International Journal of Computer Networks & Communications (IJCNC)

AIRCC PUBLISHING CORPORATION

IJCNC 06

Maximum Throughput First Access Point Selection Scheme for Multi-Rate Software-Defined Wireless Network

Hassen A. Mogaibel1 and Majed Hashim2
1Department of Information Technology, Al-Ahgaff University, Mukalla, Yemen

ABSTRACT

As the number of devices increases, many businesses deploy multiple access points (APs) in neighboring areas to provide Internet service. In such networks, a mobile station (MS) often has multiple APs within its coverage area, and deciding which AP to associate with becomes a significant issue that can influence  network performance. Software Defined Network (SDN) has recently become a popular technology for making intelligent mobile station assignment decisions for APs. In a multi-rate Wi-Fi network, the actual bandwidth of high-rate links can be reduced to that of low-rate links. In this paper, we propose a Maximum Throughput First (MTF)AP selection scheme, which is a refinement of existing Mininet Wi-Fi mechanisms. MTF considers the parameters of actual throughput achieved by the access point and the number of associated stations as selection metrics when making the association decision. The simulation results show that MTF provides better performance, especially in multi-rate environments.

KEYWORDS
Mininet Wi-Fi, Association Control, Access Point Selection, Handover, Software-defined Wireless Network

1. INTRODUCTION

In recent years, Wireless Local Area Networks (WLANs) based on the IEEE 802.11 [1] standards have been widely deployed in universities, offices, hotels, airports, and other public places. The IEEE 802.11 specification allows access points and mobile stations to communicate at different rates. For example, IEEE 802.11b provides four-bit rates (1, 2, 5.5, and 11 Mbps), each with its modulation scheme[2,3]. A node can adjust its data rate using this multi-rate capacity to achieve the desired transmission quality at a specific signal-to-noise ratio (SNR) [1]. While having several transmission rates provides flexibility and performance benefits, overall system throughput falls when stations using different transmission rates share the same physical channel. In other words, the throughput of stations transmitting data at higher rates is affected by low rates, falling below that of stations sending at lower rates [4].

This phenomenon occurs because a low-rate station that acquires a channel occupies it for a longer duration, causing high-rate stations to wait for the channel. During this time, high-rate stations cannot access the channel, which results in a degradation of the overall throughput. When low-rate and high-rate stations have equal opportunities to access the channel and transmit frames of the same size, high-rate stations suffer because of the presence of low-rate stations[4].

Software-Defined Network (SDN) is an innovative network architecture that is intended to make networks programmable, easily manageable, and scalable[5]. SDN is logically centralized and controlled by the network controller, which has an overall view of the whole network. SDN technology has been used to solve some common problems in Wi-Fi networks, including loadbalance and access point selection. With the increase in the number of Internet users in the surrounding areas, many business institutions deploy multiple Access Points (APs) to provide Internet service simultaneously. However, managing a large number of APs can be a challenging and complex task. SDN technology can help address this challenge by providing a centralized, programmable network architecture that simplifies the management of APs and enables efficient load balancing. Recently, SDN has become a popular technology for making smart client assignment decisions for APS [6]. 

In Mininet Wi-Fi[7], a popular SDN emulator, there are two association schemes for connecting mobile devices to access points: one based on Strongest Signal First (SSF) and another based on Least Load First (LLF)[8].In SSF, stations connect to the AP with the highest Received Signal Strength Indicator (RSSI) value, while the LLF method distributes the Mobile Stations(MSs)evenly among the access point devices based on their load.

While RSSI is an important factor that affects the data rates of the mobile station, other crucial factors that an AP selection method must take into account, such as the load and achievable throughput of the APS [9,10,11,12,13]. In our previous work [14], we identified the need for a solution that could mitigate the impact of low-rate links on network performance while also balancing the stations among the available access points. Therefore, unlike most prior works, this paper proposes a new AP selection scheme based on achievable throughput in a multi-rate wireless network. The metric takes into account the effect of low-rate links on the overall system throughput and selects access points that can provide higher throughput for associated stations. The proposed metric considers not only RSSI but also the load and the achieved throughput of each AP. The scheme has been implemented in the Mininet Wi-Fi emulator for performance analysis. The main contribution of our work is to improve the total throughput and delay by uniformly distributing the load among adjacent APs and reducing the impact of lowrate stations on the overall system throughput.

2. RELATED WORKS

The simplest AP selection approach employs RSSI as a metric to choose the access point with the highest RSSI among those close by[15,16,17]. This is based on the idea that a greater RSSI value corresponds to a lower likelihood of packet loss, which raises the useable data rates [18,19,20]. Numerous approaches have been suggested in the literature to improve RSSI-based access point selection. SDN design plan based on AP traffic load and received RSSI is presented in[21]. When a Mobile Station is situated in a zone where both AP signals are received, it broadcasts a probe request frame using an active scanning method. The APs will exchange this data with the controller by responding with the probe response frames and then storing the Medium Access Control (MAC) addresses of the stations that delivered the probe request frames. The controller will next assess if the handover is required, such as when the MS is moving or one AP is overburdened. The controller signals the current AP to disconnect by sending a disconnection message. Additionally, a message compelling the target AP to approve the MS connection is sent. One drawback is that the authors only ran simulation testing, and it’s unclear exactly how they found the overlapped coverage region.

