International Journal of Computer Networks & Communications (IJCNC)

AIRCC PUBLISHING CORPORATION

IJCNC 01

ENHANCING HTTP WEB PROTOCOL PERFORMANCE WITH UPDATED TRANSPORT LAYER TECHNIQUES

Ziaul Hossain1 and Gorry Fairhurst2

1 Department of Computing, University of Fraser Valley, Abbotsford, BC, Canada 2

School of Engineering, University of Aberdeen, UK

ABSTRACT
Popular Internet applications such as web browsing, and web video download use HTTP protocol as application over the standard Transport Control Protocol (TCP). Traditional TCP behavior is unsuitable for this style of application because their transmission rate and traffic pattern are different from conventional bulk transfer applications. Previous works have analyzed the interaction of these applications with the congestion control algorithms in TCP and the proposed Congestion Window Validation (CWV) as a solution. However, this method was incomplete and has been shown to present drawbacks. This paper focuses on the ‘newCWV’ which was designed to address these drawbacks. NewCWV provides a practical mechanism to estimate the available path capacity and suggests a more appropriate congestion control behavior. This paper describes how this algorithm was implemented in the Linux TCP/IP stack and tested by experiments, where results indicate that, with newCWV, the browsing can get 50% faster in an uncongested network.

KEYWORDS
Network Protocols, HTTP, TCP, Congestion Control, newCWV, Bursty TCP traffic

1. INTRODUCTION

With the development of the Internet, many applications have gained enormous popularity. Email, VoIP applications, File sharing, etc., each have taken a share of the total Internet traffic, but the largest share is currently Web browsing applications with almost 70% of the total traffic across the Internet [1]. Web traffic traditionally uses the TCP and HTTP [2] [3] protocols for the request and delivery of web page content. There had already been numerous developments across these protocols with a view to improving the performance without proposing any replacement of these standards.

Many of these updates to TCP focus on congestion control with a technique that defines how much data can be transferred from the sender to receiver for an application flow. This ensures that the sending rate of a flow is comparatively safe for the other flows that share the same bottleneck along the path between the sender and the receiver. Many TCP improvements were designed to improve bulk file transfers. These modifications are not suitable for HTTP traffic, which is ‘bursty’ (variable rate traffic with irregular intervals) in nature. This problem has been reported earlier and several attempts had also been made to realise a solution [4][5]. Unfortunately, the existing solutions were still conservative and lacked proper measurement of the available path capacity to set the congestion window (cwnd) – the most important parameter of the congestion control method. This shortcoming limits the performance of bursty applications such as HTTP.

A newer method has been developed termed ‘newCWV’ [6]. When sending bursty or rate-limited traffic, this new method allows a sender to estimate the path capacity more accurately and set the cwnd to an appropriate value accordingly. The rationale for newCWV is presented briefly and the algorithm is explained in [6]. But there is a gap in validating the arguments and also in measurements of the expected application performance improvement with this proposal.

This paper explains the motivation behind developing newCWV in detail and then analyse the web traffic transfer durations to measure improvements. This paper explores an implementation and the integration of newCWV into a Linux stack and running-code experiments to investigate the protocol behaviour of the method. Through experiments, this paper shows that when HTTPlike traffic uses newCWV, there is a significant gain in performance compared to conventional TCP. Web browsing can proceed at approximately 50% faster in an uncongested network with the newCWV.

Section 2 of this paper explains the bursty pattern of the HTTP traffic that we consider, the basics of TCP congestion control and the state of the art to set the background. Then, section 3 explains the modification specified in [6]. Section 4 summarises the experiment and presents the results with discussion. Finally, section 5 concludes the findings.

2. BACKGROUND

To understand the problem of transporting HTTP-like traffic with unmodified TCP, the behavior of these protocols needs to be examined. This section explores the bursty characteristics of the HTTP protocol, the conventional congestion control of TCP and explains the interactions when these are used together.

2.1. Nature of HTTP Traffic

HTTP web traffic is naturally bursty. Burstiness could be termed as a property of an application where the traffic is generated at different rates over its running time. This could be characterised as periods of inactivity separated by periods when the chunks of data are downloaded. [7] showed that popular HTTP applications such as Web video (YouTube), Maps (Google Maps), and Remote Control (Log Me In) all send data downstream at variable rates with peaks up to 400KB/s, separated by periods with no activity. This burstiness is caused by the HTTP request pattern in the client/user application. Besides application behaviour, small-scale burstiness can also be caused by TCP itself.

