO technology has advantages such as increased data rates, greater reliability, and increased spectral efficiency by exploiting multipath propagation and spatial diversity. Straightforward MIMO technology likewise has disadvantages in the form of increased implementation complexity, increased requirements for power consumption, and the need for accurate Channel State Information (CSI) estimation [8].Fig 1 illustrates the difference between simple and virtual MIMO. Virtual MIMO, or Distributed MIMO or Cooperative MIMO, is a solution to the issues of simple MIMO. It utilizes cooperative nodes’ spatial diversity in a network to achieve MIMO communications benefits without employing physically separate
antennas at each node. The advantages of energy efficiency, scalability through clustering, and increased network capacity are the key drivers towards Virtual MIMO adoption in WSNs. Without the necessity of having several physical antennas at sensor nodes, virtual MIMO helps save energy. The clustering-based method enables scalability through a huge number of nodes with effective communication [9][10]. Moreover, Virtual MIMO enhances network capacity and throughput through the application of cooperative nodes’ spatial diversity to transmit several data streams in parallel within a cluster. For the purpose of improving energy efficiency for WSNs, the EE-VMC method applies Virtual MIMO communication. Traditional MIMO is not applicable to low-resource sensor nodes, whereas Virtual MIMO applies cooperating nodes in clusters. The cluster head acts as a virtual antenna array through the clustering with a cluster head and member nodes, allowing for simultaneous transmission of multiple data streams and increasing network capacity [11][12]. Virtual MIMO improves energy efficiency, network capacity, reliability, scalability, decreased hardware complexity, and cooperative data fusion in cluster-based Cooperative Wireless Sensor Networks (WSNs). [13][14]. It saves energy, supports higher data rates, improves link quality, is able to cope with the dynamic nature of the network, lowers node hardware complexity, and supports efficient data fusion. Because of these benefits, Virtual MIMO is a prospective communication method for cluster-based Cooperative WSNs to improve their performance and applications in numerous fields. Thus, the authors worked towards designing an Energy-Efficient Virtual MIMO Communication (EE-VMC) as a technique to solve the issue of energy efficiency in wireless sensor networks (WSNs). Through virtualized Multiple Input Multiple-Output (MIMO) communication, this technique makes cluster-based collaborative workstations energy efficient. EE-VMC also employs an optimized LEACH (OLEACH) protocol that facilitates efficient communication and minimizes energy consumption. OLEACH performance over EE-VMC with varied antennas, SNR and packet size was considered in this research and proves efficient compared to present models. The rest of the paper is divided into: Works of related researchers are discussed in Section 2, and the proposed technique and algorithm are described in section 3.The proposed model’s results are discussed in Section 3, and conclusion and recommendation for further study are given in section 5.


Figure 1. .Simple MIMO versus Virtual MIMO

In this study, an energy-efficient virtual MIMO communication model is suggested to be developed for cluster-based cooperative WSNs using the design of an optimized LEACH (OLEACH) protocol that extends lifespan of networks & lowers energy use. It compares how well OLEACH performs in terms of Signal-to-Noise Rate (SNR), Packet Delivery Ratio (PDR), and energy consumption with recent protocols such as LEACH, HEED, BRICH, and B-LEACH. Furthermore, It looks into how different packet sizes and antenna counts affect network performance. For even greater energy economy and dependable data transfer, the research also proposes an MPPSO-based cluster-head selection method for further optimizing routing
effectiveness and extending the network’s life.