A previous study [6] introduced a potential game approach that utilizes the Fittingness Factor (FF) metric to evaluate the suitability of spectrum resources for specific application requirements. The proposed approach considers the diversity of user demand and access point load by redistributing high-traffic users among the available access points.

The authors of [9] proposed an adaptive load-balancing access point method for Wi-Fi SDN-based networks to tackle the load-balancing issue in enterprise WLANs. The proposed method employs SDN to gather user connection and AP load information. Whenever an uneven AP load is detected, the SDN controller sends a beacon-configure message to adaptively configure the signal strength for the affected APs.

In [10,22], Reinforcement Learning (RL) has been suggested as a method to balance network traffic among multiple Wi-Fi access points in a high-density network. In [10], the authors consider both RSSI (Received Signal Strength Indicator) and the traffic loads of the access points when deciding which access point to connect to locally.

In [23], the authors presented a technique to address the uneven distribution of clients. The authors suggest learning-based ways to monitor the network load to spot real-time load imbalances and address the aforementioned problem. When the number of overloaded APs reaches a certain level, a trigger is produced. Then the controller should think about using the association control algorithm.

In [24], the suggested solution models the load access point selection problem as a maximization problem that takes the traffic load and the costs resulting from handoff delays into account. It then employs the theories of discretized linear programming and general assignment problems to resolve it.

In [25], an adaptive connection and handover scheme has been proposed to evenly distribute the load among the access points. The proposed scheme is triggered when the load difference between two access points exceeds a certain threshold. In this study, the access point load is determined by the number of associated stations. However, the maximum load limit is not discussed, and the number of wireless stations associated with a certain AP is not sufficient to reveal the exact load values.

In [26], a new AP selection scheme has been proposed based on achievable normalized throughputs computed using the Carrier Sense Multiple Access with Collision Avoidance (CSMA/CA) model[27], selecting the AP with the highest normalized throughput.

For multi-hop WLAN networks, the authors of [28] provided a solution to the problem of AP/extender selection. The answer takes channel load into account in addition to the conventional RSSI. The only thing that can be done to fix it is to have Wi-Fi hardware that supports IEEE 802.11 k/v.Access point selection based on past user behavior to improve network throughput has been proposed in[29],[30], and [31].

In [29], the researchers proposed a method based on the assumption that the company’s employees have a higher priority than the regular user in accessing the network. The method classified the user as either staff or customer and calculated the user’s capacity based on the traffic profile. According to[30], users are classified as high- and low-priority users, with an effort to always give high-priority users the best quality of services.

Xue et al.[31] propose a sociality-aware AP selection technique for enterprise WLANs. They discovered through WLAN data analysis that users who use the same applications tend to live together. Their approach divides users among different APs based on social ties to reduce the impact of their collective departure on load distribution. Finally, the problem is formulated as an optimization problem for a nonlinear mixed integer optimization program, where the demands are added as constraints.

In [32], the authors propose a new framework called DARCAS for regulating user association with access points in Wi-Fi networks using SDN. The framework utilizes an access point selection metric named bandwidth satisfaction ratio (BSR), which is closely related to user experience, to ensure sufficient airtime provision while maximizing network throughput. BSR is calculated as the ratio of the required bandwidth per user to the actual bandwidth provided by the network resource. The authors use a metaheuristic genetic algorithm called DARCAS-GA that employs the BSR metric to find the best association distribution to maximize network throughput while ensuring sufficient airtime provision for each user. 

In [30], the author developed a priority-based handover (HO) algorithm implemented in a SDWN-based architecture. The proposed approach employs user prioritization to make an intelligent decision during the HO process by dividing users into two groups, namely High and Low priority users.

For a WiFi-connected IoT gateway in a smart city application, the authors in [33,34] presented an SDN-based technique to reduce the delivery latency of data packet forwarding. The suggested approach seeks to reduce packet delivery latency by connecting the client to an AP that can handle gateway traffic with less end-to-end delay.

In [35], the authors proposed SDN-based technique for reducing handoff times in Wi-Fi networks. The proposed technique uses SDN controller to collect information on the current network conditions, such as signal strength and traffic load, and use this information to make decisions about when and where to perform a handoff. The solution investigates three conditions for handoff: (1) if the RSSI of the source AP exceeds the threshold, the controller does not take any action, (2) if the RSSI of the source AP is below the threshold but still higher than the RSSI of the destination APs, the controller remains inactive, and (3) if the RSSI of the source AP is below the threshold and even lower than the RSSI of the destination AP, the
controller initiates the handoff.

The authors in[36] proposed a user-AP association strategy that jointly resolves user-AP selection and multicast delivery to produce the highest network utility. The approach carries out effective load balancing, multicast transmission, and seamless handover by taking into account not only AP loads but also traffic demands and SNR.