[8] showed that TCP self-clocking, combined with network queuing delay (due to packets of the same flow or cross traffic) can shape the packet inter-arrivals of a TCP flow resulting in an ONOFF pattern. With a view to modelling the inactivity (OFF) periods of the web clients, [9] showed that the OFF duration could range from a few seconds to many tens of seconds, with a probability of 80% and 10% respectively, which causes burstiness of a TCP connection when requesting content from the server. The cited papers all agree that burstiness has become a common pattern for HTTP traffic. A simple experiment was run that captured packets while accessing a webpage from a browser to capture this bursty traffic characteristics.

Figure 1 shows the resulting burstiness. In this capture, the chunks of data are the results of HTTP GET requests made by the client. It is visible that there are considerable inactive periods
etween consecutive bursts.


Figure 1. Bursty traffic pattern of an HTTP web for a single web page

2.2. TCP Congestion Control

After being first standardized in 1981 by the Internet Engineering Task Force (IETF), TCP was enriched by a series of developments to face numerous challenges occurring in the underlying network. [10] provides a roadmap that described many of these changes.

A basic operating procedure of TCP is explained in the remainder of this subsection.

A TCP sender uses a parameter called the congestion window, or cwnd. This is initialised to the Initial Window (IW) size. It determines the amount of data that can be sent to the receiver before receiving an acknowledgment from the receiver. The value of the cwnd is important, as it ultimately dictates the transfer rate and eventually the response time for an HTTP connection. TCP uses four congestion control algorithms to set the value of this cwnd that were specified by RFC2001, RFC2581, and RFC5681 [11][12][13]. They are Slow Start, Congestion Avoidance, Fast Retransmit, and Fast Recovery.

Slow Start: In the Slow Start phase, a TCP sender sends data limited by the cwnd value and waits for Acknowledgement (ACK) packet from the receiver. Upon receiving an ACK, the value of the cwnd is increased by one segment. So, if a sender sent 4 segments at first (because cwnd = 4), and then receives 4 ACKs for these segments, then after increasing cwnd for each segment, the final cwnd value will be 6, and 6 segments can be sent. As a result of this cumulative increase, the cwnd increases using an exponential function. This continues until it reaches the Slow Start threshold (ssthresh) or the sender discovers congestion or encounters a loss.

Congestion Avoidance (CA): When the cwnd reaches the ssthresh, a limit is imposed on the increase of the cwnd. After this point, the size of the cwnd is only increased by one segment in one RTT. For example, if 8 segments are sent altogether, then when the 8 segments are acknowledged, the cwnd becomes only 4. This corresponds to slower linear growth of cwnd.

Fast Retransmit: When a packet is lost, the subsequent packets are received out of order at the receiver. When this happens, the receiver sends duplicate ACK packets when each segment is received. All the ACK packets acknowledge the same sequence number. Upon receiving the first duplicate ACK, the sender does not immediately act but waits to see if this is a re-ordering issue or a packet loss. When it receives a series of duplicate ACKs equal to the DupACK threshold (3,as currently standardised), the sender TCP retransmits the segment, and resets the congestion state.

Fast Recovery: When a segment is lost, rather than setting the cwnd to the lowest value and then sending packets in sequence, it is assumed that a better approach would be to start from an intermediate value so that the flow is not badly affected. So, after a lost segment has been successfully retransmitted, CA is performed instead of Slow Start. The second is set to (ssthresh + DupACK) segments. This is to virtually inflate the cwnd. Since the packets acknowledged by DupACKs have been received, this means these spcific packets have left the network (i.e. had been received successfully). With each further DupACK, the cwnd is incremented by one segment. When an ACK is received that acknowledges all the data, the cwnd is reset the ssthresh and CA is resumed.

Selective ACK (SACK): SACK acknowledges the reception of out-of-sequence packets. This helps avoid the retransmission of already received packets. Using SACK, the receiver appends a TCP option in the ACK packet that contains a range of non-contiguous data that have been received. This allows the sender to resend only the data that was missing from the flow. Support for SACK is negotiated at the beginning of a TCP connection; it can be used if both ends support the SACK option. [14] showed that NewReno with SACK enabled, requires fewer packet transmissions in the First Recovery phase, reduces unnecessary duplicate transmission, and avoids unnecessary waiting time.