2.LITERATURE REVIEW

Over the past few years, some energy-efficient clustering and routing schemes have been proposed as a method to enhance network lifetime and power consumption in Wireless Sensor Networks (WSNs). Among them, MIMO-based methods have been of significant interest due to their ability to enhance spectral efficiency and decrease transmission power requirements. Baniata et al. [15]introduced the MIMO-HC protocol, which was specifically designed to improve energy efficiency in IoT applications. By optimizing cooperative MIMO transmission among sensor nodes, the protocol successfully extended network lifetime. However, while MIMO-HC enhances energy utilization, it does not dynamically optimize cluster-head selection, leading to suboptimal energy distribution in large-scale networks. To further improve network longevity and connectivity, Dogra et al. [16] developed the Enhanced Smart Energy Efficient Routing Protocol (ESEERP). The protocol demonstrated significant improvements, achieving 3500 rounds of network operation with enhanced data transmission rates and packet delivery ratio (PDR). Despite these advantages, ESEERP lacks adaptability to varying SNR conditions, making it less effective in environments with high interference. For Underwater Sensor Networks (UWSNs), Martin et al. [17] proposed the Energy-Efficient Multi-hop Dynamic Cluster Head Selection Routing Protocol (EE-MDCHSRP), which optimized routing performance by reducing power consumption, increasing throughput, and prolonging network lifetime. However, the high complexity of the routing algorithm makes it computationally expensive for resource-constrained terrestrial WSNs. Another approach to improving WSN energy efficiency was introduced by Sachan et al. [18], who developed a Virtual MIMO (V-MIMO) communication network using Space-Time Block Coding (STBC). Their technique demonstrated superior data transmission reliability and energy savings compared to traditional aggregation methods. However, V-MIMO techniques require precise synchronization, which can introduce delays and increase processing overhead. Khan et al. [19] explored a deep reinforcement learning-based solution for WSNs by
implementing a Deep Q-Network (DQN)-based vertical routing scheme. This machine learningdriven approach effectively reduced energy consumption, minimized link breakages, and improved network lifespan compared to conventional reinforcement learning models. Despite these advantages, the computational burden of training and deploying DQN models remains a challenge in low-power WSN nodes. Several modifications to LEACH-based clustering have also been explored to optimize energy efficiency. Abushiba et al. [20] introduced CH-LEACH, a cluster-head selection protocol that improved energy consumption and network longevity by dynamically balancing the load among sensor nodes. Similarly, Midasala et al. [21] proposed the Swarm Intelligence Multi-Hop Clustering (SIMHC) protocol, integrating swarm intelligence techniques with multi-hop communication to enhance network lifetime, coverage, and throughput. While SIMHC demonstrated high energy efficiency, it does not account for
interference variations across different deployment environments. Tavakoli et al. [22] presented a fuzzy-based clustering algorithm designed to reduce energy consumption and packet delivery ratio (PDR) in sensor networks. The fuzzy-based approach provided adaptive clustering, but its effectiveness declined in dynamic and large-scale WSN environments due to increased computational complexity. A more recent optimization technique was introduced by Seyyedabbasi et al. [23], who developed the Expanded Grey Wolf Optimization (Ex-GWO) protocol for optimal routing path selection. By considering node size, hop count, and residual energy, Ex-GWO dynamically adjusted routes to balance energy consumption across the network. However, Ex-GWO lacks adaptability to real-time changes in network topology, making it less efficient in high-mobility scenarios. In an effort to further enhance LEACH-based clustering, Abdulaal et al. [24] presented NM-LEACH, a modified version of LEACH that incorporates energy as a weight factor in the cluster-head selection process. NM-LEACH effectively addresses network imbalances by prioritizing energy-efficient nodes, but its fixed thresholding approach limits adaptability in heterogeneous WSNs. These findings emphasize how crucial it is to create energy-efficient practices. to extend network lifespan, optimize packet delivery, and enhance overall performance in WSNs. A key challenge remains in balancing energy utilization, data throughput, and network longevity while maintaining efficient
communication in scalable and dynamic environments. Existing approaches either suffer from static clustering mechanisms, inefficient routing strategies, or high computational overhead, necessitating a more adaptive, scalable, and energy-efficient solution. The OLEACH protocol proposed in this study addresses these gaps by leveraging Virtual MIMO communication alongside an optimized LEACH framework. Unlike existing methods, OLEACH integrates a Multi-Population Applying Particle Swarm Optimization (MPPSO) for the selection of cluster head process, making the energy consumption balanced and extending the life of the network. Dynamically accommodating changes in network topology and fluctuating SNR conditions, OLEACH offers a more scalable and stable solution for wireless sensor network communication with reduced energy consumption. The OLEACH (Optimized LEACH for Virtual MIMO Communication) protocol was chosen as the proposed algorithm because it can address major limitations of current clustering-based WSN protocols and maintain energy efficiency, scalability, and robustness. The conventional approaches like LEACH, HEED, BRICH, and BLEACH are random or heuristic-based cluster-head selection, and they lead to unequal energy consumption and reduced network lifetime. OLEACH is able to mitigate this drawback using Multi-Population Particle Swarm Optimization (MPPSO) to optimize the selection of clusterheads based on energy, node position, and network to achieve fair utilization of energy and increased network duration. OLEACH also guarantees improved data reliability during transmission by employing Virtual MIMO communication to achieve maximum spectral efficiency with a reduced power utilization. Compared to conventional protocols with poor performance under low SNR environments, OLEACH maintains a high Packet Delivery Ratio (PDR), even under an SNR of -10 dB, thus being more reliable in real WSN applications. In addition, OLEACH adapts dynamically to changes in network size and topology, providing improved scalability over fixed clustering methods. By combining energy-aware routing, adaptive cluster formation, and data transmission optimization, OLEACH presents a complete and efficient solution for energy-efficient, long-lasting, and high-performance WSNs.

3. METHOD USED

In a cooperative virtual MIMO the communication network is grouped together as clusters where it aggregates the data from other sensor nodes. The fused data is then broadcast to cooperative nodes, who send it to a sink node through many hops. The system assumes sensor nodes that are stable and time-synchronized, with the sink node having numerous antennas for cooperative receiving. The analysis disregards baseband signal processing energy consumption and assumes good SNR for efficient communication. The proposed network consists of randomly distributed nodes organized into clusters for efficient communication. Each cluster includes co-operative cluster-heads (CH), and multiple sensor nodes (SNs). The transmission within a cluster, from SNs to CHs, is referred to as local transmission, while the transmission from CHs to the sink node is termed as long-haul transmission. Here, the channel propagation model is taken into account for both multipath fading and open space. that is dependent on distance between receiver and transmitter. In condition of local communication, they are close to each other whereas they are far apart in long-haul transmission. The entire communication model is assumed to be effected by additive white Gaussian noise (AWGN) [25]. Then, the received signal at
π‘—π‘‘β„Žnodefrom π‘–π‘‘β„Ž node with n signals are mathematically represented as:

π‘Ÿπ‘–,𝑗 (π‘™π‘œπ‘π‘Žπ‘™) (𝑛) = πœπ‘–π‘—(π‘™π‘œπ‘π‘Žπ‘™)𝑠(𝑛) + πœ‚π‘—(𝑛)

Where, πœ‚π‘—(𝑛) is AWGN samples at terminal 𝑗, πœπ‘–π‘—(π‘™π‘œπ‘π‘Žπ‘™) = 𝑑𝑖𝑗 βˆ’2 with 𝑑𝑖𝑗 is the distance between node 𝑖 and 𝑗, and 𝑠(𝑛)is the transmitted signal. Whereas in long-haul transmission, the communication model is also effected by Rayleigh fading, as nodes are far apart. Then in such communication, the received signal is represented as:

π‘Ÿπ‘–,𝑗 (π‘™π‘œπ‘π‘Žπ‘™) (𝑛) = πœπ‘–π‘—(π‘™π‘œπ‘π‘Žπ‘™)β„Žπ‘–π‘—π‘ (𝑛) + πœ‚π‘—(𝑛)

Where, fading coefficient is termed asβ„Žπ‘–π‘— among nodes such as node𝑖 and node 𝑗 and πœπ‘–π‘—(π‘™π‘œπ‘π‘Žπ‘™) = 𝑑𝑖𝑗 βˆ’4

3.1. Virtual MIMO Routing Algorithm
.

In each cycle of data transmission, the LEACH protocol [26], which serves as a model in this work, selects cluster head nodes. A probabilistic mechanism underpins the selection procedure. The LEACH protocol determines the likelihood of the ith node being elected as a cluster head node in the π‘Ÿπ‘‘β„Ž round as follows:

“𝑃(𝑖) = {𝑛(𝑁 βˆ’ 𝑛[π‘Ÿ π‘šπ‘œπ‘‘ (𝑁𝑛⁄ )])𝑖𝑓 π‘–πœ–πΊ0 π‘œπ‘‘β„Žπ‘’π‘Ÿπ‘€π‘–π‘ οΏ½

Where, set of nodes is represented as𝐺that doesn’t contain the cluster heads in roundπ‘Ÿ π‘šπ‘œπ‘‘ (𝑁/ 𝑛). After selection of 𝑛 CH nodes, the message is broadcasted for invitation to other nodes to join their respective cluster. The nodes select cluster head according to the signal strength i.e., nearby CH. Then information such as node ID, remaining energy, and the distance are communicated to their respective cluster head. This process is continued until the π‘βˆ’π‘› sensor nodes (remaining nodes) are selected in their respective cluster heads. This results the creation of 𝑛 clusters. After cluster formation, they prepare a routing table to find the best and optimal route for data transmission. They work towards finding the optimal path to the sink node, ensuring efficient communication. This step involves ongoing optimization and adjustment by the cluster head nodes until they determine the best route to relay data to the sink node. In LEACH based cooperative virtual MIMO (presented in fig 2), the entire algorithm is divided in two phases:
setup and steady state. During setup, cluster heads are selected based on a random number and a threshold calculation. In the steady state phase, data is transmitted to the base station. The threshold is evaluated as:

𝑇(𝑛) = 𝑝  (1βˆ’π‘(π‘Ÿ π‘šπ‘œπ‘‘( 1 𝑝 ))) if nΒ’G

Where 𝐺is number of nodes competing for CH. 𝑝 is the probability of becoming CH at round οΏ½


Figure 1. Flowchart of LEACH Protocol

The LEACH algorithm has a drawback where cluster heads are selected randomly, which may not result in the most energy-efficient nodes for data transmission. To address this limitation, a virtual MIMO routing algorithm is proposed as a solution. This algorithm aims to overcome the shortcomings of LEACH by optimizing the selection of cluster heads for efficient data transmission to the sink node, thereby improving energy savings in the network. Therefore, in this paper, energy-efficiency of the WSN network is enhanced with optimal LEACH protocol with virtual Multiple-Input Multiple-Output (MIMO) routing algorithm. The optimal LEACH protocol is designed using nature-inspired algorithm i.e.,β€œmulti-population Particle Swarm Optimizer (MPPSO)”. The Multi-population Particle Swarm Optimizer (MPPSO) is an algorithm that combines different exploring methods in Particle Swarm Optimization (PSO) into a single
algorithm. Here head node is selected on the basis of MPPSO. The core idea of MPPSO is to assign best particles using successful exploration method in order to take advantage of their diverse features and allocate more computing resources to enhance efficiency. MPPSO divides the population into different sub-population and one reward population. Each sib-population have small number of particles with their respective velocities. For sub-population is selected on the basis three different algorithms such as LDWPSO, UPSO, and CLPSO [27]. The MPPSO is repeated for number of learning rounds and at the end of each round an optimal population is selected. Here each sub-population contains π‘š particles and optimal population contains 𝑛 particles. The particles in optimal population termed as π‘ƒπ‘‚π‘ƒπ‘œwith respect to𝑃𝑂𝑃𝑠𝑒𝑏, wherein 𝑠𝑒𝑏 ∈ LDWPSO, UPSO, and CLPSO, Evaluated as:

𝑁𝑠𝑒𝑏 = [𝑁 βˆ— πœ†π»]

The selection criteria of π‘ƒπ‘‚π‘ƒπ‘œ by using 𝑃𝑂𝑃𝑠𝑒𝑏 is evaluated on the parameter such as π‘†π‘π‘Ÿπ‘–π‘‘π‘’π‘Ÿπ‘–π‘Ž evaluated as:

π‘†π‘π‘Ÿπ‘–π‘‘π‘’π‘Ÿπ‘–π‘Ž = 𝑁 βˆ’ βˆ‘ 𝑁𝑠𝑒𝑏 𝑠𝑒𝑏=1,2,3

Fitness of 𝑃𝑂𝑃𝑠𝑒𝑏 is evaluated as:

𝑓𝑖𝑑𝑠𝑒𝑏 = 𝑓𝑖𝑑𝑠𝑒𝑏 + 𝑓(𝑝𝑏𝑒𝑠𝑑𝑖 ) βˆ’ 𝑓(π‘₯𝑖 ), 𝑖 ∈ 𝑃𝑂𝑃𝑠𝑒�

Among the best fit population π‘ƒπ‘‚π‘ƒπ‘œ is selected as:

π‘ƒπ‘‚π‘ƒπ‘œ = arg( π‘šπ‘Žπ‘₯ 𝑠𝑒𝑏 = 1,2,3 (𝑓𝑖𝑑𝑠𝑒𝑏 )[𝑁 βˆ— 𝑁𝑠𝑒𝑏]

Particles in 𝑃𝑂𝑃𝑠𝑒𝑏is assigned toπ‘ƒπ‘‚π‘ƒπ‘œand their velocities are updated according to increased iteration π‘˜. MPPSO improves search effectiveness with π‘ƒπ‘‚π‘ƒπ‘œ as each population can focus on different regions of the search space, increasing the likelihood of finding global and local optima together. This boosts exploration and exploitation, leading to better solution discovery. In dynamic optimization algorithms, achieving a balance between exploration and exploitation is crucial. Emphasizing exploration too much leads to random search, while focusing too heavily on exploitation results in local search. In addition, the robustness of parameter settings of the algorithm over problems is crucial. This work presents a novel algorithm named Multi-population PSO, which will try to find a proper trade-off between exploration and exploitation as shown in fig 3.


Figure 1. Flowchart of OLEACH Protocol

The suggested OLEACH protocol has some advantages over conventional clustering and routing protocols in WSNs:

Enhanced Energy Efficiency: OLEACH departs from traditional LEACH, HEED, BRICH, and B-LEACH whose cluster-head choice is made in a random or heuristic fashion. OLEACH uses a Multi-Population Particle Swarm Optimization (MPPSO) algorithm. With it, the best energy and position parameters will determine the choice of cluster-heads, and so reduce energy overall consumption while improving network life expectancy.

  • Enhanced Packet Delivery Ratio (PDR): The extended LEACH protocol improves data transmit reliability in WSNs. Simulation results state that OLEACH provides maximum PDR (98%) over LEACH, HEED, and BRICH, ensuring much more reliable data communication even for different network situations.
  • Higher Network Scalability: In contrast to the traditional MIMO and Virtual MIMO methods that are computationally costly on fixed equipment or rely on centralized processing, OLEACH scales dynamically according to the nodes, thereby achieving scalability without overwhelming computational expenses.
  • Optimized Cluster Head Selection: Traditional clustering protocols often select cluster heads randomly or by local heuristics, leading to uneven energy distribution. OLEACH’s MPPSO-based selection approach judiciously balances the energy load on nodes, preventing premature energy depletion of key nodes and enhancing network longevity
  • Improved Performance Under Varying SNR Environments: Current protocols exhibit a decrease in performance at low SNR values. OLEACH, on the other hand, is built to deliver packets consistently even under poor SNR environments (e.g., -10 dB), thus proving to be more reliable in practical deployment environments.
  • Network Failures Robustness: In OLEACH, the Virtual MIMO approach of cooperative operations guarantees that a communication path has backups, so the effect of node failure is less compared to existing clustering algorithms.

3.2. Cooperative Nodes Selection

Among the set of cluster head nodes some nodes are considered as cooperative nodes that construct a virtual MIMO communication system. The selection of co-operative node is determined on certain factors, such as:

The selection criteria for cooperative nodes in the virtual MIMO system are based on the remaining energy of the nodes πΈπ‘Ÿπ‘’π‘š(𝑖) and the distance between the cooperative node and the cluster head node is represented as 𝑑𝑖. There are also lower π‘‘π‘šπ‘–π‘› and upper π‘‘π‘šπ‘Žπ‘₯distance limits specified. After identification of co-operative nodes according to selection criteria in virtual MIMO communication mode. Selection criteria is based on Space Time Block Code (STBC) scheme and according to their ID their roles are assigned. Finally for transmission, Time Division Multiple Access (TDMA) slots are allotted in the virtual MIMO system.