An access point selection scheme that can be applied to multi-rate WLANs is suggested by the authors in [18] to increase the access point selection scheme’s applicability in a real-world setting where the WLAN supports multiple data rates and automatically adjusts the rate in response to wireless link conditions. First, it estimates the region where the handover should begin, and if there are two identical access points in the region, it compares the wireless conditions of the two access points precisely, resulting in the identification of the ideal handover point and the best-selected access point. However, it needs client-side modification, which makes it unsuitable for use in the real world. To mitigate the performance anomaly impact that compromises the user experience of low-data-rate clients, it also hands off low data-rate customers to the most congested AP.

To guarantee periodic proportional fairness-based throughput between the clients, the authors of [23] offer a centralized offline approach. When a new MS tries to connect to the network, they achieve proportionate fairness based on a function that indicates performance income and is achieved using an AP association method that they later devised. They define the issue as a nonlinear optimization problem and suggest a heuristic algorithm known as NLAO-PF. The authors’ proposed solution does, however, call for a change to the user’s device. Because there is such a wide range of client terminals and systems, this is not viable.

However, as far as we know, none of the exiting studies studied the impact of low-rate links in network throughput in their AP selection scheme. Therefore, this study will concentrate on the rate at which a station connects to the network to initiate the handover. The solution will lower the performance anomaly problem, enhancing network throughput while also providing the highest level of client fairness and providing good user quality of experience.

3. PROPOSED ACCESS POINT SELECTION SCHEME

In a multi-rate network with multiple access points in the convergence area, selecting the right access point is crucial for ensuring optimal network performance. Access point selection in a multi-rate network with many access points in the convergence area is critical for ensuring the highest level of network performance. Our proposed AP selection scheme aims to minimize the impact of low-rate links on network throughput. It does this by redistributing mobile stations among overlapped access points based on the maximum throughput first association decision metric. The scheme is designed to reduce the impact of rate difference between mobile stations connected to the same AP on network throughput. The proposed solution allows the SDN controller to make access point selection decisions depending on the MS rate and the AP’s load to maximize network throughput.

3.1. Access Point Selection Process

The MTF algorithm can either start after a fixed period or when the controller receives a new association message. Figure 1 illustrates the sequence of the MTF access point association process in the SDN network.

When a new station is within the coverage area of two or more access points and needs to associate with one of them, it broadcasts a request message and then waits for a probe-replay message from the selected access point. Once the corresponding access points receive the request probe message, they respond by sending a replay message to the controller, which includes information about MS and RSSI.

Upon receiving the probe-replay message, the controller runs the MTF algorithm to select the best access point that provides higher network throughput from the candidate access points of MS. The details of the algorithm are presented in Subsection 3.3.


Figure 1. MTF access point association process

Finally, the controller sends a disconnect message to the old access point and a connect message to the new AP, which provides the highest throughput value. Only the selected AP sends a probe-response message to the MS. Once the MS receives the probe message, it performs a connection handshake with the selected AP and starts its transmission.

Suppose station K performs the association process. First, it will send a probe message to all access points within its coverage area and wait for a replay message from one of them. Assume there are three access points in K’s coverage area: AP1, AP2, and AP3. Hence, each of them will receive a probe message and send an update message to the controller, including its load, station ID, and RSSI. Once the controller receives the associated message, it runs the algorithm to compute the best access point that provides the highest throughput. Hence, if AP2 gets higher throughput, then the controller will re-associate the station with AP2. The controller then sends a disconnect message to AP1 and a connected message to AP2. Once the connection is successful, the station will start sending data.

3.2. Maximum Throughput Factor

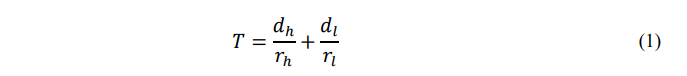
Consider two links, L1 and L2, operating at different rates within each other’s interference range. L1 operates at a high rate, rh, while L2 operates at a low rate, rl. Both links have saturated traffic demand and transmit a certain amount of data dhanddl, respectively. If we consider the period of time during which they can share the medium, then the total number of transmitted packets this time is:

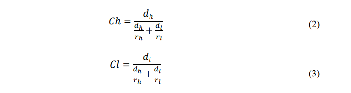
The actual channel through put for high rate (Ch)and low rate (Cl) links are computed as follows:

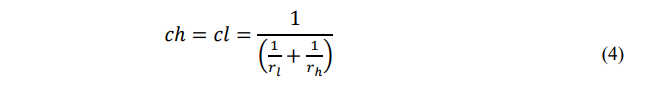
Due to the fairness supported by the CSMA/CA, both nodes will transmit the same amount of traffic. Therefore, we assume dh=dl and we get:

For example, if rh= 54 Mb/s and rl= 6 Mb/s, the actual transmitted throughputch= cl = 5.4 Mb/s, which is far below the bitrate of ahigh-rate link (i.e., 54 Mb/s). Therefore, we can calculate the maximum throughput gained by the access point as follows:

International Journal of Computer Networks & Communications (IJCNC) Vol.15, No.6, November 2023 121
Where nis the number of links and ri is the link rate of node i. The access point’s actual throughput procedure is depicted in Algorithm1. To compute the actual throughput of an access point, the controller maintains global network information. Whenever an AP receives a proberequested message, it sends its statistical information to the SDN Wi-Fi controller. The statistical information consists of the RSSIi,j signal strength between APi and MSj, as well as the number of MSs associated with APi

Let’s define the set of available access points in the network as aps = (ap1, ap2, ap3…apn). The vector of tuples api = [(MSj,RSSI) can be used to represent the statistical information for an access point 𝑖 ∈ 𝑎𝑝𝑠, where MSj is a mobile station with id j and RSSIis the signal strength between access point i and mobile stationj. The algorithm can obtain the transmission rate of each station in the AP’s list based on its RSSI value, as described in the IEEE a/g standard.

Finally, the algorithm computesthe new actual throughput of the access point using Equation 1.

3.3. Maximum throughput first algorithm

This section introduces the proposed algorithm for mitigating the effect of low-rate links on the actual access point throughput. The link rate is computed based on the collected RRSI value between MSjandapi, or it can be computed statically using the SNR calculated from the distances between theMSj and api[2]. In order to increase the network throughput, we focus on redistributing stations in overlapping areas to candidate access points.

The algorithm prioritizes stations that have only one access point in their coverage area, assigning them higher priority for assignment first. In contrast, stations with multiple access points often require assistance in selecting the best access point for maximum throughput. Specifically, mobile stations located in overlapping areas with two or more access points may need to be redistributed to minimize the impact of low-rate links on high-rate links. This is accomplished by considering the number of potential access points available to a station and selecting the one that offers the highest throughput. The computation of the actual throughput is covered in Section IV.

Initially, when the controller receives a new probe-requested message from the access point APi that includes the mobile station IDm, it triggers the MTF algorithm. The algorithm starts by retrieving m’s AP candidate list, which contains all access points that received a probe-requested message from mobile station m. In other words, it is a list of access points within the m’s coverage area.

Let’s define the set of candidate access points of station m as candidate AP = (ap1, ap2, ap3,…apn). To represent all stations in at least one of candidta AP’s coverage areas, we define vector v = [(ms, [(rssi,api)])], where ms is the mobile station and tuple of its candidate access point along with rssi value.

First, the vector v is sorted in ascending order by the number of candidate access points, and only the station with a single candidate access point is visited to be associated with its corresponding access points. Then, the remaining unvisited nodes in v are sorted in descending order by bitrate and stored in a list called sorted Rate(lines 6 to 26).

Next, the MTF algorithm computes the actual throughput for each AP in the candidate AP list for each station in the sorted Rate list using algorithm 4.1(Lines 27–43). Finally, the algorithm selects the access point with the highest throughput value as the best-associated access point and sends an association message to the selected access points(Lines 43–47).

4. PERFORMANCE EVALUATIONS

An evaluation of MTF’s performance in multi-rate dense wireless networks was conducted using MininetWi-Fi, and it was compared to traditional Mininet Wi-Fi access point selection schemes. Figure 2 shows an example of a dense network where multiple access points are located within the convergence zone and all APs are connected to an SDN Wi-Fi controller via the wireless network.

Mininet Wi-Fi is a useful tool for researchers and developers to simulate and test complex wireless networks, allowing them to evaluate the performance of different access point selection schemes. It use a medium to simulate a real wireless channel [37]. The W medium is a userspace simulator for mac80211_hwsim that makes per-frame delay and delivery decisions by simulating some CSMA/CA mechanisms and transmission errors caused by wireless medium conditions. However, to support multi-rate transmission based on the current RSSI value, we needed to modify the W medium. Therefore, we modified the W medium to obtain the transmission rate based on the received RSSI value and the number of retransmission attempts.


Figure 2. Dense wireless network with multiple access points within the coverage.

To evaluate the efficiency of the MTF access point selection scheme in terms of throughput, delay, packet loss, and fairness index [38], we conducted experiments using a variety of simulation topologies. The results were analyzed using Wireshark, and the Iperf server was used to monitor the total traffic generated by the wireless devices. Table 1 shows the network configurations and experiment environment parameters.

Table 1. network configurations and experiment environment parameters.


4.1 Experiment 1: Scenario showing Figure 3

The first experiment aims to demonstrate how the proposed method supports enhanced client access point selection over multiple wireless access points. In the experiment depicted in Figure3, two APs are located at coordinates (250, 250) and (750, 250), respectively. AP1is associated with MS1, and MS2, whereas MS3, MS4and MS5are connected with AP2. MS6is within the coverage areas of both AP1 and AP2.


Figure 3. Example of the AP selection scheme based on multi-rate WLAN.

