International Journal of Computer Networks & Communications (IJCNC)

AIRCC PUBLISHING CORPORATION

IJCNC 02

FLOC: Hesitant Fuzzy Linguistic Term Set Analysis in Energy Harvesting Opportunistic Clustering using Relative Thermal Entropy and RF Energy Transfer

Junaid Anees and Hao-Chun Zhang

School of Energy Science & Engineering, Harbin Institute of Technology, Harbin, China

Abstract

Limited energy resources and sensor nodes’ adaptability with the surrounding environment play a significant role in the sustainable Wireless Sensor Networks. This paper proposes a novel, dynamic, self-organizing opportunistic clustering using Hesitant Fuzzy Linguistic Term Analysis- based Multi-Criteria Decision Modeling methodology in order to overcome the CH decision-making problems and network lifetime bottlenecks.  The asynchronous sleep/awake cycle strategy could be exploited to make an opportunistic connection between sensor nodes using opportunistic connection random graph.  Every node in the network observe the node gain degree, energy welfare, relative thermal entropy, link connectivity, expected optimal hop, link quality factor etc. to form the criteria for Hesitant Fuzzy Linguistic Term Set. It makes the node to evaluate its current state and make the decision about the required action (‘CH’, ‘CM’ or ‘relay’). Our proposed scheme leads to an improvement in network lifetime, packet delivery ratio and overall energy consumption against existing benchmarks.

Keywords

Graph Theory, Wireless Sensor Networks, Hesitant Fuzzy Linguistic Term Set, Opportunistic Routing and RF Energy Transfer.

1 . Introduction

Power-constrained WSNs have to adjust their sleep/wake cycle according to the application requirements in order to maximize the network lifetime and overall energy consumption [1].  Sectional failure and thermal exposure can cause significant damage to sensor nodes. Moreover, different units of a sensor node behave differently when exposed in sunlight for long period of time for example; the performance of a typical transceiver is degraded with the increase in temperature. The purpose of deploying WSNs is to achieve a shared goal through sensor collaboration and data aggregation.  In order to allocate the resources to sensor nodes effectively, topology architecture is needed in which sensors are organized in clusters [1]. The multi-hop routing in this clustering topology can result in the decrease of overall energy consumption and interference among sensor nodes due to specific timeslots allocation [2]. In addition to it, it could also effectively optimize the data redundancy by significantly reducing the collected data size using data aggregation techniques at Cluster Head (CH) level [1-2]. 

Researchers have proposed different node scheduling techniques to save battery power of sensor nodes i.e. synchronous and asynchronous sleep/awake scheduling. Asynchronous sleep/awake scheduling is designed to prolong the network lifetime and improve energy utilization by creating an opportunistic node connection between sensor nodes in the network [3-6]. Opportunistic Routing (OR) is a popular technique to ensure sustainable operation of sensor nodes in which WSNs can benefit from wireless medium broadcasting characteristics by selecting appropriate candidate forwarders. The performance of OR significantly depends on several key factors, such as OR metric, candidate selection algorithm, and candidate coordination method. Based on the asynchronous sleep/awake scheduling in OR, a node can sense, process, and transmit/receive during its active state [3-4]. Researchers have also worked on temperature adaptive sleep/awake scheduling techniques [7-8].

The Hesitant Fuzzy Linguistic Term Set (HFLTS) is the best way to deal with this uncertainty. The fuzzy multi-criteria analysis presents an effective framework where the alternative actions are ranked according to the nodes’ assessments concerning each criterion. This motivated us to work on this problem [9]. Keeping in view OR and temperature adaptive sleep/awake scheduling, we have selected multiple parameters including time-frequency parameter, node’s gain energy, relative thermal entropy, expected optimal hops, link quality factor in terms of signal-to-noise ratio, as our attributes of hesitant fuzzy linguistic term set. These attributes are used to assess the role of nodes and self adaptively make the appropriate decision in a round of operation. Furthermore, our proposed scheme FLOC uses this information in a Multi-Attribute Decision Modelling (MADM) framework to efficiently utilize our hesitant fuzzy linguistic term set to incorporate a qualitative assessment of the parameters by a node and help the node observe a situation adaptive role transition.

The rest of the paper is organized as follows: Section 2 contains the discussion on some related works.  System modelling is presented in Section 3. Our proposed scheme FLOC is presented in Section 4. HFLTS analysis is provided in Section 5. Section 6 presents the simulation framework and performance evaluation of the proposed technique. Finally, section 7 concludes the paper with some targeted future works.