3.3. Data Transmission

In data transmission phase, the cluster head node broadcasts message to sensor nodes. Then, sensor nodes transmit their respective data to cluster head nodes within their allotted time-stamp slots. Then after transmission, the sensor node enters into sleep mode to conserve energy. Then at cluster head node, data aggregation or data fusion is performed to reduce data redundancy as well as save energy. Then they broadcast the data to the cooperative nodes. In final stage, the cooperative node creates a virtual antenna array after receiving data from CHs and transmit according to TDMA technique [28].This allows for improved signal processing and transmission efficiency in the network. Therefore, the efficiency of the communication model was improvised by using the OLEACH algorithm which is described as in above section.

4.RESULT AND DISCUSSION

The proposed optimized-LEACH (OLEACH) algorithm was analyzed in this section using MATLAB [29] for experimental simulation. The simulation was conducted in a Virtual MIMO environment [30] with variable sensor nodes deployed. Simulation setup is presented in table 1.

Table 1.. Simulation Parameter


The following performance parameters are used to evaluate the result:

Remaining Energy: It refers to the difference between total energy and consumed energy. It is evaluated as:

π‘…π‘’π‘šπ‘Žπ‘–π‘›π‘–π‘›π‘”π‘’π‘›π‘’π‘Ÿπ‘”οΏ½

= (π‘‡π‘œπ‘‘π‘Žπ‘™ πΈπ‘›π‘’π‘Ÿπ‘”π‘¦ βˆ’ πΈπ‘›π‘’π‘Ÿπ‘”π‘¦ π‘π‘œπ‘›π‘ π‘’π‘šπ‘’π‘‘ π‘‘π‘’π‘Ÿπ‘–π‘›π‘” π‘‘π‘Ÿπ‘Žπ‘›π‘ π‘šπ‘–π‘ π‘ π‘–π‘œπ‘› 𝑛
βˆ’ 𝑏𝑖𝑑 π‘‘π‘Žπ‘‘π‘Ž π‘π‘Žπ‘π‘˜π‘’π‘‘π‘ )

Packet Delivery Ratio: PDR is an important performance metric in the Virtual MIMO WSN environment, determining the reliability and efficiency of data transmission. PDR in WSN refers to the proportion of data packets that are successfully transmitted to the network’s intended destination node.

𝑃𝐷𝑅 =π‘π‘œ. π‘œπ‘“ π‘π‘Žπ‘π‘˜π‘’π‘‘π‘  π‘Ÿπ‘’π‘π‘’π‘–π‘£π‘’π‘‘
π‘‡π‘œπ‘‘π‘Žπ‘™ π‘π‘Žπ‘π‘˜π‘’π‘‘π‘  π‘‘π‘Ÿπ‘Žπ‘›π‘ π‘šπ‘–π‘‘π‘‘π‘’π‘‘ βˆ— 100

Optimized LEACH (OLEACH) was proposed and some of the already existing cluster protocols such as LEACH, HEED, BRICH, and B-LEACH were implemented. Because LEACH is a most widely applied algorithm in wireless sensor networks (WSNs) with emphasis on data acquiring capacity and network lifetime [31]. It is motivated by hierarchical clustering method where local clusters are created by sensor nodes and each cluster has a cluster head (CH) which collects data and aggregates them. Another WSN clustering method utilized to minimize energy consumption is HEED.It adapts cluster heads dynamically based on parameters like remaining energy and cost of communication. BRICH is also a hierarchical clustering protocol involving bottom-up and topdown techniques for cluster head selection. It breaks down data points into small clusters and then aggregates similar groupings in order to create a hierarchy. It uses density-based approaches to strike a compromise between cluster quality and computing efficiency. B-LEACH is a LEACH protocol enhancement built primarily for energy-efficient routing in WSNs. It prolongs network life by regulating energy usage among cluster heads. This is accomplished by selecting cluster
heads based on residual energy and spreading cluster head roles evenly among the nodes. The