2.3. TCP Variants

Different variants of TCP have evolved using combinations of these algorithms and with modifications to control the data flow and to improve response to network congestion. When a loss is detected, the TCP sender takes measures to control the flow of further packets by reducing the sending rate. Different TCP variants such as Tahoe, Reno, and NewReno, act differently in response to detected congestion.

Tahoe used Slow Start, Congestion Avoidance, and Fast Retransmit. A problem with Tahoe is that restarted from the initial cwnd value after each packet loss. This limited the throughput. To deal with this, Reno implemented Fast Recovery. This effectively recovered a single packet loss within a window. If two or more packets were dropped in the same window, the sender was forced to timeout and restart in Slow Start. To overcome this problem, NewReno uses a modified Fast Retransmission phase based on the research [15][16]. This starts when a packet is lost and ends when a Full ACK is received, which means that all the packets transmitted between the lost packet and the last packet has been successfully received. However, if there are multiple packet drops, then the sender will acknowledge a packet that has a lower sequence number than the last transmitted packet. This is a Partial ACK, and in this case, the lost packet is retransmitted immediately without waiting for receiving duplicate ACKs. This avoids a possible timeout. This ensures better performance than Reno but may need to restart after a timeout if many packets are
dropped from the same window.

When there are multiple losses, SACK provides better performance by enabling the receiver to inform the sender when there are multiple packet losses. A SACK block indicates a contiguous block of data that has been successfully received. The segment just before the first block and the gap between any two consecutive blocks denote lost segments (more accurately, these are segments for which there is no acknowledgment). When the sender receives a SACK option, it can find out which segments may be lost and retransmits them. SACK is widely implemented in the current Internet, usually in combination with NewReno [10]. Therefore, NewReno with SACK is considered a standard congestion control for TCP.

Figure 2 shows the cwnd evolution for different variants with a 50ms path delay. It can be noticed in this figure that after some variation during the early stage (about 3s), all the variants reach a steady state with similar behavior. At time 1s, all variants start in the Slow Start phase and increase the cwnd exponentially until cwnd=ssthresh is reached or after it suffers a loss. When this happens, Tahoe reduces its cwnd to an initial value (IW) and resumes in Slow Start. Once it reaches ssthresh, the sender enters the CA phase (a linear increase of cwnd). Other variants enter Fast Retransmission and Fast Recovery phase, where the cwnd progresses almost linearly.


Figure 2. Congestion Window evolution with time during the simulation

Whenever packet loss occurs (at 1.8s, 5s, and 8.5s for Tahoe) Tahoe enters the Fast Retransmit phase and retransmits the lost packet. The cwnd is set to the restart window (RW) (normally 1 segment) and continues in the Slow Start phase.

NewReno and SACK enter the Fast Recovery stage (at 1.8s for the first loss) where the ssthresh is set to a new value that is half the size of the unacknowledged data and then cwnd is set to ssthresh. At 2s, more losses cause NewReno to fail to recover, and eventually the sender is forced to enter the Slow Start phase. SACK was successful in recovering and eventually followed the CA until it faced another loss. Later, during the simulation, NewReno successfully recovered using Fast Retransmit and Fast Recovery. Then it moves to the CA phase.

2.4. TCP CWV

Standard TCP congestion control required that when an application is idle for a period greater than the Retransmission Timeout (RTO), the cwnd is reset to a small value. So, the next burst of data requires the sender to re-enter the Slow Start phase from this small value. Several RTTs may be consumed before the previous sending rate is again achieved. This approach is too conservative, in that it fails to use available capacity. For a bursty application, this scenario is quite common where each burst is separated by an idle period. As a result, the application performance suffers from this conservative behavior of TCP. 

Figure 3 explains the situation as a diagram. After RTO, the cwnd (the solid bold red line) drops to the RW. Then, it takes time to grow back for the next burst. So, the next burst is unnecessarily delayed while the path capacity might have been enough to transmit the burst in shorter RTTs.


Figure 3. Reducing the cwnd to a low value of RW makes it overly conservative for idle period.


Figure 4. Increasing the cwnd during the application limited period makes it invalid.

