Cluster Based Routing using Energy and Distance Aware Multi-Objective Golden Eagle Optimization in Wireless Sensor Network
Gundeboyina Srinivasalu1 and Hanumanthappa Umadevi2
1Department of Electronics & Communication Engineering,
Cambridge Institute of Technology, Bangalore, India
2 Department of Electronics & Communication Engineering,
Dr. Ambedkar Institute of Technology, Bengaluru, India
ABSTRACT
In recent years, WSNs have attracted significant attention due to the improvements in various sectorssuch as communication, electronics, and information technologies. When the clustering algorithm incorporates both Euclidean distance and energy, it automatically decreases the energy consumption. So, the major goal of this research is to reduce energy consumption for prolong the lifetime of the network. In order to achieve an energy-efficient process, Energy and Distance Aware Multi-Objective Golden Eagle Optimization (ED-MOGEO) is proposed in this research. In addition, this proposed solution reduces retransmissions and delays to improve the performance metrics. And so, this research carried out two major fitness functions (Euclidean distance and energy) for creating an energy-efficient WSN. Furthermore, energy consideration is used to reduce the nodes unavailability which results in packet loss during the transmission. For generating the routing path between the source and the Base Station (BS), the ED-MOGEO algorithm is used. From the simulation results, it shows that Proposed ED-MOGEO achieves better performances in terms of residual energy (14.36 J), end-to-end delay (12.9 ms), packet delivery ratio (0.994), normalized routing overhead (0.11), and throughput (1.131 Mbps) when compared to existing Cluster-Based Data Aggregation (CBDA) and Elephant Herding Optimization (EHO)-Greedy methods.
KEYWORDS
Multi-Objective Golden Eagle Optimization, Wireless Sensor Networks, Energy Consumption, Network Lifetime, Euclidean Distance.
1. INTRODUCTION
For the past few years, WSN has a large number of small, low-power sensors that are placed organized or random manner in the uncontrolled area [1] [2]. Due to their unlimited beneficial in a variety of applications, including forest life monitoring, military applications, health monitoring, weather monitoring, and traffic management, WSN has turn out to be an interesting topic for several scholars [3]. WSN is a network of low-power sensor nodes that are connected by wireless systems and isolated over through the course of a physical space. These sensor nodes may collect information from the device, analyse it, send it to the cloud and interact with one another in order to connect the data acquired to BS [4] [5]. The sensors which are usually fitted with little batteries that can’t be recharged because it has left unattended locations and faster distribution [6]. As a result, reducing energy usage is the most challenging task in an energy constrained networks. Several factors come into play in this situation, still, there have been several researches focussing on routing protocols for WSNs [7].
WSN sensors can perform sensing, transmission, and computational tasks including data aggregation and digital signal processing, among other things. The WSN has several disadvantages, including computing, battery capacity, communication capability, and sensor mobility [8]. In a hostile environment, sensor reinstallation and charging are not possible, so energy consumption is a major concern in WSN [9]. To increase the network lifetime, the aforementioned issue is overcome by clustering the nodes into clusters [10], [11]. In the collected works, lifetime is determined as the time until the energy of the first sensor’s node energy expires[12]. The sensors are organized into smaller clusters throughout the clustering process, and a Cluster Head (CH) is picked from each cluster [13]. The cluster members then send the data packets to their respective CH, which collects and transmits the data to the BS and this is used to prevent sensor collisions in the WSN [14]. In clustered WSN, the routing protocol is built for managing CHs and determining the best route for reducing node energy. The data are sent directly from the CH to the BS in this case or it will be sent through the intermediate CHs [15]. The following are major contributions of this research:
The organization of this study is stated as follows; Section 2 declared the literature review of earlier papers associated with clustering and routing. Section 3 describes the problem statement of this study. The energy model of this research is elaborated in section 4. Section 5 clarified the equations and working procedure of the proposed methodology. Section 6 signifies the simulation results along with the comparative study. Lastly, the conclusions are stated in section 7.
2. LITERATURE REVIEW
Nandakishor Sirdeshpande et al. [16] demonstrated a fractional lion optimization method for the CH-based routing protocol. The proposed Fractional Lion (FLION) clustering algorithm was designed to provide an energy-efficient routing path. The LION algorithm was combined with the fractional calculus approach to improve the speed of clustering selection and lower the speed of searching. The FLION approach had the advantage of maximising the network’s lifetime. During the clustering phase, however, the FLION algorithm lowered the degree of nodes.
