International Journal of Computer Networks & Communications (IJCNC)

AIRCC PUBLISHING CORPORATION

IJCNC 02

OPTIMIZE THE NETWORK CODING PATHS TO
ENHANCE THE CODING PROTECTION IN
WIRELESS MULTIMEDIA SENSOR NETWORK

Mohammad Javad Abbasi, A. S. Abdullah and N. Fisal
MIMOS CoE in Telecommunication Technology, Faculty of Electrical Engineering,
Universiti Teknologi Malaysia (UTM), 81310 Johor Bahru, Johor, Malaysia

ABSTRACT
Efficient protection techniques for multimedia data transfer over Wireless Sensor Network (WSN) are very essential issues. In noisy Wireless Multimedia Sensor Networks (WMSN) Quality of Service (QoS) is a challenging task due to bandwidth and limited energy, and unpredictable channel conditions. Therefore, Forward Error Correction (FEC), a class of channel coding has been widely used in WSN. Nevertheless, the bulky size of multimedia data makes it more difficult to be transported overthe noisy multi-hop wireless network. Moreover, the efficiency of FEC drops as the number of hops increases. In this paper, an optimized protection technique based on network coding and rateless code has been proposed to enhance the throughput and reduce overhead during data transfer in WMSN. The performance of NCP-OPR is enhanced via Optimal Network Path Model (ONPM) where the best available paths are optimally selected using Particle Swarm Optimization (PSO). In conjunction with the proposed protection scheme, the proposed ONPM is intended for limited power WSN by optimally distributing the power usage among the network paths so that the throughput can be improved.

KEYWORDS
Optimal Network Path, network coding, Particle Swarm Optimization, rateless and Wireless Sensor

1. INTRODUCTION
The rise of consumer demand has fostered the development of various new technologies for multimedia applications. In communications, the multimedia functionality has become one of the standard specifications in almost all communication gadgets [1]. It can be observed that most of multimedia functions are closely related to the entertainment applications such as sound, picture, animation, and video [2]. Research on multimedia communication that provides high Quality of Service (QoS) to consumers is critical as multimedia and communication technologies provide a significant impact on the society. One of the communications fields that are currently going through extensive development of multimedia applications is the Wireless Sensor Network (WSN) technology. WSN must be designed with robustness in dynamic topology and features self-organized characteristics since most of the applications of WSN technology require sensor nodes to perform unattended functions once deployed in a targeted area [3]. Besides, the performance of WSN technology is also restricted to constraints such as inadequate power resources, limited bandwidth, small memory size, and low processing capability [4, 5]. The most commonly simple and small data transfer applications include temperature, distance, humidity, etc. [6]. Even with all those constraints, the development of the technology has moved forward to a more challenging task to.

include multimedia data transfer. With the bulky size of data in conjunction with the constraints, the implementation of multimedia data transfer in WSN poses significant challenges [23]. Author in [7] introduced a network coding with crowdsourcing-based trajectory estimation NC/CTE) approach for data relay in vehicular network which key point were predesigned in movement area. At various time each vehicular estimates the key points discovered by the other vehicular node using a crowdsourcing method in the explored area which based on GPS pre trajectory navigation. In [8] author proposed a cross-layer systematic method for the navigation of network coding based on MAC protocols in correlated moderate blurred conditions, which last two hubs are helped by a some of node to trade information packages. This method controls channel access between a set of nodes and can use NC to minimize the total number of transmissions, which can increase the networks’ performance in terms of QoS.

Various paper have proposed different network coding methods in vehicular networks to improve multi-hop routing protocols. In [7-8], a multi-hop communication method were was introduced for time-basic emergency messages (EMs) dispersal. This introduced approach trinary apportioned black-burst-based protocol (3P3B) used mini-distributed interframe space (DIFS) device and trinary packing at the system layer at the medium access control (MAC) sub layer. Author in [9-15] introduced fuzzy broadcast (FUZZBR), a fuzzy logic based multi-hop communicate method, where has a minimum overhead of massage because of its utilization of just specific transfer hubs for data.