2. Related Work

Various researchers have focused on proposing different routing protocols for WSNs based on different parameters such as end–end delay, packet delivery ratio, network lifetime, overall energy consumption, control packet overhead etc. Ogundile et al. [1] presented a detailed survey for energy-efficient and energy balanced routing protocols for WSNs including the taxonomy of cluster-based routing protocols for WSNs. Routing protocols in WSNs can be segmented into two main categories, i.e., hierarchical and non-hierarchical routing protocols. Non-hierarchical routing protocols are designed in accordance with overhearing, flooding, and sink node position advertisement, whereas hierarchical routing protocols are designed on the basis of grid, tree, cluster and area [1-3][10]. The multi-dynamic (higher-tier and lower-tier) roles of sensor nodes in hierarchical routing can be useful in reducing energy consumption and traffic overhead. Higher-tier nodes are responsible to store the information related to current position of mobile sink whereas lower-tier nodes acquire this information by soliciting the higher-tier nodes [11]. Different hierarchical routing protocols have their own merits and demerits, but as far as cluster-based hierarchical routing protocols are concerned, researchers have been challenged with a task of achieving an optimal balance between end–end delay and energy consumption [10-11].

Yang et al. [5] introduced the utilization of sleep/awake cycle of sensor nodes to prolong the network lifetime. The sleep/awake cycle can be segmented into two categories—synchronous and asynchronous sleep/awake cycle. Depending on the network connectivity requirements in terms of traffic coverage, Mukherjee et al. [12] proposed an asynchronous sleep/awake scheduling technique with a minimum number of sensor nodes to achieve the required network coverage. As a result of asynchronous sleep/awake scheduling, opportunistic node connections are established between sensor nodes and their neighbours, which brings the need of Opportunistic Connection Random Graph (OCRG) theory to properly model the opportunistic node connections by forming a spanning tree.  Anees et al. [6] proposed an energy-efficient multi-disjoint path opportunistic node connection routing protocol for smart grids (SGs) neighbourhood area networks (NAN).  Anees et al. [10] also proposed a delay-aware energy-efficient opportunistic node selection in restricted routing for delay-sensitive applications. In this protocol, the information related to updated position of sink is advertised by multiple ring nodes and data is forwarded to mobile sink using ring nodes having maximum residual energy. 

In a few asynchronous sleep/awake scheduling techniques, the sensor nodes are found to remain inactive listening mode for a long amount of time, resulting in unnecessary consumption of energy. A popular WSN MAC protocol, Sensor Medium Access Control (SMAC), has been proposed by Ye et al. [13]. SMAC protocol lets the node listen for a fixed interval of time and turn their radio off (sleep state) for a fixed duration. Barkley-MAC (BMAC) [14] provides an adaptive preamble sampling technique to effectively reduce the duty cycle and idle listening by the sensor nodes. Shah et al. [22] devised a guaranteed lifetime protocol in which the sink node assigns sleep/awake periods for other nodes depending on residual energy, sleep duration, and coverage by the nodes. A mathematical model for temperature adaptive sleep/awake strategy is developed by Bachir et al. [8] with three proposed algorithms i.e. Stop Operate (SO), a Power control (PC), and Stop-Operate-Power-Control (SOPC). The sensor nodes running any of the algorithms are supposed to observe the contemporary state based on a pre-calculated relationship between node-density and temperature. Thermal entropy of the sensor nodes has been explored in the intelligent sleep-scheduling technique iSleep [15].  Reinforcement Learning based sleep-scheduling algorithm RL-Sleep has been proposed in [7] in which the authors have used a temperature model and Q-learning technique to switch the sleep/awake states adaptively, depending on the environmental situation. 

It has been revealed through a detailed literature review that most of the clustering schemes consider energy efficiency, traffic distribution, or coverage efficiency as the prime criteria for state-scheduling and decision modelling of sensor nodes instead of relative thermal entropy, temperature adaptability or hesitant fuzziness used for nodes’ role transition etc.  A few entropy-based clustering schemes have been proposed in which entropy weight coefficient method is adopted for decision making in cluster-based hierarchical routing protocol [16-18]. Multi-Criteria Decision Analysis (MCDA) and Multi-Attribute Sensors Decision Modelling (MADM) using entropy weight coefficients are also types of entropy weight-based multi-criteria decision routing [16].  Anees et al. [19] proposed hesitant fuzzy entropy based opportunistic clustering and data fusion algorithm for heterogeneous WSNs. In this algorithm, the local sensory data is gathered from sensor nodes by utilizing hesitant fuzzy entropy based multi-attribute decision modelling for cluster head election procedure.