Daneshvar [17] proposed the Grey Wolf Optimizer (GWO) selected the CHs in WSN. Proposed GWOdescription was estimated using the present energy of the node and expected energy usage in the CH selection. The data packets were then routed via the network using Dual Hop Routing (DHR). In addition, the GWO method was employed to prevent unnecessary clustering operations to reduce energy consumption which was considered as main adavantage. The GWO method ignores the distance factor when picking CHs from the network.
To provide the CH from the nodes, Morsy [18] proposed a hybrid Particle Swarm Optimization(PSO) and Gravitational Search Algorithm (GSA). The proposed PSO-GSA formula was employed to determine multi-hop communication between the selected CHS, which is made up of the CH’s residual energy, the distance among the CHs, and the distance between the CH and the BS. In conclusion, the optimal CH option was chosen to balance energy consumption which was deliberated as the main advantage. But on the other side, this hybrid PSO-GSA approach has been unable to evaluate the very last node to die.
Vinitha, Rukmini, and Sunehra [19] presented an energy-efficient routing algorithm based on the Cat-SSA (C-SSA) algorithm to choose relevant steps throughout the route process. Initially, the Low-Energy Adaptive Clustering Hierarchy (LEACH) protocol was created to choose the CH in the network that would reduce network traffic. After reduction, the proposed C-SSA was utilized to choose a suitable node by eliminating excess energy which was deliberated as a major advantage. The higher energy consumption was caused by LEACH’s random CH selection characteristic.
Seedha Devi et al. [20] proposed a Cluster Based Data Aggregation Scheme (CDAS) for Packet Loss and Latency Reduction in WSN. The proposed CDAS structure has two stages: Aggregation Tree Structure and the Slot Planning Procedure. In the first step, each CH uses compressive accumulation to collect data from the participants. In the second stage, latency and packet loss are reserved for analysis, while the acquired data is used to highlight and assign intervals to nodes. The major advantage of this proposed CDAS was to eliminate unnecessary transmission and improve the lifetime. But this CDAS procedure was not suitable for all the environments.
Pattnaik and Sahu [21] presented a fuzzy-based clustering approach as well as an Elephant Herding Optimization (EHO)-Greedy method for routing. To save energy, EHO-Greedy considers both permanent and portable sinks. A stable node was randomly positioned diagonally throughout the arrangement, while a portable node shifted into various spots for data collection. The proposed EHO-Greedy uses a group of CH which can drastically reduce energy usage while also extending lifespan. In some other applications, the addition of more energy-efficient techniques leads to larger WSN zones.
3.PROBLEM STATEMENT
The energy efficiency in WSN is calculated by selecting a suitable fitness function. Only the residual energy of the node is given high significance in the existing approach of clustering. When the clustering algorithm incorporates both distance and energy, it automatically decreases the network’s energy consumption. In both large and small-scale WSN applications, energy efficiency must be accomplished. When the number of non-CH members in a CH is large, the performance of clustering and routing is harmed. The density of the nodes affects the behaviour as well. Furthermore, when direct data transmission is achieved between the CH and BS, the WSN’s energy dissipation is considerable. This causes the hot spot issue which results in high packet loss during data transmission. Nodes become unstable and malfunction when it is deployed in an unmanaged and hostile environment. The WSN considers energy consumption to be a critical issue during the data transmission phase. A network packet may be dropped if a node has insufficient energy.
Solution:
The distance of the data transmission channel is directly proportional to the node’s energy consumption. The multi-hop routing is devised in this case to avoid routing difficulties. So, this study carried out both distance and energy fitness functions for establishing an energy-efficient WSN, Furthermore, energy consideration is used in the WSN to reduce packet loss. The proposed ED-MOGEO takes into account a variety of objective functions, including hop count, distance, and residual energy. As a result, both big and small-scale WSNs use the specified energyefficient WSN.
4. ENERGY MODEL
The transmitter and receiver node’s energy consumption is calculated using a first-order radio model. Equations (1) and (2) are used to calculate the amount of energy necessary to send and receive a packet of l bits across a distance of d .