In [25], the authors has combined the network coding technique and multi-paths network in development of protection scheme in optical network. This idea can be adapted for WSN environment where the encoded packet and its constituted packets can be transmitted simultaneously through multiple paths in the network. However, the loss of more than one transmitted packets will caused the decoding process to be impossible. Furthermore, the possibility of occurrence of two or more packet loss increase as the number of hops increase which make it impractical to be applied in the network with large number of hops. Alternatively, certain transmission technique can be used in multi-paths network to reduce packet loss rate of a transmitted packet. The idea is that, the packet is transmitted in multiple copies via several paths from the source to the destination. This is to increase the packet survival rate since the possibility of the transmitted packet reaches the destination is higher as the number of copies of the packet is higher. However, this technique consumes too much power due to the large number of paths involved. This situation is not applicable especially in power limited WSN.

This paper will focus on the optimization of the network model via optimally selecting the transmission paths. The work in this paper will elaborate the optimization design approach to select the best paths out of the available number of paths in the network in order to realize packet transmission with the lowest probability of packet loss. The optimization framework will consider the loss rate of the paths in the networks, the power level of the relay nodes and the transmission cost. The performance of the scheme with the optimized network model has been evaluated and the results are showed in this paper. The results study the effect of link quality, node power, image size and loads on the system performance

The rest of this paper is organized as follows. Section 2 provides a main optimization which include ONPM design approach and Optimization using PSO to enhance the throughput and reduce overhead during data transfer in WMSN. In Section 3 we evaluate the effectiveness of ONPM through simulations and compare it with existing algorithms. Finally, Section 4 presents the concluding remarks.

2. OPTIMIZATION
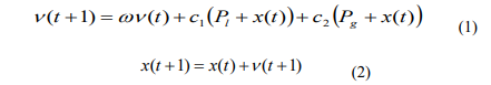
Optimization is a mathematical technique which is used to find the optimal value of certain parameters based on certain functions. It is known to be introduced in [16]. Since then, varieties of optimization techniques have been introduced and widely used in numerous applications. This is most probably due to the massive computational efforts that increase exponentially with the problem size and eventually helps to the NP and unsolvable solutions [17]. Particle Swarm Optimization Particle Swarm Optimization (PSO) is a population-based stochastic optimization algorithm which is primarily based on social behavior of schools of fishes, flocks of birds and swarms of bees [18]. In fact, PSO has been promising optimization tools due to its simplicity, fast convergence and high searching ability [22, 24]. The solution to the optimization problem is acquired using the velocity and position of the particle in the search space after certain number of iterations. Equation (1) and (2) is used to update the velocity and position of the particle during iteration process. Given that, v(t) and x(t) are the velocity and position of the particle at time t respectively while the updated velocity and position of the particle at time t+1 is represented by v(t+1) and x(t+1).

where ω is called the inertia weight. Variables c1 and c2 are positive constants that represent the social and cognitive components respectively. v(t) controls the direction of particle movement while avoiding large direction changes. The performance of the particle based on the local experience and the performance of the particle based on their neighbors are measured by ( ) 1 c P x tl and  ( ) 2c P x tg respectively. Both the local and global components are depending on c1 and c2 respectively. Both global and local best will assist the particle to discover the best possible position and velocity at time (t+1).

2.1. Onpm Design Approach
Figure 1 illustrates the example of ONPM process for the proposed OPR-NCP in a network of two sources and five paths. In this example, ONPM process has to select three transmission paths consisting of two active paths and one protection path. Basically, the process is carried out by the destination node instead of the source or relay nodes. This is due to two reasons. Firstly, the destination node usually has no resources constraint. This eventually reduces the power consumption at the relay nodes to deploy the ONPM process. Secondly, the destination node has direct connectivity to each path and indirect connectivity to the source nodes through the available paths in the network. This is crucial since the network status information required by ONPM process which are packet loss rate, transmissions cost and relay nodes power level can be transferred to the destination node via the connectivity established.