On the other hand, during an application-limited period, a Standard TCP sender continues to grow the cwnd for every received acknowledged packet (ACK), allowing the cwnd to reach an arbitrarily large value. However, in this case, the packet probes along the transmission path are sent at a lower rate than permitted by cwnd, so the reception of an ACK does not actually provide evidence that the network path was able to sustain the transmission rate reflected by the current cwnd. The cwnd is then marked as ‘invalid’. Figure 4 explains such a scenario. The actual path capacity, may be significantly lower than the cwnd.

If an application with an invalid cwnd were to suddenly increase its transmission rate, the sender would be allowed to immediately inject a significant volume of additional traffic into the network. This could lead to severe network congestion, potentially harming other flows that share a common bottleneck.

TCP Congestion Window Validation (TCP-CWV), which was first specified in RFC 2861 [4], was proposed as an experimental standard by the IETF. The intention was to find a remedy for the problems imposed by TCP when used by a bursty application. TCP-CWV changed how the cwnd is updated and is to be used during an idle or application-limited period.

TCP-CWV modified the congestion control algorithm of standard TCP during an applicationlimited period when the cwnd had not been fully utilised for a period larger than an RTO.

During an idle period, which is greater than one RTO, TCP-CWV reduced cwnd by half for every RTO period. This is equivalent to exponentially decaying cwnd during the idle period compared to reducing the cwnd in a single step with standard TCP. This is a common traffic pattern for a bursty application, which can have an idle period in the order of seconds – which could be larger than a few RTOs worth of time. As a result, TCP-CWV ultimately reduces to the RW and resulting in performance problems.

Another recommendation of CWV was to set the cwnd according to (w_used+cwnd)/2 for each RTO period that does not utilise the full cwnd, where w_used is the maximum amount that has been used since the sender was last network-limited/and-limited. This avoids a growth of cwnd to an invalid value; it can cause the cwnd to reduce to a value that is close to the current application rate.

This results in two problems:

First, the cwnd should reflect the network capacity for a flow and control the amount of data that the network could sustain. However, CWV tends to set the cwnd according to the traffic pattern and application rate – only seeking to be conservative in the use of network capacity. As a result, the cwnd is set to a lower value that is more conservative than when using standard TCP, which would have allowed larger bursts.

Secondly, CWV used w_used, the amount of data that has been sent by the application, but not yet acknowledged. In an application-limited period where the application is not using the allowed path capacity, w_used does not reveal the available capacity. According to this approach, the cwnd is set to a value that is determined by the application’s sending rate in the last RTO period (last few RTTs), rather than the network capacity. This impacts the application performance where the subsequent bursts are rate-limited and would take a longer to complete. So, the cwnd should not be regarded as the available path capacity for the TCP flow.

In summary, when TCP-CWV was specified in 2000, it identified a need to change the way that TCP reacted to the traffic of bursty applications, but failed to offer a complete solution.

3. TCP NEWCWV: MODIFICATION FOR HTTP-LIKE TRAFFIC

When newCWV was standardised in 2015, it introduced a variable called ‘pipeACK’ that was used to measure the acknowledged size of the network pipe. The pipeACK variable is considered a safe bound for the capacity available to the sender since this represents the actual amount of data that was successfully transmitted in an RTT from the sender to the receiver. This variable can be computed by measuring the volume of data that has been acknowledged by the receiver within the last RTT.

The pipeACK is used to determine if the sender has validated the cwnd. The sender enters the non-validated phase when:

NewCWV also defined a new phase. A sender was allowed to use the cwnd for a period (5 minutes), called the Non-Validated Period (NVP). During the NVP, the cwnd is preserved. The cwnd is stored for several minutes because this is the default server timeout for a TCP connection.

The pipeACK algorithm that kept the history, as explained in [6], tends to express the available path capacity more accurately.


Figure 5. newCWV behavior for bursty traffic (a) pipeACK is calculated every RTT (b) pipeACK is calculated as the maximum of the last 5 samples; this result is more stable .

Figure 5 shows the result, demonstrating the pipeACK (the black line with squares) is more stable in (b) because of keeping history. Using the filter, the cwnd increased more rapidly to a higher value than in the first case (i.e., 60 segments compared to 50 segments in Figure 5). This is a general behavior when a maximum filter is used to calculate the pipeACK variable (case 2) because pipeACK retains a larger cwnd for longer and enters the non-validated phase later than when using a method without a filter. This benefits applications by transmitting bursts quickly, but at the same time it can send larger bursts. TCP pacing could mitigate this problem.