Where, Eelec specifies the energy utilized for transmission/ reception, and 0 d specifies the threshold distance which is expressed by equation (3).
Where, mp & fs are the amplification energy for multipath model and free space. The model of transmitter amplifier defines fs & mp .
5. PROPOSED METHOD
Clustering and routing are developed using ED-MOGEO in this study. The algorithm’s searching capabilities were combined with the fitness function values. As a result, in this network, an effective CH and routing path are chosen. Four distinct fitness function parameters, such as residual energy, distance, and degree of nodes, are taken into account during the clustering process. Furthermore, node failure is avoided in the transmission path by taking into account the nodes’ remaining energy. The packet loss is minimized during transmission to prevent node failure. The major goal of this study is to reduce energy depletion to extend the network’s lifespan. Figure 1 depicts a general flowchart of clustering and routing.
Figure 1. Flowchart of Clustering and Routing using ED-MOGEO
Figure 1 depicts a flowchart for the ED-MOGEO. The following are the steps for the flowchart:
5.1. Golden Eagle Optimization (GEO)
The proposed mathematical approach for simulating the motions of golden eagles hunting for prey is described in this subsection. To emphasize exploitation and exploration, the spiral motion’s formulation is presented below.
5.1.1. Golden eagles motion
The spiral indication of golden eagles stimulated the ED-MOGEO. The golden eagle has the option of circling its fi memory; hence, 𝑓∈ {1, 2…, 𝑃𝑜𝑝𝑆𝑖𝑧𝑒}.
5.1.2. Choosing the prey
Each memory prey is assigned to the single golden eagle in this approach. The attack and cruise procedures are then carried out by each golden eagle on the chosen prey.
5.1.3. Attack (exploitation)
The golden eagle attack vector may be estimated using 𝑖 Equation (4).
Where eagle i attack vector is stated as Al ; best position is signified as X f ; present position is stated as Xl . The exploitation phase in ED-MOGEO is highlighted by the attack vector, which directs the population of golden eagles toward the best-𝑖 frequented places.
5.1.4. Cruise (exploration)
The attack vector is used to determine the cruise vector. In j dimensional space, equation (5) and (6) shows the scalar arrangement of the hyperplane calculation.
The degrees of freedom for a new point on the n -dimensional cruise hyperplane are n 1 . The subsequent steps are used to find the location of a golden eagle.
Step 1: Pick one variable at random from the list of variables to serve as the fixed variable. The attack vector is represented as 𝐴𝑖. The reason for this is that when a variable’s coefficient is equal to zero in 𝐴𝑖 Equation (4),
Step 2: Allocate arbitrary principles for the kth part, which is fixed.
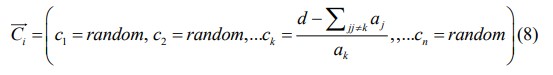
Step 3. Equation (7) discovers the fixed variable value.
Where ck is destination point kth c of element, jtha is the element of the attack vector Al ,The attack vector is signified as aik , and fixed variable’s index is stated as k . The cruise hyper plane’s random endpoint is discovered in equation (8).
5.1.5. Moving to new positions
The golden eagles’ movement is made up of two parts: vector and attack. Equation t is the step vector for eagle i in iteration (9)
Where, attack & cruise coefficient in iteration t is signified as p ta and ptc .. The random vectors r1 and r2 have elements that are in the duration [0 1]. Later, Pa and P c can be deliberated. The Euclidean norms of the attack and cruise vectors ( A and C l l) are determined using Equation (10).
The golden eagles’ position is represented as equation (11).
The attack coefficient Pta and the cruise coefficient P t c determine the step vector which is impacted by cruise and attack vectors, respectively. The following subdivision deliberates in what manner the two coefficient standards are attuned through the sequence of iterations.
5.1.6. Transition from exploration to exploitation
ED-MOGEO employs p a and p c a transition from exploration to exploitation. Low pa and high pc are the starting points for the algorithm. p a Steadily increases whereas p c gradually decreases as the iterations progress. The user sets the beginning and end values for both parameters. The linear transition is shown in Equation which can be used to calculate intermediate values (12).