Figure 1. Process flows of ONPM in five paths network

Based on the example in Figure 1, the ONPM process begins with gathering of information regarding nodes power levels and transportation cost by the destination node. Throughout information gathering step, the quality of each link in each path is used to compute the packet loss rate of the path (refer to Step 1). Then, the PSO algorithm is initiated using information gathered as in Step 2. In Step 3, the path selection is notified to the sensor nodes of the selected paths and the source nodes. The destination node will transmit the information of the decision to the source nodes through the selected paths. After receiving the information on the selected paths, the source nodes will initiate packets transmission process according to OPR-NCP scheme.

The ONPM process is repeated periodically so that the best paths for packets transmission can be updated regularly. This is to allow the relay nodes power to be evenly consumed. In ONPM scheme, a parameter called optimization repetition interval, τ is introduced. This parameter determines the number of transmission sessions allowed after the transmission paths are updated. In ONPM repetition, the information required as in Step 1 can be attached to the transmitted packets by the relay nodes of the selected paths during packet transmission process. This is to avoid the needs of additional transmissions in order to transmit the status information of relay nodes of the current transmission paths. Simultaneously, the relay nodes of non-transmission paths will transmit their status information to the destination node according to Step 1.


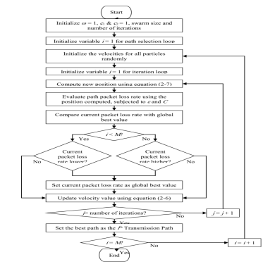
Figure 2. ONPM optimization process flow

2.2. Optimization Using PSO
As described in the previous section, the second step of the proposed ONPM scheme is to optimally select the best M number of paths out of L available paths in the network for the packet transmission process. During the optimization process, the network status information gathered by the destination node will be considered as one of the path selection criteria. The destination node initiates the PSO algorithm according to the flow depicted in Figure 2.

As mentioned earlier, the paths selection criteria are as follows. The selection of M-1 paths is conducted by optimally selecting the paths with the lowest packet loss rate. These paths will be functioning as active paths in the network. Meanwhile, the selection of the last path is done by optimally selecting the path with the highest packet loss rate. This path will be used as a protection path. An example of path selection for nine paths network based on this criteria is presented in Figure 3. The computation of the absolute packet loss rate of a transmitted packet via the selected paths in the example is provided in Table 1

Basically, there is possibility to have a significant difference between the highest and the lowest packet loss rate of the paths in the network. Based on the example in Figure 3, the highest and the lowest packet loss rates are 0.4 and 0.01 which belong to Path 1 and Path 3 respectively. As long as the lowest packet loss rate is considerably low, the recovery process may not be critically required since the active paths are able to provide reliable transmission due to low packet loss.

rate. In protection path, the number of packet loss is expected to be significantly higher than in active paths since the packet loss rate is high. However, the effect of this occurrence to the system performance may not be significant since there is less packet recovery required by the active paths. Furthermore, packet loss in the protection path can be recovered with high possibility using the transmitted packets in active paths.

As for comparison, the example of paths selection and computation of the absolute packet loss rate for the normal paths selection model is also included in Figure 4 and Table 1respectively. In performance analysis of the proposed ONPM, the normal network model will be used as comparison with the proposed model. Based on the best paths selection, all M paths assigned to the paths with the minimum packet loss rate. It can be showed that the packet loss rate for the first and second path selections using this criterion are less than the paths selection of ONPM. However, the third paths selection using this criterion yield a significantly high absolute packet loss rate compared to the ONPM. According to the result the average of the packet loss rate using this criterion is more than the ONPM where most of packet lost rate will happen in the third set of transmission paths. The reason to this occurrence is that, most of the paths with low packet loss rate have been used as transmission paths including the protection path although the packet loss recovery may not be critically needed.