Afsar et al. [20] proposed an unequal size clustering method known as CREST in which the probability of becoming CH in a cluster is based on a function of the distance between BS and the node by employing track-based algorithms. Varshney et al. [21] proposed an emerging concept of simultaneous wireless information and power transfer (SWIPT) in which both energy and data are transferred over RF links simultaneously. Guo et al. [22] utilized the concept of the SWIPT to extend the network lifetime of a clustered WSN by wirelessly charging the relay nodes which are responsible to share data with BS. Zhou et al. [23] proposed dynamic power splitting (DPS) to adjust the power ratio of information encoding and energy harvesting in EHWSNs. Anees et al. [24] proposed harvested energy scavenging and transfer capabilities in opportunistic ring routing in which a distinguishing approach of hybrid (ring + cluster) topology is used in a virtual ring structure and then a two-tier routing topology is used in the virtual ring as an overlay by grouping nodes into clusters.

Overall, to the best of our knowledge, there is no published literature which focuses on thermal entropy-based HFLTS analysis for energy-efficient opportunistic clustering. In this paper, we have considered a set of attributes that regulate the nodes’ decisions about its role transition conducive to the current situation in a cluster and provided a detailed solution for optimally handling problems in energy efficient opportunistic clustering using relative thermal entropy based HFLTS analysis. The comparison between FLOC and various scheduling algorithms is given in Table 1.

Table 1. Comparison between FLOC and various scheduling algorithms


3. System Modelling

3.1 Network model

A  network area denoted as  is considered for FLOC in which  sensor nodes are deployed randomly and independently. We have assumed that sensor nodes follow a uniform distribution. The node-density of the network is denoted as . All sensor nodes use short radio range (RS) for sensing and transmission purposes whereas sink nodes can use RS for transmission & reception and long radio range (RL) for data collection tasks using a tag message.  However, all sensor nodes can exploit the power control function and communicate with different neighbouring nodes within various power levels.  A probe message is shared by each sensor node to acquire the neighbour information as discussed in [6].  Each sensor node is equipped with a power splitting radio, which is composed of a signal processing unit to transfer energy to or from neighbours using RF link. Moreover, it is also assumed that every sensor node is aware of its position using the energy-efficient localization method [25-28].  Each sensor node is characterized by a set of k attributes named as  and a set of weights  is assigned by sensor node to the  criteria of . Furthermore, the sensor node undergoes  states i.e.  , where  represents the favorable state (attribute values are above threshold) and  represents the stressed state. Depending on multiple parameters, the sensor node decides about the most suitable action against the contemporary state i.e.

3.2 Energy Model

The energy consumption model [10] for radio energy dissipation during transmission and reception is considered in which the energy required to transmit  bits of data over distance  can be given in (1) as:







4. Proposed Scheme FLOC

In this section, the proposed scheme FLOC is discussed in detail. The sink node launches data collection by broadcasting a tag message containing the mobile sink address and data collection duration. Sensor nodes calculate their working-sleeping cycle keeping in view the data collection duration of the mobile sink. Subsequently, each sensor node broadcasts a probe message containing source address, broadcast address, working-sleeping schedule, neighbour address, total energy, thermal entropy and Expected Optimal Hop (EOH) [6].

4.1 Ambient Temperature and Relative Thermal Entropy

Keeping in view the diurnal temperature variation caused by solar radiation, the sensor nodes placed under direct sunlight absorb higher heat energy than the sensor nodes in shadow. According to temperature model in [7], the temperature of a sensor node  after solar heat absorption for amount of time  can be represented in (6) as,


where  is the temperature of a node  at time ,  denotes the amount of radiation by the sun at that time,  is the temporal variation of sun exposure,  is the exposed area through which the sensor node absorbs solar heat,  is Boltzman constant,  represents the mass of the sensor node,  represents the specific heat and  symbolizes the ambient temperature. The change in temperature of a sensor node can be extracted from equation (7) i.e.


4.2 Energy Transfer and Asynchronous Sleep/Awake Cycle

We have assumed that the sensor nodes in the network are able to control their power levels in order to communicate with the neighbours. In this perspective, the amount of energy a node  could acquire from its neighbouring sensor node  through RF transfer can be defined in equation (9) and (10) as:




4.3 Expected Optimal Hop (EOH ):



4.4 Energy-welfare (EW)

Energy balance is required for a properly active WSN. The measure of energy distribution pattern among sensor nodes can be represented by a parameter known as Energy welfare. We use  to provide us an estimate of energy balance within sensor node’s neighborhood. Equation (23) can be used to formulate the EW.