In summary, newCWV brought stability for both the phases of the rate-limiting period and the application-limiting period for HTTP-like traffic. An algorithm was proposed and implemented in the Linux Kernel module, which was used to verify the effectiveness of this modification in the next section.

4. EXPERIMENT, RESULTS & DISCUSSION

This section first describes the network emulation used to explore the behavior of newCWV. Then presents the findings in different scenarios with possible explanations for such behavior.

4.1. Experimental Setup

A network emulation method was chosen to conduct the experiments because this enables an implementation of network protocols to be tested in a controlled environment. The test bed used a dumbbell topology representing a single network path bottleneck (refer to Figure 6).

Client 1 and Server 1 were used to benchmark the newCWV behavior for the main traffic (either HTTP web or HTTP streaming content). Another server (client 2, server 2) was used to inject cross-traffic (in this case a large file transfer using FTP) into a shared network bottleneck. All servers ran Linux kernel version 3.12, and the clients were running 3.8 or greater.


Figure 6. Experiment topology: the bottleneck router imposed a fixed bandwidth and delay between the client and server .

Server 1 acts as a web server or streaming server that used standard TCP (NewReno with SACK). It was installed with the newCWV Loadable Kernel Modules (LKM) for Linux, the traffic generators, and iproute2 utilities (enabling pacing when required) allowing this to be chosen at the start of each experiment.

The comparison plots, shown in the results section, present the improvement in burst transfer time (less time required for transmission) when newCWV is used compared to using a standard TCP (NewReno with SACK). The performance gain in transfer time (% improvement) is calculated by taking an average of the transfer gain over all bursts. The transfer gain was calculated by the following formula, where the time taken using NewReno/SACK is Tr and time taken for a burst with newCWV is Tc: Gain (as a percentage) = ( Tr – Tc ) / Tr x 100.

There is a positive benefit because a burst is transmitted faster or negative impact when a particular HTTP response takes longer to complete due to the additional time for loss and recovery. A positive average of all these values indicates an overall gain in performance – the higher the value, the better.

The table below (Table 1) summarizes the experiment parameters:

The experiments are run across a range of time intervals that represent values that range between HTTP response bursts (idle periods) and HTTP response sizes larger than a particular value (Burst size after idle). The results obtained from multiple iterations of these experiments are averaged to measure the completion time of the HTTP/TCP connections for different combinations of idle periods and burst sizes.

4.2. Comparing Performance Over an Uncongested Path

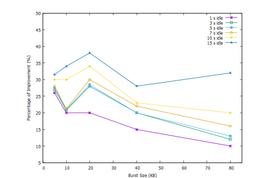
To understand the effect of newCWV in a non-congested scenario, experiments were run with no bandwidth limit at the bottleneck router; only a link delay of 200 ms was applied. There was no cross-traffic and no rate limit was applied. Figure 7 below presents the performance improvement of newCWV compared to NewReno, plotted burst sizes vs. different idle periods.

The improvement is visible in this figure (Figure 7). A newCWV sender transfers a burst in 37- 62% less time than NewReno. Larger improvements are achieved for the higher burst sizes, as expected; about 10% more improvement is achieved for bursts of 80KB (60%) than 5KB bursts (50%). While standard TCP reduces its cwnd after an idle period, newCWV retains a larger cwnd and can transfer the burst in less time, saving several RTTs – an approximate average of 50% improvement suggests newCWV requires half the RTTs compared to NewReno.


Figure 7. Performance Improvement of HTTP traffic shown when newCWV is used instead of NewReno over different burst sizes and idle periods .

For a size of burst, for example, a 40 KB burst, it would encounter almost 20% more improvement in performance when the idle period is larger. So, it shows that for real-life web browsing traffic, even if the idle period is high newCWV will support more traffic than the conventional TCP.

In short, for an uncongested scenario (as may be expected in a LAN), newCWV shows improved performance over standard TCP.

4.3. Comparing Performance in a Congested Path

To test the effectiveness of newCWV in an Internet context, a bottleneck of 2 Mbps was set with a finite router buffer (30 KB). The Path MTU was 1500 B, which ensured a maximum of 20 segments to be queued in the buffer. The newCWV method still shows improvement over standard TCP, which now varies from 10-35% over the idle period – burst size domain (shown in Figure 8).