Table 1. Absolute packet loss rate computation



Figure 3. Paths selection using ONPM scheme


Figure 4. Paths selection using normal scheme

3. ONPM PERFORMANCE ANALYSIS
In this section, the performance of the OPR-NCP scheme in the proposed biologically-inspired network model is analyzed and evaluated. The simulation is conducted using the network model depicted in Figure 5. Twentyseven of the nodes are arranged in a grid form which produces a total of 9 paths with 3 hops each. Two stand still images “Pepper and mandrill” are used in the simulations. The standard network parameters settings are listed in Table unless it is stated to be otherwise while the optimization parameters are tabulated in Error! Reference source not found..


Figure 5. Simulation network model

Table 2. Model parameter settings of WMSN


Table 3. PSO parameter settings


The simulation is divided into several experiments in order to analyze the performance of the proposed network model. The results presented begin with exhaustive search of the PSO parameters value. Effect of node power, link quality and loads are also provided subsequently. Analysis is done using two performance metrics which are structural similarity index (SSIM) and normalized throughput. According to the result from the average of the data sets of 1000 times experiment repetitions. The performance of the proposed network coding using ONPM and normal network, and the conventional transmission technique are compared. In conventional transmission technique, each source is assigned with one transmission path. The transmission.

process is conducted according to the traditional amplify and forward strategy in [19]. Since there are nine paths available in the network, each source is expected to use four paths consecutively which are selected according to the normal paths selection scheme explained in next section. The remaining one path will be left unused.

3.1. Optimization Parameters Value
In this research, the PSO algorithm is conducted using parameter settings tabulated in Error! Reference source not found.. In the simulation Value of each parameter is selected from the searching by testing several parameter values which depicted in Table 3. Besides, the optimization repetition interval is also acquired in this test. Parameter value that provides the lowest packet loss rate in the test will be used in the simulations performance analysis of the proposed ONPM. The following are the results of the test carried out on several parameter values.

3.1.1. Acceleration Constants
The cognitive, c1 and social, c2 parameters which are called acceleration constants determine a particle searching behavior relative to its past experience and the overall swarm experience respectively [20]. Basically, small acceleration constants value will limit the searching capability of the particle which eventually causes it to be less effective although the number of iterations is large. Moreover, the particle may diverge due to too large acceleration constants [21]. The experiments are conducted in two different swarm sizes which are one and nine particles. For each swarm size, the results of 1, 5 and 10 number of iterations are collected. The results of both one and nine particles are depicted in Figure 6 and Figure 7 respectively.

The best acceleration constant for one swarm particle in this experiment is four since it provides the lowest packet loss rate as illustrated in Figure 5. The best value in this case is obtained from both 5 and 10 iterations. As described previously, the large number of iterations may be required for large acceleration constants. Furthermore, for nine particles experiment, it could be shown that the acceleration of value one gives the minimum packet loss for three iterations tested as shown in Figure 7. Since the swarm size is sufficiently large to cover all possible solutions, the optimization can determine the best solution although the number of iterations used is one. Therefore, the acceleration constants value is set to be unity in the performance analysis of the proposed ONPM.


Figure 6. Packet loss rate for different acceleration constants in one particle swarm


Figure 7.Packet loss rate for various acceleration constants in nine particles swarm

3.1.2. Inertia Weight
Based on PSO schemes, inertia weight is a constant used to find the discovery of best solution of the particle in the search space [21]. With a sufficiently large value, the inertia weight allows the swarm to move around the search space freely and determine the global best region fast [21]. To determine the best value of inertia weight for the performance analysis of the proposed ONPM, two experiments are conducted involving one and nine swarm particles with 1, 5, and 10 iterations. The results of both one and nine swarm particle experiments are illustrated in Figure 8 and Figure 9 respectively.

Based on both figures, the determination of inertia weight in one and nine swarm particles shows nearly similar performance to the acceleration constants experiments. However, in one particle experiment (refer to Figure 8.), the lowest packet loss rate is achieved using inertia weight of value larger than or equal to two in ten number of iterations. Due to the same reason as for the acceleration constants, the larger number of iterations will provide lower packet loss rate since there is only one particle in the swarm searching for the optimum solution


Figure 8.Packet loss rate for different inertia weight in one particle swarm

In nine particles experiment (refer to Figure 9), the lowest packet loss rate is obtained at inertia weight of value 0.5 in one iteration. The reason is maybe due to the number of particles used is sufficiently large to allow one of the particles to discover the best solution in a single iteration. Nevertheless, the inertia weight of value one gives a more consistent performance for the three iterations. Furthermore, it is more reliable to use more than one iteration in determining the best solution.