4.5 Link Quality Factor ( LQF)

We measure the link quality factor in terms of the signal-to-noise ratio between sensor nodes. The acceptable dynamic range of sensor nodes for signal-to-noise ratio is 10-15 dB [6]. The ambient temperature increase due to solar radiation could affect the As we are dealing with opportunistic clustering environment where the mobility of sink node could result in the intermittency of communication links between sensor nodes and sink, LQR should be selected as one of the decision attributes in HFLTS analysis.

5. Hesitant Fuzzy Linguistic Term Set (HFLTS) Analysis

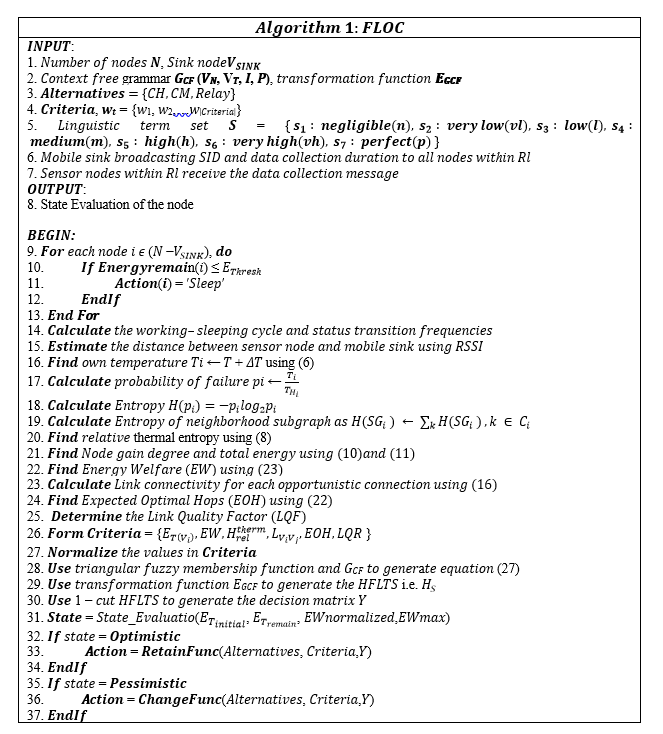
A generalization of the basic fuzzy set which deals with the uncertainty starting from the hesitation in the assignment of membership degrees of an element is known as Hesitant Fuzzy Set (HFS) [9-10,16-18]. We start the HFLTS analysis with a set of inputs containing a total number of nodes, sink, neighbour information, context-free grammar, transformation function, set of alternatives, set of criteria and weight assignment. In FLOC, a node can attain two states based on the node’s gain energy and energy welfare. The state evaluation of a node will be ‘optimistic’ if its total energy is greater than the threshold and the normalized energy welfare is greater than half of the maximum value of energy welfare.  Likewise, the state evaluation of a node will be ‘pessimistic’ if its total energy is less than the threshold and the normalized value of energy welfare is less than the half of the maximum value of energy welfare. After evaluating the state and acquiring the neighbourhood information, the node calculates the relative thermal entropy with reference to neighbourhood.  The next step is to store different attributes in an array and perform the data standardization by normalizing different attributes to obtain the fractional representation of attributes within [0 1] before defining the criteria [29-33]. The pseudo code for FLOC is given in Algorithm 1.








6. Results

6.1 Simulation Environment

We have evaluated the performance of FLOC in MATLAB 2019b and OMNET++ using cross-platform library (MEX-API). This Application Programming Interface (API) can provide the user an easy bidirectional connection interface between MATLAB and OMNET++. Nodes are arranged in random topology. We have utilized low rate, low cost, short-range, flexible and low power consumption standard IEEE 802.15.4 for our PHY and MAC layer. The performance metrics like active node ratio, average energy consumption, and packet delivery ratio are analyzed against parametric benchmarks viz. node density and temperature variation. The performance of FLOC is compared with three different approaches i.e. 1) SOPC [8], 2) BMAC [14], 3) RL-Sleep [7]. Stop-Operate Power-Control (SOPC) is a temperature-aware asynchronous sleep-scheduling algorithm in which energy, link connectivity and network coverage are preserved by putting a few sensor nodes in hibernation mode and controlling the rest of the sensor nodes’ transmission power. The communication range and a number of active nodes are adjusted to maintain the critical density for consistent connectivity in the network. Berkley-MAC (BMAC) is a low-traffic, low-power-consuming MAC protocol based on adaptive preamble sampling for duty cycling to preserve energy, provide effective collision avoidance and high channel utilization. RL-Sleep is an asynchronous reinforcement learning based procedure based on the adaptive state transition determined by sensor nodes. The state transition is based on temperature sensing and collecting information from the neighbourhood. The effect of various parameters on the performance of FLOC with other existing benchmarks is provided in this section.