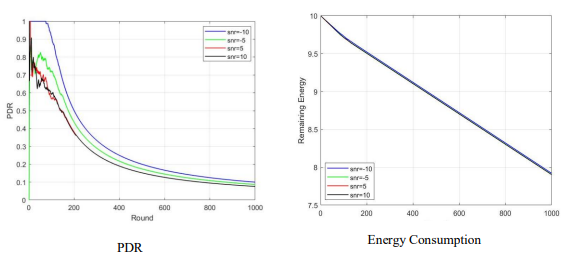
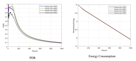
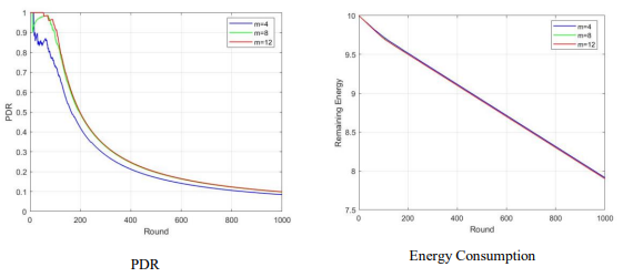
Optimized LEACH (OLEACH) method was presented as an improvement to the original LEACH algorithm, with the goal of further optimizing energy consumption and improving network performance. Below results analysis was performed with respect to varying SNR and varying antennas. Fig 4 shows the performance of OLEACH with Varying SNR [32]. For SNR – 10dB the PDR is maximum. The next is remaining energy with varying SNR is presented, it is shown that the remaining energy was approx. 8J for 1000 rounds and it is almost same for signal to noise ratio – 10 to 10db. Fig 5 shows the OLEACH performance from different antenna which is 4, 8 and 12. The PDR increases with increasing antennas. Fig 6 shows the OLEACH performance from varying packet size which is 1000-4000. The PDR decreases with increasing packet size. Fig 7 shows the packet delivery ratio with SNR varied from -10 dB to 10dB
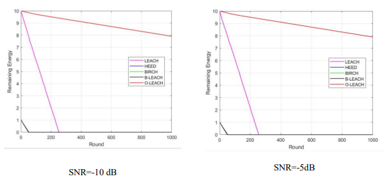
comparing LEACH, HEED, BRICH, B-LEACH and OLEACH algorithm. Number of data transmission rounds varied from 0 to 1000. It is clearly visible that O-LEACH has better performance when compared to other state-of-art protocols. Fig 8 shows the remaining energy comparison with varying number of rounds with different SNR values and compared with existing state-of-art models such as LEECH, HEED, BRICH, B-LEACH and OLEACH algorithm. For O-LEACH remaining energy was higher as compared to other state-of-art models while comparing it with other techniques.


FIG 4.. Performance of OLEACH with Varying SNR


FIG 5.. Performance of OLEACH with Varying Antennas


FIG 6.. Performance of OLEACH with Varying Packet Size



FIG 7.. Packet Delivery Ratio with Different SNR Values



FIG 8.. Remaining Energy with Different SNR Values

To further validate the accuracy of OLEACH, we compared its performance against other stateof-the-art protocols, including LEACH, HEED, BRICH, B-LEACH, Ex-GWO, ESEERP, and SIMHC. Table 2 provides a comparative analysis of these methods in terms of Packet Delivery Ratio (PDR) and energy efficiency. Our findings indicate that OLEACH achieves the highest PDR (98%) and energy efficiency (99%),outperforming existing methods. In particular, ExGWO attains 85% PDR, whereas ESEERP and SIMHC attain 96% and 95% respectively. OLEACH’s enhanced accuracy can be explained by its cluster head selection optimized for better performance and energy-efficient routing, which largely minimize energy consumption while
ensuring network reliability.

Table 2.. Comparative State-of-Art


5.CONCLUSION

Via an Energy-Efficient Virtual MIMO Communication (EE-VMC) strategy of cluster-based cooperative WSNs with a base on optimal LEACH (OLEACH), this current work handles the matter of energy-saving in wireless sensor field (WSNs). If implemented through communication utilizing virtual multiple-input multiple-output (MIMO), the protocol of OLEACH is able to save immense amount of energy and provide even greater network efficiency. Simulation outcomes reveal that OLEACH attains a 98% Packet Delivery Ratio (PDR), outperforming LEACH (82%), HEED (88%), BRICH (90%), and B-LEACH (92%), with 99% energy efficiency, one of the best energy management approaches for WSNs. OLEACH is also efficient under low SNR values (- 10 dB) and has better data transmission ability with more antennas (4 to 12). Its capability of supporting greater residual energy levels increases network duration and enforces more efficient usage of resources. These results confirm that OLEACH is a scalable and robust solution for energy-efficient WSN deployments, with potential applications in large-scale wireless networks. Future research should focus on integrating energy harvesting techniques, optimizing power management strategies, enhancing security mechanisms, and incorporating AI-based adaptive routing for improved real-time cluster head selection. Addressing these areas will further strengthen the role of Virtual MIMO and OLEACH in building sustainable, secure, and high-performance wireless sensor networks.

ABBREVIATIONS

WSNs Wireless Sensor Networks
MIMO Multiple-Input Multiple-Output
vMIMO Virtual Multiple-Input Multiple-Output
CSI Channel State Information
EE-VMC Energy-Efficient Virtual MIMO Communication
DQN Deep Q-network
UWSNs Underwater Sensor Networks
Ex-GWO Expanded Grey Wolf
QoS Quality of Service
AWGN Additive White Gaussian Noise
MPPSO Multi-population Particle Swarm Optimizer
TDMA Time Division Multiple Access
PDR Packet Delivery Ratio

SNR Signal to Noise Ratio
CH Cluster Head
SNs Sensor Nodes
STBC Space Time Block Code

ACKNOWLEDGEMENT

Nil.

FUNDING
No funding was received from any financial organization to conduct this research.

AUTHOR CONTRIBUTIONS

The authors confirm contribution to the paper as follows: Conceptualization, Formal analysis, Methodology, Validation, draft manuscript preparation: Shitiz Upreti and Mahaveer Singh Naruka . All
authors reviewed the results and approved the final version of the manuscript.

CONFLICT OF INTEREST

The authors declare that they have no known financial or non-financial competing interests in any material discussed in this paper.