Figure 8. HTTP performance improvement in percentage is shown in a congested scenario when newCWV is used instead of NewReno over different burst sizes and idle periods .


Figure 9. Loss plot comparing New Reno and newCWV; newCWV suffers more loss on average than standard TCP .

While in the previous scenario, there was no other traffic, the performance improved more for higher burst sizes. However, in this congested scenario, the trend is somewhat the opposite: Higher burst sizes offer less improvement. In the case of the idle period comparison, the similarity remains, where a larger idle period increases the improvement as in the previous noncongested scenario.

For bursts larger than 5 KB (larger than an IW of 4 KB) it takes about 25-33% less time on average for a transfer with an idle period. A larger improvement is demonstrated around 35% with newCWV, but the advantage diminishes for larger burst sizes (for 40 KB or 80 KB), because it encounters higher loss. The newCWV sender is prone to a higher loss rate for larger bursts. These bursts can appear either at the beginning of the TCP connection or after an idle period. Figure 9 confirms that the number of losses is higher when using newCWV.

A newCWV sender allows larger bursts into the network for a large HTTP response. A router with a finite network buffer will increase the probability of (burst) loss and queuing delay for this flow and other flows that share a common bottleneck (e.g., higher packet loss and jitter for concurrent real-time applications).

Although newCWV continues to show better performance in delivering bursts faster in a congested scenario, higher burst losses for larger bursts may degrade the overall average improvement in burst transfer times that could have been possible for HTTP flows.

4.4. Effect of other Applications on HTTP with newCWV.

At first, the HTTP workload was run with newCWV without pacing. Table 2 shows that, for HTTP responses with a size of 5KB or more, there was an improvement in transfer times of 18- 20%, although it is low compared to the previous cases without any cross traffic.

For large responses, such as 80 KB or more, the performance of newCWV reduces compared to standard TCP. The newCWV sender was observed to take about 10-15% more time to complete the bursts than NewReno. The negative values show that with newCWV, the performance is negatively impacted. The large level of packet loss (and therefore delay) caused by large bursts being injected into the network eliminated the benefit of newCWV. This indicates that some burst mitigation technique is desirable.

In summary, when using a very congested bottleneck shared with other applications, newCWV needs to be combined with pacing – sending the burst in regular intervals – to ensure performance improvement. Otherwise, it can lead to significant loss and induce a delay for the applications using the bottleneck.

4.5. Solving the Loss Problem with Pacing.

Pacing [17] may be used to mitigate the impact of bursty application traffic. The use of pacing would ensure that these bursts of segments are spaced apart in time without delaying the total transmission time. The effect of this is shown in Figure 10.


Figure 10. The effect of pacing using the FQ module in Linux for a RTT of 200ms; the inclined green lines show a burst of segments transmitted over 200 ms.

From Figure 10, The RED ‘+’ marking shows the time segments that were transmitted using newCWV, and the GREEN ‘x’ marks shows the same for newCWV with pacing enabled. The gradient of the segments v. time confirms that with pacing the segments were transmitted over a period of the order of an RTT rather than as an abrupt injection of data using only newCWV (vertical RED line).

When pacing was enabled for the HTTP traffic, HTTP was able to regain the advantage of newCWV over NewReno. Table 3 shows that the improvement in transfer times varies between 10-20% across the wide burst size –idle period plane. To compare, it can be seen that for 80 KB burst sizes, in the previous scenario, newCWV actually was worse. Using a TCP Pacing technique, from Table 3, newCWV achieves 13-16% performance improvement for larger bursts (80 KB) as well.

Even on a very congested link sharing with another bulk TCP flow, newCWV continues to show better performance than NewReno when the pacing is enabled at the newCWV sender.

4.6. Fairness of new CWV

Whenever a new TCP technique is proposed, there is a possibility that with the improved performance and aggression, it may cause starvation for the other flows that share the same bottleneck. Every congestion control should ensure fairness and no harm to other co-existing flows. To assess the fairness of newCWV, an FTP application (running NewReno) shared the bottleneck with an HTTP workload that used different algorithms: New Reno, newCWV, and paced newCWV.