6.1.1. Active node ratio

Figure (3) depicts the active node ratio comparison of FLOC with SOPC, BMAC, and RL-Sleep. It is evident from the figure that the ratio of an average number of active nodes to total number of sensor nodes in the network is higher for FLOC than in any other benchmark. Furthermore, the active node ratio for all approaches is optimum for N=80. We also evaluated the performance of FLOC against SOPC, BMAC and RL-Sleep for varying diurnal temperatures. Figure (4) shows the comparison of active node ratio of FLOC and other benchmarks for diurnal temperature variations. It has been observed that FLOC outperforms all three approaches in terms of active node ratio.  The number of active sensor nodes in the network varies inversely with the diurnal temperature.


Figure 2. Active node ratio against node density


Figure 3. Active node ratio for diurnal temperature variations

6.1.2 Average energy consumption

Figure (5) shows the performance comparison of FLOC with SOPC, BMAC, and RL-Sleep in terms of average energy consumption. BMAC outperforms all other algorithms due to its adaptive preamble strategy and short duty cycle which play a significant role in preserving energy. The adaptive adjustment of temperature with respect to communication range leverages higher energy consumption for SOPC. FLOC performs better than SOPC and RL-Sleep but exhibits a higher amount of energy consumption against BMAC due to packet broadcasting in the neighbourhood. Figure (6) depicts the average energy consumption of FLOC against other approaches for diurnal temperature variation. FLOC and BMAC exhibit almost similar profile for average energy consumed whereas SOPC and RL-Sleep consumed higher amount of energy for N=80.


Figure 4. Average energy consumption against node density


Figure 5. Average energy consumption for diurnal temperature variations

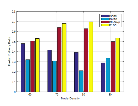
6.1.3 Packet Delivery Ratio (PDR)

Figure (7) depicts the comparison of FLOC with existing benchmarks in terms of PDR. FLOC outperforms other approaches in the case of PD. Due to its opportunistic and environment adaptive sleep scheduling strategy, the additional power loss in FLOC can be compensated due to control packet overhead. BMAC shows the worst performance against existing benchmarks. Figure (8) shows the PDR of FLOC with other approaches for diurnal temperature variations. FLOC leverages a better packet delivery ratio in comparison to other techniques. It is pertinent to mention that the PDR of FLOC decreases with the increase in diurnal temperature.


Figure 6. Packet delivery ratio against node density

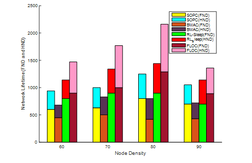
6.1.4 Network Lifetime

Network lifetime can be evaluated in terms of the dead node ratio in the network. The time when 25% or 50% of the nodes present in the network have no residual energy left to continue their data delivery tasks can be treated as the network lifetime [10]. Here, we considered two such time intervals, i.e., (i) when the first sensor node dies (FND) and (ii) when half the nodes in the network die, i.e., 50% of the sensor nodes have no residual energy left to continue their data sensing tasks (HND). The stacked bar chart in Figure (9) demonstrates the network lifetime of FLOC with SOPC, BMAC, and RL-Sleep against the node density in terms of FND and HND. In every stack, we have four bars representing four different schemes, i.e., SOPC, BMAC, RL-Sleep and FLOC. In each bar, we have two groups, i.e., FND and HND. It can be observed from the figure (9) that our proposed scheme FLOC outperforms other schemes for both FND and HND scenarios.  The best performance is achieved when number of nodes in the network are 80.


Figure 7. Packet delivery ratio for diurnal temperature variations


Figure 8. Network lifetime against node density


Figure 9. Network lifetime in terms of remaining energy against number of rounds

Similarly, we can also observe the network lifetime against a number of communication rounds in terms of total remaining energy of sensor nodes in Figure (10). Dense deployment of the nodes provides a healthy neighborhood which drives the proposed technique to perform better than others. SOPC outperforms RL-Sleep as it completely depends on its perception of the environment. FLOC, on the other hand, performs better than others as it adapts itself to the status of the neighborhood.