Where t denotes the current iteration, T denotes the maximum iterations, PT0 and P c c denote the starting and absolute standards for susceptibility to attack (pa), correspondingly. This can be addressed and reveal that and appear to be appropriate settings. In the first iteration, 𝑝𝑎 progressively decreases until it reaches the last iteration. The same is true for pc which starts at 1 in the first iteration and decreases linearly until it reaches the last iteration. It’s worth noticing that Equation (12) modifies the constraints linearly.
5.2. ED-MOGEO based Clustering
5.2.1. Fitness function Derivation
The fundamental purpose of the ED-MOGEO-based clustering procedure is to select the best number of nodes in the neighbourhood, like CHs. The goal is to achieve appropriate fitness by calculating residual energy, distance, and degree of nodes.
a) Residual energy
The first objective f1 is signified in Equation (13).
b) Euclideandistance
This section explains the Euclideandistance between CH and BS. As previously stated, while considering energy usage, the sensor node is fully controlled by the transmission distance. When the base station is further away from the mobile node, it requires more energy to complete the procedure. As a result, the network estimates the cluster head with the shortest Euclidean distance which starts from CH to BS. As a result, the next goal is f2 which can be minimized and written as an equation (14).
c) Degree of Nodes
The number of non-CH participants who visit a particular mobile node is referred to as node degree. If the cluster head has fewer participants, it used to last for a long time, preferring the lower degree of the node [22]. As a result, in the equation, the third objective f 3 is reduced (15).
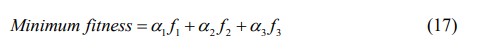
Where m refers to number of cluster heads. Accordingly, the normalization process ( F x( )) is exploited to each objective a1, a2,a3 ,which is shown in (16).
Where f min and fmax are quantified as a minimum and maximum fitness value is given in equation (17).
Where and ; i is referred as weighted parameter which is allocated to each fitness functions ( 1 2 3 0.5; 0.3; 0.2 )
5.2.2. ED-MOGEO based Routing
The major goal of this study is to find a nearby optimum path from each cluster head to the appropriate BS. The routing amongst the source CH and BS is produced in ED-MOGEO using the same fitness function that was utilized to select the CH.
5.2.2.1. Initialization
Each ED-MOGEO in routing denotes the data forwarding route from every CH to BS. Each EDMOGEO has the same dimensions as the overall amount of CH’s present in-network and provides an extra slot for the BS. The proposed transmission route between the source node and the BS is updated every moth in the routing process. The quantity of CHs in the associated transmission route is equal to the measurement of each moth.
5.2.2.2.Route selection
To choose the data transmission path, ED-MOGEO uses the equivalent fitness function (residual energy, distance, and degree of nodes) that was previously expressed. The Route Request (RREQ) message is sent from the source node to the neighbour nodes to adjust the route identification process. At that point, the next node with a higher fitness rating transmits the message back to source CH through the reverse path. Source CH collects the message from the neighbouring nodes once the routing path has been created. The data transmission is initiated through the network after the routing path has been generated.
6. RESULT AND DISCUSSION
The proposed cluster-based routing protocol’s results are described in this section. Alive nodes, energy depletion, delay, overall transmitted packets, throughput, and network longevity are all used to evaluate the performance. The suggested energy-efficient routing procedure is executed and confirmed using the MATLAB R2018a program. A Windows 8 PC through an i3 workstation and 4GB RAM is utilized to test the routing protocol. In the ED-MOGEO, an effective fitness function is used to cluster and route traffic across the network. To imitate the ED-MOGEO, 100 sensors are placed at random in 100 100 m m region. The simulation completion time for the proposed ED-MOGEO is quite high, because it estimates the fitness
value in each iteration to find the optimal solutions using ED-MOGEO. Since, this ED-MOGEO runs till the last node dies, however the simulation of ED-MOGEO depends on the system configuration level which are observed during testing and evaluation of proposed ED-MOGEO algorithm. The simulation parameters used in the ED-MOGEO are listed in Table 1.
Table 1.Model constraints
6.1. Performance of Residual energy
Figure 2 depicts the residual energy results for the proposed and conventional CDAS [20] approaches. When the number of nodes increases, so does the size of the routing path, increasing delay. The residual energy performance comparison is shown in Table 2. Table 2 demonstrates that the suggested ED-MOGEO performance ranges from 11.32 to 14.36, whereas CDAS [20] ranges from 6.4 to 8.