Figure 11, shows that for the whole period of the experiment (about an hour), the FTP application competed with the HTTP traffic for a share of the capacity of the 2 Mbps bottleneck. Fluctuations in FTP throughput were observed as it shared the bottleneck with the variable rate HTTP web traffic. FTP did not suffer from starvation when the other TCP was using the newCWV method. The curves for the performance of newCWV follow the curve for NewReno with hardly any differences. Though newCWV seems to be more aggressive after an idle period than standard TCP (NewReno), which helps a bursty sender application, it was reacting to congestion appropriately sharing the bottleneck with another long-lived TCP flow. This depicts the friendliness of newCWV with other TCP applications.


Figure 11. FTP cross-traffic throughput; no significant differences in background application performance while the HTTP traffic was running different algorithms.

4.7. Discussion

In summary, newCWV demonstrated improved performance for HTTP traffic in both congested and uncongested scenarios. It is recommended that newCWV is used in combination with pacing, to smooth out the burst and hence also to reduce losses. NewCWV is also fair in the sense that it does not pose a significant threat (aggressiveness or starvation) to other co-existing TCP flows. Since newCWV can avoid suboptimal performance, by defining a new way to use the cwnd and ssthresh during a rate-limited interval and specifies how to update these parameters after congestion has been detected. The method defined in RFC 7661 is considered safe to use even when cwnd is greater than the receive window [18] because it validates the cwnd based on the amount of data acknowledged by the network in an RTT, which implicitly accounts for the allowed receive window

The paper evaluated a working version of this algorithm in Linux. Since newCWV was published as an experimental specification in the RFC-series as RFC 7661, it has been implemented in some production endpoint TCP stacks. It is also referenced in TCP Control Block Interdependence (RFC 9040),

The traffic patterns that newCWV seeks to accommodate are also important for other transports that do not use TCP. It is referenced in the IETF QUIC [19] transport specification: QUIC Loss Detection and Congestion Control, (RFC 9002), which provides an alternative transport for

HTTP. It is also referenced in a range of other IETF specifications, that include Self-Clocked Rate Adaptation for Multimedia (RFC 8298), Model-Based Metrics for Bulk Transport Capacity (RFC 8337), and Operational Considerations for Streaming Media (RFC 9317).

5. CONCLUSION

Web-based traffic is the dominant type of traffic in today’s Internet. When web browsers use HTTP/2, this uses TCP as the underlying protocol. It is important that the transport is designed for efficient browsing with arbitrary traffic patterns. A set of problems have been identified in earlier research works when a bursty HTTP application uses traditional TCP congestion control. Although solutions have been proposed, these were limited, and did not appropriately address the key requirements. Instead, the NewCWV seeks to address the congestion control problems and this paper shows that this is implementable.

This paper found that the newCWV method benefits applications that send at varying rates in both their rate-limited and idle periods. The paper shows that NewCWV can result in up to 50% faster completion, for HTTP-based traffic, which is important for web browsing, smoother webbased video, etc. Moreover, this is designed to avoid inducing harm to other traffic that share a common network bottleneck.

The key advantage of using newCWV is that application designers do not have to worry about the underlying transport support for a bursty application traffic, since the transport can accommodate a wide range of traffic variation. This provides application developers more freedom when developing new applications and encourages the development of next-generation Internet applications. For future work, it would be useful to compare the performance when using newCWV with current TCP and with modern QUIC implementations, and to extend the study to evaluate a variety of network conditions.

CONFLICTS OF INTEREST

The authors declare no conflict of interest.

ACKNOWLEDGMENTS

The author acknowledges the Electronics Research Group of the University of Aberdeen, UK, for all the support in conducting these experiments. This research was a part of the University of Aberdeen, dot. rural project. (EP/G066051/1).

ACRONYMS

ACK      Acknowledgement
cwnd    congestion window
CA        Congestion Avoidance
CWV     Congestion Window Validation
DASH     Dynamic Adaptive Streaming over HTTP
FTP        File Transfer Protocol
HTTP     Hyper-Text Transfer Protocol
IETF      Internet Engineering Task Force
IP         Internet Protocol
IW       Initial Window
LKM    Loadable Kernel Module

MTU    Maximum Transfer Unit
NVP    Non-Validated Period
TCP    Transmission Control Protocol
RFC    Request for Comments
RTO    Retransmission Time Out
RTT    Round Trip Time
RW    Restart Window
SACK   Selective ACKnowledgement
ssthresh  Slow Start Threshold

REFERENCES

[1] Sandvine Resources, (2022), “Global Internet Phenomena Report”, Whitepaper, Sandvine Corporations.