In this scenario, it is observed that both SSF and LLF associate MS6 with AP1, as it has a higher rate and evenly distributed stations. In SSF, only RSSI is used to determine association. Even if more than one AP is within MS’s range, multiple MSs that enter the network will associate with the highest RSSI, regardless of how loaded an AP is. LLF, on the other hand, determines the association based on the number of stations associated with an access point. However, MTF associates MS6 with AP2 because the throughput would be higher if MS6 was associated with AP1. According to [4], the effective bandwidth of the high data rate link is decreased to a lower effective link capacity of the low data rate link.

According to Equation 5, the overall throughput of the MS6 when it is associated with AP2 is 17.6 while it achieves 2.6 when it is associated with AP1. Hence, the a throughput of MS6 with AP1 is significantly higher than when it is associated with SSF and LLF by 16%. The experiment result as depicted in Figures 4 and 5 shows that MS6 obtains throughput of 3580 kbps if it is associated with AP1, and a throughput of 4270 kbps if it is associated with AP2. Furthermore, it also shows the MS6 obtains a 26.027 ms delay when it is associated with AP1, while it gets 1.100 ms if it is associated with AP2.


Figure 4. SSF and LLF iperf Performance of MS6 When it Associated with AP1.


Figure 5. MTF iperf performance of MS6 when it associated with AP2.

5. Experiment 2: Scenario showing Figure 6

In this scenario, two major evaluations for SSF, LLF, and MTF are investigated: an MS’s association with the APs is indicated, and its performance is measured. In this experiment, three access points are used, and ten mobile stations are custom-arranged on a 500*500 square area, as depicted in Figure 6. The coordinates of the APs are (250, 250), (750, 250), and (350, 450), respectively. Each access point is associated with two mobile stations with varying transmission data rates. MS1 and MS2 have a low rate of association with AP1. MS3 and MS4 are connected to AP2 at a high data rate, while MS5 is connected to AP3. MS6, and MS7 are in the coverage areas of AP1, AP2, and AP3, while MS8, Ms9, and MS10 are in the coverage areas of AP2 and AP3.


Figure 6. Example of the AP selection scheme taking the number of MSs.

Figure7 shows the signal strength received from each access point within a mobile station’s coverage area, while the association results of SSF, LLF, and MTF are shown in Figures8, 9, and 10, respectively


Figure 7. RSSI received by mobile station from each AP.

At the initial condition, in all three mechanisms, all mobile stations 1, 2, 3, 4, and 5 would attach to AP1, AP2, and AP3, respectively, due to only one access point available in their coverage area. The SSF association result for each station in the overlapped area is shown in Figure 8. It is evident from comparing it to the potential RSSI values displayed in Figure 6 that all overlapping stations will connect to the AP with the strongest signal. As a result, mobile stations 7, 9, and 10 are connected with AP2, while stations 6 and 8 are connected with AP3.


Figure 8. SSF scheme distributed MS’s over APs.

In an LLF, as shown in Figure 9, the stations are evenly distributed among the available access points in the overlapping area, regardless of mobile station rate. Therefore, mobile stations 6 and 9 are assigned to AP2, and mobile station 7 is assigned to AP1. However, the LLF experiences a lower level of RSSI, as stations may be associated with a low RSSI instead of a high RSSI.


Figure 9. LLF scheme distributed MS’s over APs.


Figure 10. MTF scheme distributes MSs over APs.

On the other hand, as depicted in Figure 10, MTF distributes the stations in the overlapped areas based on the actual throughput achieved by the access point. Therefore, mobile stations 6, 7, and 9 are assigned to AP3, while mobile stations 8 and 10 are associated with AP2. Table 2 shows the number of stations per access point for the comparative schemes.

Table 2. Summary of the number of stations per access point.


In addition to observing the association and RSSI values acquired at each station, performance measurement is also conducted to evaluate access point selection schemes in multi-rate wireless networks. In this experiment, each station sends 10 Mbps of traffic to the iperf server on terminal host h1. Three performance metrics are measured in this experiment: throughput, delay, and packet loss. The results are depicted in Figure 11(a,b, and c). Based on the evaluation results, the MTF mechanism yields better performance compared to SSF and LLF in terms of throughput by 55%, and 51%, respectively, and packet loss by 0.40% and 0.44%, respectively.


(a) . Throughput


(b) . Packet end-to-end Delay


(c) . Packet Loss

Figure 11 . Performance evaluation of SSF, LLF and MTF

This is because the MTF algorithm selects the access point based on the actual throughput selection metric, which takes into account the effect of low-rate links on the overall access point throughput. As a result, in addition to ensuring a higher RSSI, the algorithm also ensures a higher actual throughput provided by the associated access point while maintaining a fair distribution of stations among the available access points in overlapping areas. However, there is a 5.86% decrease in performance in terms of delay. This is due to the additional process that needs to be done to calculate the RSSI value in the network system.

4.2 Experiment 3: General scenario

To evaluate the performance of AP selection schemes, we experimented using a grid of nine access points distributed across a 500 by 500 square area. The number of mobile stations (MSs) in the network varied between 15 and 30 nodes. The locations of the MSs were randomly generated using the sets NS2 tool [39]. We repeated the experiment ten times and calculated the average throughput to assess the performance of the AP selection schemes under different conditions.