Table 2.Performance of Residual Energy
Figure 2.Performance of Residual Energy
6.2. Performance of Delay:
The node count is varied from 50 to 200 to study the result of ode density and network size. The results of delay for suggested and existing approaches are depicted in Figure 3. When the number of nodes increases, so does the size of the routing path, increasing delay. The end-to-end delay performance comparison is shown in Table 3. Table 3 indicates that the suggested ED-MOGEO’s delay increases from 7.9 to 12.9 milliseconds, whereas CDAS [20] fluctuates from 9.6 to 14.5 milliseconds.
Table 3.Performances of Delay
Figure 3.Performance of delay
6.3. Performance of PDR
Figure 4 shows the results of PDR for planned and existing technologies. When the number of nodes increases, so does the size of the routing path, increasing delay. The performance comparison for the Packet Delivery Ratio is shown in Table 4. (PDR). Table 4 clearly illustrates that the suggested ED-MOGEO’s PDR ranges from 0.991 to 0.995, whereas CDAS [20]’s PDR ranges from 0.38 to 0.6, and EHO-PDR Greedy ranges from 0.941 to 0.989.
Table 4.Performances of Packet Delivery Ratio
Figure 4.Performance of PDR
6.4. Performance of Normalized routing overhead:
Figure 5 depicts the results of the Normalized Routing Overhead for proposed and existing approaches. When the number of nodes increases, so does the size of the routing path, increasing delay. The performance comparison for Normalized routing overhead is shown in Table 5. Table 5 clearly illustrates that the proposed ED-MOGEO’s Normalized routing overhead ranges from 0.11 to 0.31, while CDAS [20] dropped from 0.2 to 0.4.
Table 5.Performances of Normalized routing overhead
Figure 5.Performance Analysis of Normalized routing overhead
6.5. Performance of Throughput
Figure 6 depicts the results of the throughput performance for suggested and current approaches. In terms of throughput, the key arguments for the proposed ED-MOGEO achieve better results than EHO Greedy [21]. The fundamental reason is that ED-MOGEO has a long network lifespan, which means that the base station receives more data packets. The performance comparison for Throughput is shown in Table 6. Table 6 reveals that the suggested ED-MOGEO’s throughput reaches a maximum of 1.131 Mbps, whereas EHO-Greedy [21] only managed 1.093 Mbps.
Table 6.Performances of Throughput
Figure 6.Performance Analysis of Throughput
When compared to the present CDAS approach, the total simulation results show that the suggested ED-MOGEO gives better results in all node counts (50-200).
6.6. Comparative analysis
The recommended approach receives a significant amount of data packets at the BS due to its adequate fitness function. In addition, the suggested technique reduces node energy consumption, allowing nodes to run for extended periods. As a result, there are more living nodes in the suggested technique. The longer lifetime of the suggested approach is employed to increase the total number of packets received by the BS. In terms of performance, Table 7 indicates that the suggested approach beats FLION [16].
Table 7. Comparison of proposed method and FLION
To demonstrate the ED-MOGEO method’s usefulness, it is compared to two other approaches: GWO-DHR [17] and C-SSA [19]. In this ED-MOGEO vs. GWO-DHR [17] comparison, 100 sensors are distributed over a network area of 100m100m. As a result, the base station is located outside of the network expanse, i.e. (150,100). At 100 sensors, 5% of the nodes are selected as CHs to gather statistics from non-CH associates and deliver them in the direction of BS.
Table 8. Comparative analysis of ED-MOGEO with C-SSA
Table 9.Comparative analysis of ED-MOED-MOGEO with GWO-DHR
The ED-MOGEO is compared to the GWO-DHR [17] and C-SSA [19] for alive nodes, total energy, throughput, and network longevity in Tables 8 and 9. Figure 7 also shows a graphical representation of the lifetime metric for GWO-DHR and the proposed ED-MOGEO.