[2] Fielding R. et al (1999), “Hypertext Transfer Protocol — HTTP/1.1”, RFC 2616, IETF.

[3] ISI (1981), “Transmission Control Protocol”, RFC 793, IETF.

[4] Handley, M., Padhye, J. and Floyd, S. (2000), “TCP Congestion window Validation”, RFC 2861, IETF.

[5] Biswas, I. (2011), “Internet congestion control for variable rate TCP traffic”, PhD Thesis, School of Engineering, University of Aberdeen.

[6] Fairhusrt, G., Sathiaseelan, A. & Secchi, R. (2015), “Updating TCP to Support Rate-Limited Traffic”, RFC 7661, IETF.

[7] Augustin, B. and Mellouk, A. (2011), “On Traffic Patterns of HTTP Applications”, Proceedings of IEEE Globecomm, Houston, USA.

[8] Jiang, H. and Dovrolis, C. (2205), “Why is the internet traffic bursty in short time scales?”, Proceedings of the ACM SIGMETRICS international conference on Measurement and Modeling of Computer Systems, Banff, Canada.

[9] Casilari, E. et. al. (2004), “Modelling of Individual and Aggregate Web Traffic”, Proceedings of 7th IEEE conference in High Speed Networks and Multimedia Communications, Toulouse, France.

[10] Duke, M., et al (2015) A Roadmap for Transmission Control Protocol (TCP) Specification Documents, RFC 7414, IETF.

[11] Stevens, W. (1997), “TCP Slow Start, Congestion Avoidance, Fast Retransmit, and Fast Recovery Algorithms”, RFC 2001, IETF.

[12] Allman, M., Paxson, V. and Stevens, W. (1999), “TCP Congestion Control”, RFC 2581, IETF.

[13] Allman, M., Paxson, V. and Blanton E. (2009), “TCP Congestion Control”, RFC 5681, IETF.

[14] Fall, K. and Floyd, S. (1996), “Simulation-based Comparisons of Tahoe, Reno and SACK TCP”, ACM SIGCOMM Computer Communication Review, vol. 26, no. 3, pp. 5-21.

[15] Hoe, J. (1996), “Improving the Start-up Behavior of a Congestion Control Scheme for TCP”, Proceedings of the ACM SIGCOMM.

[16] Floyd, S., Henderson, T. and Gurtov, A. (2004), “The NewReno Modification to TCP’s Fast Recovery Algorithm”, RFC 3782, IETF.

[17] Zhang, L., Shenker, S. , and Clark, D. (1991), “Observations on the Dynamics of a Congestion Control Algorithm: The Effects of Two Way Traffic”, Proceedings of the ACM SIGCOMM, New York, USA.

[18] Xu, L., et al, CUBIC for Fast and Long-Distance Networks, draft-ietf-tcpm-rfc8312bis, Work-InProgress, TCPM Working Group, IETF.

[19] Iyenger, J. & Thomson, M. “QUIC: A UDP-Based Multiplexed and Secure Transport”, RFC 9000,
IETF.

AUTHORS

 

Dr Ziaul Hossain is a Network Researcher, and his interest lies in making the web faster. He has achieved a BSc in Computer Science from BUET (Bangladesh) and then pursued his MSc degree at the Queen Mary, University of London (UK). He received a PhD in Engineering from University of Aberdeen (UK), where his research focused on performance of different applications over the satellite platform. He has taught at several universities and currently working as a Lecturer at the University of Fraser Valley, British Columbia, Canada.

 

Dr Gorry Fairhurst is a Professor in the School of Engineering at the University of Aberdeen, Scotland, UK, His research is in Internet Engineering, and broadband service provision via satellite. He is an active member of the Internet Engineering Task Force (IETF) where he chairs the Transport Area working group (TSVWG) and contributes to the IETF Internet area. He has authored more than 30 RFCs with over 150 citations within the RFC-series, and currently is contributing to groups including: QUIC, 6MAN, TSVWG, and MAPRG

Leave a comment

Information

This entry was posted on August 16, 2023 by .