The results presented in Table 3 highlight the impact of low-rate links and the number of association nodes on the performance of the AP selection schemes. This indicates that the throughput achieved by all AP selection schemes is very close and limited by low-rate links. However, as the number of nodes in the network increases, the performance of MTF outperforms that of SSF and LLF, with a slight improvement in terms of throughput. On average, over 10 experiments, the throughput of MTF improved by 20% and 10% compared to SSF and LLF, respectively, as observed with 20 nodes. Additionally, the fairness of MTF is significantly better than that of SSF and LLF, indicating that MTF can provide higher throughput for a larger number of MSs.For instance, at node 30, MTF outperformed SSF and LLF by 77% and 29%, respectively.

The poor performance of SSF is due to the access point it selects, as it connects the MS to an access point that provides a higher RSSI value. Consequently, it is possible to connect to an access point used excessively by many nodes while others are underutilized.

The LLF, on the other hand, achieves better results by evenly distributing the nodes among the access points. However, its improvement is limited because it ignores channel competition among different rates, where low rates require more completion time.

Table 3 . Throughput and Jain’s fair index of SSF, LLF , and MTF with different numbers of MSs


Table 3 also indicates that SSF outperforms LLF in terms of throughput and fairness for a small number of nodes. This is because LLF distributes the nodes randomly without considering the link rate, which may result in an access point being assigned a low-rate link instead of a highrate link. Although the fairness of LLF is much better than that of SSF, it is evident that LLF’s performance is limited by its lack of consideration for link rates.

On the other hand, MTF improves the fairness of MSs without reducing throughput compared to SSF and LLF. This is because MTF can redistribute links to maximize throughput. The MTF scheme calculates the throughput of each access point based on the redistribution of stations among the available access points. If the throughput improves, the controller will re-associate the affected stations with the new access points. As a result, the MTF can mitigate throughput reductions caused by low-rate links.

4.3 Experiment 4: Handover scenario

To evaluate the MTF mechanism in a handover scenario, a Mininet Wi-Fi experiment is conducted. Two APs working in mode g are arranged horizontally, and three stations move simultaneously from the transmission range of AP1 through the transmission range of AP2 and AP3. Initially, all stations connect to AP1 since it is the only AP within range. As the stations move, they experience a relatively low signal in AP1, which gradually increases as they approach the overlapping areas of AP2 and AP3. As expected, when the stations move away from the center of the current AP, the signal value decreases. This experiment shows the mobility of MS1, MS2, and MS3 in the overlapping region, as shown in Figure 12.


Figure 12. Throughputbehavior of SSF,LLF and MTF with wireshark

In this experiment, we set the simulation time to 100 seconds and each station transfers data to the target at a rate of 10 Mbps.

Figure 12 illustrates that, for most of the experiment’s duration, LLF achieves a higher transfer rate than SSF. The reason for LLF’ getting a higher transfer rate than SSF for most of the experiment’s duration, as shown in Figure 12, is twofold. Firstly, SSF connects the mobile station with the strongest RSSI signal and disregards the overall throughput. Secondly, SSF associates the mobile station with an AP that has a higher RSSI, regardless of the number of associated stations.

Figure 12 also shows how the proposed algorithm maintains a reasonable and better performance over the whole experiment time slot. MTF significantly increased the overall throughput and maintained higher packets per second by re-associating the mobile station with the best available access point that gives the highest network throughput regardless of the RSSI value.

6.CONCLUSIONS

Maximum Throughput The First access point selection scheme (MTF) is a proposed algorithm that aims to improve the existing association currently supported by the SDN wireless network emulator, Mininet Wi-Fi. The main objective of MTF is to mitigate the impact of low-rate links on network throughput by redistributing mobile stations among overlapping access points based on a maximum throughput decision metric. The MTF considers the parameters of actual throughput achieved by the access point and the number of associated stations as selection metrics in the association decision. The simulation results show that MTF provides better performance, especially in multi-rate environments.

In the future, this research will employ machine learning techniques to predict when a link is likely to experience a low rate, and this information will be used to start the access point selection process. Additionally, a dynamic threshold mechanism that adjusts the threshold value in response to user experience could improve the MTF and provide better service for delaysensitive applications. Finally, we plan to use a testbed from the real world to evaluate our proposed scheme.