Figure 9.Packet loss rate for different inertia weight in nine particles swarm

3.1.3. Number of Particles and Iterations
From the result illustrated in Figure 10, the best number of swarm particles is nine. It shows the minimum packet loss rate in the experiment. The lowest packet loss rate is obtained using a single number of iteration and it sustains larger number of iterations used. It can also be observed that ten particles also provide almost the same packet loss rate as nine particles for all number of iterations tested. On the other hand, packet loss rate is higher when smaller number of particles is used. This is maybe due to the small number of paths in the network that can easily be discovered by each particle in the swarm. However, in the case where the number of particles is smaller than nine, some of the paths may not be discovered in the first iteration. This indicates that the best path can be discovered using larger number of iterations.


Figure 10. Packet loss rate for different number of iterations

3.1.4. Optimization Repetition Interval
As mentioned earlier, the repetition interval limit the number transmission session allowed after each optimization process. This parameter is essential since it avoid the transmission process to be conducted through the obsolete paths due to outdated paths selection information. This occurs when the repetition interval is too large. On the other hand, this parameter also reduces the network power from the unnecessary optimization process which may provide the same decision as the previous one. This situation occurs when the repetition interval is small. In general, small value of repetition interval will consume more network power while large value will cause outdated of optimization information. Therefore, the result of the test provided in Figure 11, illustrates that the repetition intervals that provide the lowest packet loss rate are 4 and 5. Basically, higher repetition interval value reduces the power consumption in conducting the paths selection process. Hence, the repetition interval of value 5 will be used in the performance analysis of the proposed ONPM.


Figure 11. Packet loss rate for several Optimization Repetition Intervals

3.2. Effect of Node Power
In the simulation, the effect of power level at every node on the performance of the system is analyzed. The power required for transmitting/receiving a packet is set to 1 unit. Besides, the power required for transmitting/receiving a status information packet is assumed to be 0.05. The performance of the system is obtained by varying the power, ε of every node in the network from 300 to 3600. Based on the simulation results of the effect of different sensor node powers on the image quality and throughput are illustrated in Figure 12 and Figure 13, respectively


Figure 12. Throughput at different initial node power


Figure 13. Effect of initial node power on image quality

Based on both figures, the throughput and image quality is increasing linearly with the increment of power level from 300 to 1200 unit. Despite, the performance of ONPM in terms of throughput and image quality are improved by average of 7 and 11% respectively within this range. This is due to most of packet loss occurred are caused by node failure which is due to power depletion. Even though there are paths with lower packet loss rate, insufficient power level has caused the relay nodes power in the paths to be exhausted. Therefore, the transmission has to be carried out using higher packet loss rate paths until all relay nodes in the network drawn off power. As a result, the transmission of the remains packets is also failed. Since ONPM is able to consistently control the usage of high and low packet loss rate paths, the number of transmitted packets in the insufficient power network are maximized.

Based on the maximize the power level after 1500 unit illustrated less effect to the image quality and throughput since the sensor node power level is larger than the minimum value required. In this case, packet losses are totally depending on the paths packet loss rate since network power is more than sufficient for the transmission of all packets. The selected paths are also able to allow more packets to be transmitted through it. Therefore, more packets can be transferred via the paths with the lowest packet loss rate as power level increases. This allow the normal network model to perform better than ONPM as can be observed from the results of both throughput and image quality. In Figure 12 and 13, the performance lines of OPR-NCP in both normal network model and ONPM overlap at 1700 unit power level