Figure. 7.Comparison for ED-MOGEO with GWO-DHR in terms of Lifetime
Based on the results of the comparison, it was determined that the ED-MOGEO technique outperforms the GWO-DHR [17]. Due to an incorrect fitness function consideration during CH selection, the GWO-DHR achieved worse performance. In ED-MOGEO clustering, different fitness variables are used to discover an appropriate CH between the sensors: residual energy, intra-cluster distance, distance from the CH to the BS, and node degree. Following that, an appropriate route creation using the ED-MOGEO is applied to reduce the node’s energy depletion. The simulation result shows that the proposed ED-MOGEO is employed to gain a longer network lifetime when compared to existing GWO-DHR [17] and C-SSA [19]. The increased lifetime of the ED-MOGEO is due to the greater volume of data packets sent to the BS.
7. CONCLUSION
WSN are extensively applied in various applications and its sensor nodes are integrated together to a base station. In this research, ED-MOGEO is proposed which is initially utilized for choosing the CH due to its low computational complexity and excessive stability. For generating the routing path between the source and the BS, the ED-MOGEO algorithm is used. Furthermore, ED-MOGEO method is used to lower total energy usage while extending the life of a network. Five fitness criteria are used during the ED-MOGEO-based CH selection: residual energy, distance to the BS, distance to the neighbours, node centrality, and node degree. ED-MOGEO is applied to achieve an energy efficient route selection using the leftover energy, number of hops, and distance. The proposed ED-MOGEO outperforms existing protocol systems in all features, according to simulation results, by lowering delay and normalized routing overhead to 12.9 ms and 0.11, respectively. It also has a 14.36 J residual energy, a maximum PDR of 0.994, and a throughput of 1.131 Mbps. In the future, the proposed methodology can be analysed with different specification parameters, node counts, as well as a novel routing procedure to produce better energy efficient results.
Notations
CONFLICTS OF INTEREST
The authors declare no conflict of interest.
REFERENCES
[1] Biradar, Shivshanker P., and Vishwanath,T. S. (2021). “Optimized Cluster Establishment and Cluster-Head Selection Approach in WSN”, International Journal of Computer Networks & Communications (IJCNC), Vol. 13, No. 4, pp. 53-70.
[2] Ahn, J., Lim, S., &Cho, T. (2021). “Fuzzy Logic-based Efficient Message Route Selection Method to Prolong the Network Lifetime in WSNs”, International Journal of Computer Networks & Communications (IJCNC), Vol. 13, No. 6, pp. 73-91.
[3] Morsi, A.M., Barakat, T.M. and Nashaat, A.A. (2020). “An Efficient and Secure Malicious Node Detection Model for Wireless Sensor Networks”, International Journal of Computer Networks & Communications (IJCNC),Vol. 12, No.1, pp. 97-108.
[4] Ahn, J., Lim, S. and Cho, T. (2021). “Fuzzy Logic-based Efficient Message Route Selection Method to Prolong the Network Lifetime in WSNs”, International Journal of Computer Networks & Communications (IJCNC), Vol. 13, no. 6, pp. 73-91.
[5] Sohail, M., Khan, S., Ahmad, R., Singh, D. & Lloret, J. (2019). “Game theoretic solution for power management in IoT-based wireless sensor networks”, Sensors, Vol. 19, No. 18, pp. 3835.
[6] Alagarsamy, V. and Ranjan, P.V. (2019). “Multi-Cluster Multi-Channel Scheduling (Mms) Algorithm for Maximum Data Collection with Delay Minimization in WSN”, International Journal of Computer Networks & Communications (IJCNC), Vol 11, No. 6, pp. 91-110.
[7] Ravikiran, D.N. and Dethe, C.G. (2018). “Improvements in Routing Algorithms to Enhance Lifetime of Wireless Sensor Networks”, International Journal of Computer Networks & Communications (IJCNC), Vol. 10, No. 2, pp. 23-32.
[8] Vu, V.H., Thien, H.T. and Koo, I. (2019). “A repeated games-based secure multiple-channels communications scheme for secondary users with randomly attacking eavesdroppers”, Applied Sciences, Vol. 9, No. 5, pp. 868.
[9] Abdalzaher, M.S. and Muta, O. (2020). “A game-theoretic approach for enhancing security and data
trustworthiness in IoT applications”, IEEE Internet of Things Journal, Vol. 7, No. 11, pp11250- 11261.