REFERENCES

[1] I. E. E. E. 802 LAN/M. A. N. Standards Committee and others, “Wireless LAN media access control (MAC) and physical layer (PHY) specifications,” http://standards. ieee. org/getieee802/, 2009.
[2] Hassen Abd-Almotaleb Mogaibel, Mohamed Othman, Shamala Subramaniam, and Nor Asilah Wati Abdul Hamid, “Channel Reservation Scheme Based on AODV Routing Protocol for Common Traffic in Wireless Mesh Network,” in 2010 Second International Conference on Computer and Network Technology, 2010, pp. 168-174.
[3] Hassen Mogaibel, Mohamed Othman, Sharmala Subramaniam, and Nor Asilah Wati Abdul Hamid, “On-demand Multi-Rate, Carrier Sense and Hidden Node Interference-Aware Channel Assignment Scheme in Wireless Mesh Network,” Journal of Telecommunication, Electronic and Computer Engineering (JTEC), vol. 8, pp. 61-65, 2016.
[4] Kate Ching-Ju Lin and Cheng-Fu Chou, “Exploiting multiple rates to maximize the throughput of wireless mesh networks,” IEEE Transactions on Wireless Communications, vol. 8, pp. 6038-6049, 2009.
[5] Sakir Sezer et al., “Are we ready for SDN? Implementation challenges for software-defined networks,” IEEE Communications Magazine, vol. 51, pp. 36-43, 2013.
[6] Alessandro Raschellà et al., “AP selection algorithm based on a potential game for large IEEE 802.11 WLANs,” in NOMS 2018-2018 IEEE/IFIP Network Operations and Management Symposium, 2018, pp. 1-7.
[7] Ramon R. Fontes, Samira Afzal, Samuel H. B. Brito, Mateus A. S. Santos, and Christian Esteve Rothenberg, “Mininet-WiFi: Emulating software-defined wireless networks,” in 2015 11th International Conference on Network and Service Management (CNSM), 2015, pp. 384-389.
[8] Harashta Tatimma Larasati et al., “Performance evaluation of handover association mechanisms in SDN-based wireless network,” in 2017 3rd International Conference on Wireless and Telematics (ICWT), 2017, pp. 103-108.
[9] Chia-Ying Lin, Wan-Ping Tsai, Meng-Hsun Tsai, and Yun-Zhan Cai, “Adaptive load-balancing scheme through wireless SDN-based association control,” in 2017 IEEE 31st International Conference on Advanced Information Networking and Applications (AINA), 2017, pp. 546-553.
[10] Meenaxi M. Raikar et al., “Access Point Load Aware User Association Using Reinforcement Learning,” in 2022 2nd Asian Conference on Innovation in Technology (ASIANCON), 2022, pp. 1- 5.
[11] Min Peng, Guoyin He, Lusheng Wang, and Caihong Kai, “AP selection scheme based on achievable throughputs in SDN-enabled WLANs,” IEEE Access, vol. 7, pp. 4763-4772, 2018.
[12] Hieu Trong Dao and Sunghwan Kim, “Effective channel gain-based access point selection in cellfree massive MIMO systems,” IEEE Access, vol. 8, pp. 108127-108132, 2020.
[13] Abhijit Sarma, Shantanu Joshi, and Sukumar Nandi, “Context Aware Mobile Initiated Handoff For Performance Improvement In IEEE 802.11 Networks,” International journal of Computer Networks & Communications, vol. 3, pp. 48-66, May 2011. [Online]. https://doi.org/10.5121/ijcnc.2011.3304
[14] Hassen Abd-Almotaleb Mogaibel and Majed Hashim, “Performance Evaluation of Access Point Association Mechanisms in Multi-Rate SDN-Based Wireless Network,” Journal of Xidian University, vol. 17, pp. 1148 –1157, 2023.
[15] Biao Zhang, Xiangming Wen, Zhaoming Lu, Tao Lei, and Xiaoguang Zhao, “A fast handoff scheme for ieee 802.11 networks using software defined networking,” in 2016 19th International Symposium on Wireless Personal Multimedia Communications (WPMC), 2016, pp. 476-481.
[16] Arkadeep Sen and Krishna M. Sivalingam, “An SDN framework for seamless mobility in enterprise WLANs,” in 2015 IEEE 26th Annual International Symposium on Personal, Indoor, and Mobile Radio Communications (PIMRC), 2015, pp. 1985-1990.
[17] Luis Sequeira et al., “Building an SDN enterprise WLAN based on virtual APs,” IEEE Communications Letters, vol. 21, pp. 374-377, 2016.
[18] Kazuya Tsukamoto, Yuji Oie, Shigeru Kashihara, and Yuzo Taenaka, “Seamless handover management scheme under multi-rate WLANs,” in Proceedings of the 8th International Conference on Advances in Mobile Computing and Multimedia, 2010, pp. 148-158.
[19] Wireless L. A. N. Working Group and others, “Ieee standard part 11: Wireless lan medium access control (mac) and physical layer (phy) specifications,” IEEE Std, pp. 802-11, 2012.