3.3. Effect of Link Quality
The performance of the system for several link qualities is studied. Let the network be in both insufficient and excess power conditions where each relay node in the network is set to approximately 70% and 130% of ε min respectively for the transmission of 2048 packets. The effects of different link qualities on the similarity index and throughput are illustrated in Figure 14 to Figure 17. In the inspection of all four figures, a common pattern that can be identified is that the performance of OPR-NCP in normal network model and ONPM illustrate almost similar results. This is theoretically true since the ONPM assists the system to use the network resources evenly based on its optimization objective which is the lowest packet loss rate for the first M-1 paths and the highest packet loss rate for the last path. In this simulation, the quality of all links in the network is assumed to be the same. Hence, ONPM will find out that all paths in the network is of the same packet loss rate and therefore, it will choose the first M paths in the network, given that the relay nodes in the paths have sufficient power for the packets transmission process. On the other hand, the normal network model that chooses the paths based on the lowest packet loss rate for all transmission paths faces the same experience. As a result, the performance of OPRNCP in both network models is nearly similar to each other.

In insufficient power conditions, based on Figure 14, it can be observed that even in almost perfect link quality (of value 0.975), the ONPM obtains the similarity index slightly more than 0.6 while the throughput of the network is around 0.7 as illustrated in Figure 15. Since the power level of the relay node is 0.7εmin, the power depletion of the relay nodes occurs much earlier before the transfer process finishes which causes the failure of the packet delivery in the network. At lower link qualities such as 0.6 and 0.8, both power depletion and inconsistent channel condition are the main reasons for packet loss which eventually reduce the image quality and throughput of the ONPM below 0.3 and 0.65 respectively.


Figure 14. Quality of image at different link qualities for ε ≈ 0.7εmin


Figure 15. System throughput at different link qualities for ε ≈ 0.7εmin

In the condition of excess power where the node initial power used is 1.3εmin, Figure 16 and Figure 17 show that the image quality is more than 0.9 while the system throughput approaching 100% respectively at high link quality which is 0.975. It can also be observed that there are around 0.05 and 0.1 increments in the performance of the system for 0.6 and 0.8 link qualities respectively compared to the performance of the experiment in insufficient power condition. This shows that power level has effect on the system performance although the link quality is poor. However, as the link quality gets poorer, the changes between insufficient powers to excess power condition will be less effective to the performance of the system since the number of packet loss is away much than the number of survived packets. The optimization in this case will not enhance the system performance.


Figure 16. Quality of image at different link qualities for ε ≈ 1.3εmin

3.4. Effect of Loads
The size of image to be transported from the source to the destination is extremely related to the network loads. Larger size of image cause heavier load to the network since the number of packets needs to be transferred will increase subsequently. The simulation has been conducted to determine the loads effect on the throughput and image quality. Different image sizes have been considered based on the simulation parameter settings stated earlier. Table 4 provided, sizes of the input image number of transmitted packets and nodes power level are provided in Table 4. The relay nodes power is set to approximately 70% of the total minimum power level required in the transmission of all packets of each image size. The samples of original and received images of 8, 64 and 1024 Kbytes size are also provided in Figure 20 to Figure 22 respectively. These images are obtained from the simulation of OPR-NCP in the proposed ONPM.


Figure 17. System throughput at different link qualities for ε ≈ 1.3εmi

Table 4. Image size and the correlate number of packets and nodes power


Based on throughput and image quality results as depicted in Figure 18 and Figure 19. Respectively, it can be seen that the throughput of the system is not affected by the changes of image size. Intuitively, number of packets transmitted will not affect the system throughput if the ratio of the nodes power level to the total number of transmitted packets is fixed. Given that, the size of packets of each image is fixed while the link quality used must be in the same range.

The reason is that, only 70% of the packets are transmitted by the source since the network has only 70% of the total power. Therefore, the remaining 30% of the packets are considered loss and appear as black area on the image. Besides, packet loss also occurs among the 70% of the transmitted packets. They can be identified from the noises in the images. In small dimension image, the noises scatter in almost all areas of the image as depicted in Figure 20. On the other hand, different noise levels can be distinguished between left and center regions in the large dimension image shown in Figure21. This is primarily due to the paths with the lowest packet loss rate are used during the first approximate 30% of the transmission process. However, as the nodes in the paths are out of power, the new paths with higher packet loss rate will be used which consequently caused higher packet loss. Based on Figure 22 the noise level will maximized subsequently .