ETHICS APPROVAL

Ethical approval was not required for this research as it does not involve human subjects, animal experiments, or sensitive data

REFERENCES

[1] M. Numan et al., β€œA Systematic Review on Clone Node Detection in Static Wireless Sensor Networks,” IEEE Access, vol. 8, pp. 65450–65461, 2020, doi: 10.1109/ACCESS.2020.2983091.

[2] O. Kanoun et al., β€œEnergy-aware system design for autonomous wireless sensor nodes: A comprehensive review,” Sensors (Switzerland), vol. 21, no. 2, pp. 1–25, 2021, doi: 10.3390/s21020548.

[3] R. Gantassi, Z. Masood, S. Lim, Q. A. Sias, and Y. Choi, β€œPerformance Analysis of Machine Learning Algorithms with Clustering Protocol in Wireless Sensor Networks,” in 2023 International Conference on Artificial Intelligence in Information and Communication (ICAIIC), 2023, pp. 543– 546. doi: 10.1109/ICAIIC57133.2023.10067019.

[4] M. A. Mojamed, β€œBeacon-Based uplink transmission for LORAWAN direct to LEO satellite internet of things,” International Journal of Computer Networks & Communications, vol. 16, no. 5, pp. 43–58, Sep. 2024, doi: 10.5121/ijcnc.2024.16503.

[5] K. Upreti, M. H. Syed, M. A. Khan, H. Fatima, M. S. Alam, and A. K. Sharma, β€œEnhanced algorithmic modelling and architecture in deep reinforcement learning based on wireless communication Fintech technology,” Optik, vol. 272, p. 170309, Dec. 2022, doi: 10.1016/j.ijleo.2022.170309.

[6] S. K. Gupta, S. M. U. Din, K. Upreti, S. Mahajan, and S. S. Date, β€œEnhancing CNN Weights for Improved Routing in UAV Networks for Catastrophe Relief with MSBO Algorithm,” Journal of Mobile Multimedia, pp. 1117–1152, Dec. 2024, doi: 10.13052/jmm1550-4646.2056.

[7] B. D. Mathews and T. Muthu, β€œAdaptive Hybrid Deep Learning Based Effective Channel Estimation in MIMO-Noma for Millimeter-Wave Systems with an Enhanced Optimization Algorithm,” International Journal of Computer Networks & Communications, vol. 16, no. 5, pp. 113–131, Sep. 2024, doi: 10.5121/ijcnc.2024.16507. International Journal of Computer Networks & Communications (IJCNC) Vol.17, No.3, May 2025 87

[8] Ahmad, L. Hee, A. Abdelrhman, S. Imam, and M. Leong, β€œScopes, challenges and approaches of energy harvesting for wireless sensor nodes in machine condition monitoring systems: A review,” Measurement, vol. 183, p. 109856, 2021, doi: 10.1016/j.measurement.2021.109856.

[9] T. Liu, X. Qu, W. Tan, R. Wen, and L. Yang, β€œEnergy Efficient Joint Collaborative and Passive Beamforming for Intelligent Reflecting Surface Assisted Wireless Sensor Networks,” IEEE Internet Things J., p. 1, 2023, doi: 10.1109/JIOT.2023.3273448.

[10] Y. Peng, F. Al-Hazemi, R. Boutaba, F. Tong, I.-S. Hwang, and C.-H. Youn, β€œEnhancing Energy Efficiency via Cooperative MIMO in Wireless Sensor Networks: State of the Art and Future Research Directions,” IEEE Commun. Mag., vol. 55, no. 11, pp. 47–53, 2017, doi: 10.1109/MCOM.2017.1600837.

[11] M. Kanthimathi, R. Amutha, and K. Senthil Kumar, β€œEnergy Efficient Differential Cooperative MIMO Algorithm for Wireless Sensor Networks,” Wirel. Pers. Commun., vol. 103, no. 4, pp. 2715– 2728, 2018, doi: 10.1007/s11277-018-5957-1.

[12] K. Singh, S. K. Mishra, and S. Dixit, β€œEnergy Efficiency in Wireless Sensor Networks: Cooperative MIMO-OFDM,” in Recent Trends in Communication, Computing, and Electronics, 2019, pp. 147– 154.

[13] N. Kannan et al., β€œFuture perspectives on new innovative technologies comparison against hybrid renewable energy systems,” Computers & Electrical Engineering, vol. 111, p. 108910, Aug. 2023, doi: 10.1016/j.compeleceng.2023.108910.

[14] O. Elijah, S. K. Abdul Rahim, W. K. New, C. Y. Leow, K. Cumanan, and T. Kim Geok, β€œIntelligent Massive MIMO Systems for Beyond 5G Networks: An Overview and Future Trends,” IEEE Access, vol. 10, pp. 102532–102563, 2022, doi: 10.1109/ACCESS.2022.3208284.

[15] M. Baniata, H. T. Reda, N. Chilamkurti, and A. Abuadbba, β€œEnergy-Efficient Hybrid Routing Protocol for IoT Communication Systems in 5G and Beyond.,” Sensors (Basel)., vol. 21, no. 2, Jan. 2021, doi: 10.3390/s21020537.