[10] Casado‐Vara, R., Prieto‐Castrillo, F. & Corchado, J.M. (2018). “A game theory approach for cooperative control to improve data quality and false data detection in WSN”, International Journal of Robust and Nonlinear Control, Vol. 28, No. 16, pp. 5087-5102.
[11] Qin, X., Wang, X., Wang, L., Lin, Y. & Wang, X. (2019). “An efficient probabilistic routing scheme based on game theory in opportunistic networks”, Computer Networks, Vol. 149, pp. 144-153.
[12] El Assari, Y. (2020). “Energy-efficient multi-hop routing with unequal clustering approach for wireless sensor networks”, International Journal of Computer Networks & Communications (IJCNC),Vol. 12, No. 3, pp. 55-73.
[13] Jouhari, M., Ibrahimi, K., Tembine, H., Benattou, M. & Ben Othman, J., (2019). “Signalling game approach to improve the MAC protocol in the underwater wireless sensor networks”, International Journal of Communication Systems, Vol. 32, No. 13, pp. e3971.
[14] Raja, P. & Dananjayan, P. (2016). “Game theory-based efficient energy consumption routing protocol to enhance the lifetime of WSN”, International Journal of Information and CommunicationTechnology,Vol. 8, No. 4, pp. 357-370.
[15] Farahani, G. (2019). “Energy Consumption Reduction in Wireless Sensor Network Based onClustering”, International Journal of Computer Networks & Communications (IJCNC), Vol. 11, No. 2, pp. 33-51.
[16] Sirdeshpande, N. and Udupi, V. (2017). “Fractional lion optimization for cluster head-based routingprotocol in wireless sensor network”,Journal of the Franklin Institute, Vol. 354, No. 11, pp. 4457- 4480.
[17] Daneshvar,S.M.H., Mohajer,P.A.A., &Mazinani, S.M. (2019). “Energy-efficient routing in WSN: A centralized cluster-based approach via grey wolf optimizer”, IEEE Access, Vol. 7, pp. 170019- 170031, 2019.
[18] Morsy, N.A., AbdelHay,E.H.,& Kishk, S.S. (2018). “Proposed Energy Efficient Algorithm for Clustering and Routing in WSN”, Wireless Personal Communications, Vol. 103, No. 3, pp. 2575- 2598, 2018.
[19] Vinitha, A., Rukmini,M.S.S.,& Sunehra, D. (2020). “Energy‐efficient multihop routing in WSN using the hybrid optimization algorithm”, International Journal of Communication Systems, Vol. 33, No. 12, pe4440, 2020.
[20] Devi, V. S., Ravi, T., & Baghavathi Priya, S. (2020). “Cluster based data aggregation scheme for latency and packet loss reduction in WSN”, Computer Communications, Vol. 149 pp36-43.
[21] Pattnaik, S., &Sahu,P. K. (2020). “Assimilation of fuzzy clustering approach and EHO‐Greedy algorithm for efficient routing in WSN”, International Journal of Communication Systems, Vol. 33, No. 8, ppe4354.
[22] Lalwani, P., Das, S., Banka, H.,& Kumar, C., (2018). “CRHS: clustering and routing in wireless sensor networks using harmony search algorithm”, Neural Computing and Applications, Vol. 30, No. 2, pp639-659.
AUTHORS

G Srinivasalu received the B E degree in Electronics Engineering from Bangalore University, M E degree in Digital Communications from Bangalore University. Currently he is serving as Associate Professor, Department of Electronics & Communication Engineering, Cambridge Institute of Technology, Bangalore. He has 20 years of teaching UG and PG students. Teaching subjects Include Digital Communications, Wireless Communications, Wireless Sensor Networks. His research interests include Digital signal processing, Digital communications, Wireless communications.

H. Umadevi received the BE degree in Electronics & Communication Engineering from Mysore University, ME degree in Electronics from Bangalore University and Ph. D degree in wireless communications from Bangalore university. Currently she is currently serving as Professor, Dept. of Electronics & Communication Engineering, Dr. Ambedkar Institute of Technology, Bangalore. She has 25 years of teaching experience she teaches undergraduate and postgraduate courses and is supervising Ph.D. students. She has published more than 50 papers in reputed journals. She is chairperson for many national and international conferences. She has Received Women researcher award in International Scientist Awards on Engineering, Science and Medicine in 2020.