Figure 18.. Normalized throughput at different image size


Figure 19.Effect of image size on the output image quality

Figure 20.. Original and received 8 Kbytes images in ONPM (Magnified 800%)


Figure 21.. Original and received 64 Kbytes images in ONPM (Magnified 200%)



Figure 22.Original and received 256 Kbytes images in ONPM (Actual Size)

4. CONCLUSIONS
The optimal paths selection model framework for the proposed network coding scheme is introduced in this paper. The proposed OPNM is used to optimally select the best paths out of several paths available in the network to be used for the packet transmission process. More importantly, it clearly shows that the proper selection of the paths will support distributed energy usage in the network. This is extremely vital for WMSN in which limited energy has been a major performance bottleneck. Therefore, it can be illustrated that the proposed paths selection algorithm is energy efficient and resilient to transmission errors when compared to network coding in a normal network. The works however can be improved in the future to enhanced the performance and eventually make it more practical. The following are some suggestions on the work that can be done in the future on the proposed ideas .

CONFLICT OF INTEREST
The authors declare no conflict of interest.

REFERENCES
[1] Joel JPC, R., Marco, O., and Binod, V. New trends on ubiquitous mobile multimedia applications. EURASIP Journal on Wireless Communications and Networking. 2010. 2010.
[2] Akpan, I.U. and Presly, O.O. Multi-Media Communication Systems for Social Development in Nigeria: A Symbiotic Deconstruction. New Media and Mass Communication. 2013. 10 23-32.
[3] Purohit, N., Agrawal, H., and Jain, A. A New Scheme for Cooperative Communication in LEACH Based Wireless Sensor Network. 2011 International Conference on Computational Intelligence and Communication Networks (CICN). 7-9 Oct. 2011. 47-51.
[4] Shi, B., Weiyi, Z., Guoliang, X., Jian, T., and Chonggang, W. DEAR: Delay-bounded Energyconstrained Adaptive Routing in wireless sensor networks. INFOCOM, 2012 Proceedings IEEE. 25-30 March 2012. 2012. 1593-1601.
[5] Akyildiz, I.F., Melodia, T., and Chowdhury, K.R. A survey on wireless multimedia sensor networks. Computer Networks. 2007. 51 (4): 921-960.
[6] Akyildiz, I.F., Su, W., Sankarasubramaniam, Y., and Cayirci, E. Wireless sensor networks: a survey.
Computer Networks. 2002. 38 (4): 393-422.
[7] L. Li, Z. Yang, J. Wang, Z. S. Kui and Y. Zhu “Network coding with crowdsourcing-based trajectory estimation for vehicular networks,” Journal of Network and Computer Applications, vol. 64, pp. 204-215, 2016.
[8] Antonopoulos, A. S. Lalos, M. Di Renzo and C. Verikoukis, “Cross-Layer Theoretical Analysis of NC-Aided Cooperative ARQ Protocols in Correlated Shadowed Environments,” in IEEE Transactions on Vehicular Technology, vol. 64, no. 9, pp. 4074-4087, Sept. 2015.
[9] W. Libing, F. Jing, W. Jing, N. Lei and W. Hao. “Emergency Message Broadcast Method Based on Huffinan-Like Coding,” Journal of Computer Research and Development, vol. 54, no. 11, pp. 2475-2486, 2017.
[10] F. Liu, Z. Chen and B. Xia, “Data Dissemination With Network Coding in Two-Way Vehicle-toVehicle Networks,” in IEEE Transactions on Vehicular Technology, vol. 65, no. 4, pp. 2445-2456, April 2016.