7. Conclusions

In this paper, a novel, distributed, FLOC algorithm is proposed based on the hesitant fuzzy linguistic term set (HFLTS) analysis in order to resolve the CH decision-making problems and network lifetime bottlenecks using a dynamic network architecture involving opportunistic clustering. The attributes such as energy transfer-based opportunistic routing, energy welfare, relative thermal entropy; expected optimal hops and link quality factor are utilized to form the criteria for Hesitant Fuzzy Linguistic Term Set and make a decision about the contemporary role of the node based on its current state. The effectiveness of FLOC is confirmed after carefully analyzing and evaluating its performance against several existing benchmarks. The simulation results have clearly shown that employing FLOC algorithm results in the improvement of the active node ratio, average energy consumption and packet delivery ratio. The possible future work would be to perform the hesitant fuzzy linguistic term set analysis for harvested energy scavenging and transfer capabilities in opportunistic clustering.

Acknowledgments

The authors would like to thank all the reviewers for their insightful comments and deliberate suggestions for improving the quality of this paper. This work was supported in part by the National Key Research and Development Program of China under Grant 2020YFB1901900, and in part by the National Natural Science Foundation of China (NSFC) under Grant 51776050 and Grant 51536001.

Conflicts of Interest

The author declares no conflict of interest.

References

[1] O. Ogundile, A. Alfa, “A Survey on an Energy-Efficient and Energy-Balanced Routing Protocol for Wireless Sensor Networks,” Sensors, vol. 17, no. 1084, 2017.

[2] M. S. Manshahia, “Wireless Sensor Networks: A Survey,” IJSER, vol. 74, p. 710–716, 2016.

[3] A. Boukerche and A. Darehshoorzadeh, ‘‘Opportunistic routing in wireless networks: Models, algorithms, and classifications,’’ ACM Comput. Surv., vol. 47, no. 2, pp. 1–36, Jan. 2015, doi: 10.1145/2635675.

[14] J . Luo, J. Hu, D. Wu, and R. Li, ‘‘Opportunistic routing algorithm for relay node selection in wireless sensor networks,’’ IEEE Trans. Ind. Informat., vol. 11, no. 1, pp. 112–121, Feb. 2015, doi: 10.1109/TII.2014.2374071.

[5] G. Yang, Z. Peng, and X. He, ‘‘Data collection based on opportunistic node connections in wireless sensor networks,’’ Sensors, vol. 18, no. 11, p. 3697, Oct. 2018, doi: 10.3390/s18113697.

[6] Anees, Zhang, Baig, and Lougou, ‘‘Energy-efficient multi-disjoint path opportunistic node connection routing protocol in wireless sensor networks for smart grids,’’ Sensors, vol. 19, no. 17, p. 3789, Sep. 2019, doi: 10.3390/s19173789.

[7] Banerjee, Partha Sarathi, Satyendra Nath Mandal, Debashis De, and Biswajit Maiti. “RL-sleep: Temperature adaptive sleep scheduling using reinforcement learning for sustainable connectivity in wireless sensor networks.” Sustainable Computing: Informatics and Systems, vol. 26, no. 100380, 2020.

[8] A. Bachir, W. Bechkit, Y. Challal and A. Bouabdallah, “Joint Connectivity-Coverage Temperature-Aware Algorithms for Wireless Sensor Networks,” in IEEE Transactions on Parallel and Distributed Systems, vol. 26, no. 7, pp. 1923-1936, 1 July 2015, doi: 10.1109/TPDS.2014.2331063.

[9] R. M. Rodriguez, L. Martinez and F. Herrera, “Hesitant Fuzzy Linguistic Term Sets for Decision Making,” in IEEE Transactions on Fuzzy Systems, vol. 20, no. 1, pp. 109-119, Feb. 2012, doi: 10.1109/TFUZZ.2011.2170076.

[10] J. Anees, H.-C. Zhang, B. G. Lougou, S. Baig, and Y. G. Dessie, ‘‘Delay aware energy-efficient opportunistic node selection in restricted routing,’’ Comput. Netw., vol. 181, Nov. 2020, Art. no. 107536, doi: 10.1016/j.comnet.2020.107536.

[11] C. Tunca, S. Isik, M. Y. Donmez and C. Ersoy, “Ring Routing: An Energy-Efficient Routing Protocol for Wireless Sensor Networks with a Mobile Sink,” in IEEE Transactions on Mobile Computing, vol. 14, no. 9, pp. 1947-1960, 1 Sept. 2015, doi: 10.1109/TMC.2014.2366776.