[20] Yayu Gao, Xinghua Sun, and Lin Dai, “Sum rate optimization of multi-standard IEEE 802.11 WLANs,” IEEE Transactions on Communications, vol. 67, pp. 3055-3068, 2018.
[21] Kiran Nahida et al., “Handover based on AP load in software defined Wi-Fi systems,” Journal of Communications and Networks, vol. 19, pp. 596-604, 2017.
[22] Chantakarn Pholpol and Teerapat Sanguankotchakorn, “Traffic Congestion Prediction using Deep Reinforcement Learning in Vehicular Ad-hoc Networks (vanets),” International Journal of Computer Networks & Communications (IJCNC), vol. 13, pp. 1-19, 2021.
[23] Chen Chen, Cong Wang, Hongyun Liu, Mingcheng Hu, and Zhiyuan Ren, “A novel AP selection scheme in software defined networking enabled WLAN,” Computers & Electrical Engineering, vol. 66, pp. 288-304, 2018.
[24] Shirong Lin, Nan Che, Fei Yu, and Shouxu Jiang, “Fairness and load balancing in SDWN using handoff-delay-based association control and load monitoring,” IEEE Access, vol. 7, pp. 136934- 136950, 2019.
[25] Ze Chen, Sohaib Manzoor, Yayu Gao, and Xiaojun Hei, “Achieving load balancing in high-density software defined WiFi networks,” in 2017 International Conference on Frontiers of Information Technology (FIT), 2017, pp. 206-211.
[26] Min Peng, Guoyin He, Lusheng Wang, and Caihong Kai, “AP selection scheme based on achievable throughputs in SDN-enabled WLANs,” IEEE Access, vol. 7, pp. 4763-4772, 2018.
[27] Soung Chang Liew, Cai Hong Kai, Hang Ching Leung, and Piu Wong, “Back-of-the-envelope computation of throughput distributions in CSMA wireless networks,” IEEE Transactions on Mobile Computing, vol. 9, pp. 1319-1331, 2010
[28] Toni Adame, Marc Carrascosa, Boris Bellalta, Iván Pretel, and Iñaki Etxebarria, “Channel load aware AP/Extender selection in Home WiFi networks using IEEE 802.11 k/v,” IEEE Access, vol. 9, pp. 30095-30112, 2021.
[29] Mohamed Amine Kafi, Alexandre Mouradian, and Veronique Veque, “Offline qos association scheme based on clients priorities and demands in wlan networks,” in 2019 IEEE Global Communications Conference (GLOBECOM), 2019, pp. 1-6.
[30] Omar A. Aldhaibani, Alessandro Raschellà, Ghulam Mohi-Ud-Din, and Michael Mackay, “A User Prioritisation Algorithm for Horizontal Handover in Dense WLANs,” International Journal of Wireless Information Networks, pp. 1-13, 2022.
[31] Wenhao Chen and Guangtao Xue, “Sociality analysis in wireless networks,” in 2015 15th IEEE/ACM International Symposium on Cluster, Cloud and Grid Computing, 2015, pp. 999-1008.
[32] Muhammad Salman, Jin-Ho Son, Dong-Wan Choi, Uichin Lee, and Youngtae Noh, “DARCAS: Dynamic Association Regulator Considering Airtime Over SDN-Enabled Framework,” IEEE Internet of Things Journal, vol. 9, pp. 20719-20732, 2022.
[33] Basima Kurungadan and Atef Abdrabou, “A Software-defined Delay-aware Traffic Load Control for WiFi-based Smart City Services,” in 2021 International Conference on Computer, Information and Telecommunication Systems (CITS), 2021, pp. 1-5.
[34] Basima Kurungadan and Atef Abdrabou, “Using Software-Defined Networking for Data Traffic Control in Smart Cities with WiFi Coverage,” Symmetry, vol. 14, p. 2053, 2022.
[35] Hira Manzoor et al., “An SDN-based technique for reducing handoff times in WiFi networks,” International Journal of Communication Systems, vol. 34, p. e4955, 2021.
[36] Suzan Bayhan, Estefanı́a Coronado, Roberto Riggio, and Anatolij Zubow, “User-AP association management in software-defined WLANs,” IEEE transactions on network and service management, vol. 17, pp. 1838-1852, 2020.
[37] Source code of wmediumd used in Mininet-WiFi. [Online]. URL:https :/ /github.com/ramonfontes/wmediumd
[38] Rajendra K. Jain, Dah-Ming W. Chiu, William R. Hawe, and others, “A quantitative measure of fairness and discrimination,” Eastern Research Laboratory, Digital Equipment Corporation, Hudson, MA, vol. 21, 1984.
[39] The Network Simulator-ns-2. [Online]. http://www.isi.edu/nsnam/ns/

AUTHORS

Hassen A. Mogaibel received his bachelor degree in computer science, University of Al-Ahgaff, Yemen, in 2001, and master of Computer Science, University Putra Malaysia (UPM) in 2008.PhD. (UPM) in 2016. Now, he is a senior lecturer at the Department Information Technology, Faculty of Computer Science and Engineering, Al-Ahgaff University. His research interests are high speed wireless networks , wireless mesh network, SDN network and network security.

Majed Hahsim received hirBsc degree in Electronic and Communication Engineer from Hadhramout University at 2003. Currently he is working in the Hadhramoutuniversity information technology center, department of networking. His research interest includes network design and optimization,wireless networks, Internet of Things and software defined networking.

Leave a comment

Information

This entry was posted on December 13, 2023 by .