[16] R. Dogra, S. Rani, Kavita, J. Shafi, S. K. Kim, and M. F. Ijaz, β€œESEERP: Enhanced Smart Energy Efficient Routing Protocol for Internet of Things in Wireless Sensor Nodes,” Sensors, vol. 22, no. 16, pp. 1–15, 2022, doi: 10.3390/s22166109.

[17] G. R M, J. Martin Leo Manickam, A. Sivasangari, and A. Ponnupillai, β€œEnergy efficient dynamic clustering routing protocol in underwater wireless sensor networks,” Int. J. Netw. Virtual Organ., vol. 22, p. 415, 2020, doi: 10.1504/IJNVO.2020.107576.

[18] D. B. D and P. C. R, β€œEECRPSID: Energy-Efficient Cluster-Based Routing Protocol with a Secure Intrusion Detection for WSN-Assisted IoT,” International Journal of Computer Networks & Communications, vol. 16, no. 3, pp. 103–116, May 2024, doi: 10.5121/ijcnc.2024.16307.

[19] M. F. Khan, K. L. A. Yau, M. H. Ling, M. A. Imran, and Y. W. Chong, β€œAn Intelligent ClusterBased Routing Scheme in 5G Flying Ad Hoc Networks,” Appl. Sci., vol. 12, no. 7, 2022, doi: 10.3390/app12073665.

[20] W. Abushiba, P. Johnson, S. Alharthi, and C. Wright, β€œAn energy efficient and adaptive clustering for wireless sensor network (CH-leach) using leach protocol,” in 2017 13th International Computer Engineering Conference (ICENCO), 2017, pp. 50–54. doi: 10.1109/ICENCO.2017.8289762.

[21] V. Midasala, krishnachaithanyaJanapati, S. Srinivasu, R. MANIKANDAN, M. Mousavi, and A. Gandomi, β€œSensor-System-Based Network with Low-Power Communication Using Multi-Hop Routing Protocol Integrated with a Data Transmission Model,” Electronics, vol. 11, p. 1541, 2022, doi: 10.3390/electronics11101541.

[22] Javid Tavakoli; Neda Moghim; Amini Leila; FaezehPasandideh, β€œA fuzzy based energy effificient clustering routing protocol in underwater sensor networks,” J. Commun. Eng., vol. 9, no. 1, p. 18, 2020, doi: 10.22070/jce.2021.5590.1162.

[23] Seyyedabbasi, Amir, Farzad Kiani, TofighAllahviranloo, Unai Fernandez-Gamiz, and Samad Noeiaghdam. “Optimal data transmission and pathfinding for WSN and decentralized IoT systems using I-GWO and Ex-GWO algorithms.” Alexandria Engineering Journal 63 (2023): 339-357.

[24] Abdulaal, Alaa H., A. F. M. Shah, and Al-Sakib Khan Pathan. “NM-LEACH: A novel modified LEACH protocol to improve performance in WSN.” International Journal of Communication Networks and Information Security 14, no. 1 (2022): 1-10.

[25] Wang, Peng, Yonghui Li, Zihuai Lin, MahyarShirvanimoghaddam, Ok-Sun Park, Giyoon Park, and Branka Vucetic. “Analysis of Rateless Multiple Access Scheme with Maximum Likelihood Decoding in an AWGN Channel.” IEEE Transactions on Wireless Communications (2023). International Journal of Computer Networks & Communications (IJCNC) Vol.17, No.3, May 2025 88

[26] Sajedi, SeyedehNafiseh, Mohsen Maadani, and MeisamNesari Moghadam. “F-LEACH: a fuzzybased data aggregation scheme for healthcare IoT systems.” The Journal of Supercomputing 78, no. 1 (2022): 1030-1047.

[27] Liu, Ziang, and Tatsushi Nishi. “Strategy dynamics particle swarm optimizer.” Information Sciences 582 (2022): 665-703.

[28] Meng, Xiaoding, Hecheng Li, and Anshan Chen. “Multi-strategy self-learning particle swarm optimization algorithm based on reinforcement learning.” Mathematical Biosciences and Engineering 20, no. 5 (2023): 8498-8530.

[29] Valentine, Daniel T., and Brian H. Hahn. Essential MATLAB for engineers and scientists. Academic Press, 2022.

[30] Yuan, Yong, Zhihai He, and Min Chen. “Virtual MIMO-based cross-layer design for wireless sensor networks.” IEEE Transactions on Vehicular Technology 55, no. 3 (2006): 856-864.

[31] S. Singh, U. Singh, N. Mittal, and F. Gared, β€œA self-adaptive attraction and repulsion-based naked mole-rat algorithm for energy-efficient mobile wireless sensor networks,” Scientific Reports, vol. 14, no. 1, Jan. 2024, doi: 10.1038/s41598-024-51218-0.

[32] V. P. Raj and M. Duraipandian, β€œEnergy conservation using PISAE and cross-layer-based opportunistic routing protocol (CORP) for wireless sensor network,” Engineering Science and Technology an International Journal, vol. 42, p. 101411, Apr. 2023, doi: 10.1016/j.jestch.2023.101411.

Leave a comment

Information

This entry was posted on June 21, 2025 by .