[12] M. Mukherjee, L. Shu, L. Hu, G. P. Hancke, C. Zhu, “Sleep Scheduling in Industrial Wireless Sensor Networks for Toxic Gas Monitoring,” IEEE Wirel. Commun. vol. 99, p. 2–8, 2017.

[13] Ye, Wei, John Heidemann, and Deborah Estrin, “Medium access control with coordinated adaptive sleeping for wireless sensor networks,” IEEE/ACM Transactions on Networking, vol. 12, no.3, p. 493- 506, 2004.

[14] Polastre, Joseph, Jason Hill, and David Culler, “Versatile low power media access for wireless sensor networks,” Proceedings of the 2nd international conference on Embedded networked sensor systems, 2004.

[15] P. S. Banerjee, S. N. Mandal, D. De et al, “iSleep: thermal entropy aware intelligent sleep scheduling algorithm for wireless sensor network,” MicrosystTechnol, vol. 26, p. 2305–2323, 2020. DOI: https://doi.org/10.1007/s00542-019-04706-7.

[16] Mo, Xiaoyi, Hua Zhao, and Zeshui Xu, “Feature-based hesitant fuzzy aggregation method for satisfaction with life scale,” in Applied Soft Computing, vol. 94, no. 106493,2020.

[17] P. Musílek, P. Krömer and T. Barton, “E-BACH: Entropy-Based Clustering Hierarchy for Wireless Sensor Networks,” 2015 IEEE/WIC/ACM International Conference on Web Intelligence and Intelligent Agent Technology (WI-IAT), 2015, pp. 231-232, doi: 10.1109/WI-IAT.2015.88.

[18] W. Liang, M. Goh, Y. M. Wang, “Multi-attribute group decision making method based on prospect theory under hesitant probabilistic fuzzy environment,” in Computers & Industrial Engineering, vol. 149, no. 106804, 2020.

[19] J. Anees, H.-C. Zhang, S. Baig, B. Guene Lougou, and T. G. Robert Bona, ‘‘Hesitant fuzzy entropy-based opportunistic clustering and data fusion algorithm for heterogeneous wireless sensor networks,’’ Sensors, vol. 20, no. 3, p. 913, Feb. 2020, doi: 10.3390/s20030913.

[20] M. M. Afsar, M. Younis, “A load-balanced cross-layer design for energy-harvesting sensor networks,” J. Netw. Comput. Appl., vol. 145, pp. 102390, 2019. doi: 10.1016/j.jnca.2019.06.010.

[21] L. R. Varshney, ‘‘Transporting information and energy simultaneously,’’ in Proc. IEEE Int. Symp. Inf. Theory, Toronto, ON, Canada, Jul. 2008, pp. 1612–1616, doi: 10.1109/ISIT.2008.4595260.

[22] S. Guo, F. Wang, Y. Yang and B. Xiao, “Energy-Efficient Cooperative Tfor Simultaneous Wireless Information and Power Transfer in Clustered Wireless Sensor Networks,” in IEEE Transactions on Communications, vol. 63, no. 11, pp. 4405-4417, Nov. 2015, doi: 10.1109/TCOMM.2015.2478782.

[23] X. Zhou, R. Zhang, and C. K. Ho, ‘‘Wireless information and power transfer: Architecture design and rate-energy tradeoff,’’ IEEE Trans. Commun., vol. 61, no. 11, pp. 4754–4767, Nov. 2013, doi: 10.1109/TCOMM.2013.13.120855.

[24] J. Anees, H. -C. Zhang, B. G. Lougou, S. Baig, Y. G. Dessie and Y. Li, “Harvested Energy Scavenging and Transfer capabilities in Opportunistic Ring Routing,” in IEEE Access, vol. 9, pp. 75801-75825, 2021, doi: 10.1109/ACCESS.2021.3082296.

[25] G. Han, J. Jiang, C. Zhang, T. Q. Duong, M. Guizani, and G. K. Karagiannidis, ‘‘A survey on mobile anchor node assisted localization in wireless sensor networks,’’ IEEE Commun. Surveys Tuts., vol. 18, no. 3, pp. 2220–2243, 3rd Quart., 2016, doi: 10.1109/comst.2016.2544751.