[11] N. M. A. Brahin, H. M. Nasir, A. Z. Jidin, M. F. Zulkifli and T. Sutikno, “Development of Vocabulary Learning Application by Using Machine Learning Technique,” Bulletin of Electrical Engineering and Informatics, vol. 9, no.1, pp. 362-369, 2020.
[12] M. Mabrok, Z. Zakaria, T. Sutikno and A. Alhegazi, “Wideband power amplifier based on Wilkinson power divider for s-band satellite communications,” Bulletin of Electrical Engineering and Informatics, vol. 8, pp. 1531-1536, 2019.
[13] R. A. Hasan, M. A. Mohammed, Z. H. Salih, M. A. B. Ameedeen, N. Ţăpuş and M. N. Mohammed, “HSO: A Hybrid Swarm Optimization Algorithm for Reducing Energy Consumption in the Cloudlets,” Telecommunication, Computing, Electronics and Control, vol. 16, no. 5, pp. 2144-2154, 2018.
[14] M. A. Ahmed, R. A. Hasan, A. H. Ali and M. A. Mohammed, “The classification of the modern arabic poetry using machine learning,” Telecommunication, Computing, Electronics and Control, vol. 17, no. 5, pp. 2667-2674, 2019.
[15] M. A. Mohammed, R. A. Hasan, M. A. Ahmed, N. Tapus, M. A. Shanan, M. K. Khaleel, et al., “A Focal load balancer-based algorithm for task assignment in cloud environment,” in 2018 10th International Conference on Electronics, Computers and Artificial Intelligence (ECAI), 2018, pp. 1-4
[16] Nash, J.C. The (Dantzig) simplex method for linear programming. Computing in Science & Engineering. 2000. 2 (1): 29-31.
[17] Binitha, S. and Sathya, S.S. A Survey of Bio inspired Optimization Algorithms. International Journal of Soft Computing and Engineering (IJSCE). 2012. 2 (2): 137-151.
[18] Kennedy, J. and Eberhart, R.C. Swarm intelligence. Morgan Kaufmann Publishers Inc. 2001 International Journal of Computer Networks & Communications (IJCNC) Vol.15, No.5, September 202336
[19] El-Darymli, K. Amplify-and-Forward cooperative relaying for a linear Wireless Sensor Network. 2010 IEEE International Conference on Systems Man and Cybernetics (SMC). 10-13 Oct. 2010. 2010. 106-112.
[20] Baguda, Y., Fisal, N., Rashid, R., Yusof, S., Syed, S., and Shuaibu, D. Biologically-Inspired Optimal Video Streaming over Wireless LAN. In: Kim, T.-h., Adeli, H., Fang, W.-c., Vasilakos, T., Stoica, A., Patrikakis, C., Zhao, G., Villalba, J., and Xiao, Y. eds. Communication and Networking. Springer Berlin Heidelberg. 188-197; 2012
[21] Del Valle, Y., Venayagamoorthy, G.K., Mohagheghi, S., Hernandez, J.C., and Harley, R.G. Particle Swarm Optimization: Basic Concepts, Variants and Applications in Power Systems. IEEE Transactions on Evolutionary Computation. 2008. 12 (2): 171-195.
[22] Abbasi, M., Abd Latiff, M. S., Modirkhazeni, A., & Anisi, M. H. (2011). Optimization of wireless sensor network coverage based on evolutionary algorithm. International Journal Computer Communications and Networks, 1, 1-5.
[23] Abdullah, A. S., Abbasi, M. J., & Fisal, N. (2015). Review of Rateless-Network-Coding-Based Packet Protection in Wireless Sensor Networks.
[24] Abbasi, M., Bin Abd Latiff, M. S., & Chizari, H. (2014). Bioinspired evolutionary algorithm based for improving network coverage in wireless sensor networks. The Scientific World Journal, 2014.
[25] Kamal, A.E. and Al-Kofahi, O. Toward an optimal 1+N protection strategy. 2008 46th Annual Allerton Conference on Communication, Control, and Computing. 23-26 Sept. 2008. 16.

Leave a comment

Information

This entry was posted on November 3, 2023 by .