[26] L. Karim, N. Nasser, and T. El Salti, ‘‘RELMA: A range free localization approach using mobile anchor node for wireless sensor networks,’’ in Proc. IEEE Global Telecommun. Conf. GLOBECOM, Miami, FL, USA, Dec. 2010, pp. 1–5, doi: 10.1109/glocom.2010.5683802.

[27] A. Gopakumar and L. Jacob, ‘‘Localization in wireless sensor networks using particle swarm optimization,’’ in Proc. IET Conf. Wireless, Mobile Multimedia Netw., Beijing, China, 2008, pp. 227–230, doi: 10.1049/cp:20080185.

[28] X. Li, J. Yang, A. Nayak, and I. Stojmenovic, ‘‘Localized geographic routing to a mobile sink with guaranteed delivery in sensor networks,’’ IEEE J. Sel. Areas Commun., vol. 30, no. 9, pp. 1719–1729, Oct. 2012, doi: 10.1109/jsac.2012.121016.

[29] RodríGuez, Rosa M., Luis MartıNez, and Francisco Herrera, “A group decision making model dealing with comparative linguistic expressions based on hesitant fuzzy linguistic term sets,” Information Sciences, vol. 241, pp. 28-42, 2013.

[30] Lee, Li-Wei, and Shyi-Ming Chen, “Fuzzy decision making based on likelihood-based comparison relations of hesitant fuzzy linguistic term sets and hesitant fuzzy linguistic operators.” Information Sciences, vol. 294, pp. 513-529, 2015.

[31] Lotfi A Zadeh, “Fuzzy logic—a personal perspective.” Fuzzy sets and systems, vol. 281, pp. 4-20, 2015.

[31] Torra, Vicenç, “Hesitant fuzzy sets.” International Journal of Intelligent Systems, vol. 25, no. 6 pp. 529- 539, 2010.

[33] Chen Shyi-Ming, and Jia-An Hong, “Multicriteria linguistic decision making based on hesitant fuzzy linguistic term sets and the aggregation of fuzzy sets,” Information Sciences, vol. 286, pp. 63- 74, 2014.

[34] C. A. Boano, M. Zúñiga, J. Brown, U. Roedig, C. Keppitiyagama and K. Römer, “TempLab: A testbed infrastructure to study the impact of temperature on wireless sensor networks,” IPSN-14 Proceedings of the 13th International Symposium on Information Processing in Sensor Networks, 2014, pp. 95-106, doi: 10.1109/IPSN.2014.6846744.

[35] Shah, Babar, et al. “Guaranteed Lifetime Protocol for IoT based Wireless Sensor Networks with Multiple Constraints.” Ad Hoc Networks, no. 102158, 2020.

[35] K. Xiao, R. Wang, H. Deng, L. Zhang, C. Yang, “Energy-aware Scheduling for Information Fusion in Wireless Sensor Network Surveillance,” Information Fusion, 2018. DOI: https://doi.org/10.1016/j.inffus.2018.08.005

[36] H. Mostafaei,  A. Montieri, V. Persico,  A. Pescapé,  “A sleep scheduling approach based on learning automata for WSN partial coverage,” Journal of Network and Computer Applications, vol. 80, pp. 67-78, 2017.

[37] H. S. AbdelSalam and S. Olariu, “Toward Adaptive Sleep Schedules for Balancing Energy Consumption in Wireless Sensor Networks,” in IEEE Transactions on Computers, vol. 61, no. 10, pp. 1443-1458, Oct. 2012, doi: 10.1109/TC.2011.157.

Authors

Junaid Anees received a B.S. degree from the Institute of Space Technology, Islamabad, Pakistan in 2010 and an M.S. degree in Electrical Engineering from COMSATS University Islamabad, Pakistan in 2015. Currently, he is a Ph.D. scholar in the School of Energy Science & Engineering at Harbin Institute of Technology, China. He holds a Senior Manager Position in Ground Segment Network Operations in Public Sector Organization in Pakistan. His research interest includes Energy harvesting Wireless Sensor Networks, Opportunistic Routing, Smart Grids, and Distributed Computing.

Prof. & Dr. Hao-Chun Zhang is currently the Head of the Department of Nuclear Science and Engineering and executive professor of HIT-CORYS Nuclear System Simulation International Joint Research Center (Sino-France). With BE in 1999, ME in 2001, and Ph.D. in 2007 from Harbin Institute of Technology (HIT), Dr. Zhang joined HIT in September 2004. Dr. Zhang has about 200 research publications in peer-reviewed journals and conferences, 5 books, and 2 translations of foreign books.

Leave a comment

Information

This entry was posted on April 23, 2022 by .