International Journal of Computer Networks & Communications (IJCNC)

AIRCC PUBLISHING CORPORATION

IJCNC 04

A HIGH PERFORMANCE HYBRID TWO DIMENSIONAL SPECTRAL/SPATIAL NZCC/MD CODE FOR SAC-OCDMA SYSTEMS WITH SDD DETECTION

Berber Redouane1, Bouasria Fatima2, Chetioui Mohammed2,3,Damou Mehdi2and Boudkhil Abdelhakim2, 3

1Department of Electronics, Dr. Moulay Tahar University of Saida, Algeria 2Laboratory of Electronics, Advanced Signal Processing and Microwave, Dr. Moulay Tahar University of Saïda, Algeria 3Laboratory of Telecommunications, Abu-Bakr Belkaid University of Tlemcen, Algeria

ABSTRACT

This paper proposes a new technique to construct a hybrid zero cross-correlation (NZCC) based on multiple diagonal (MD) code for two-dimensional (2D) spectral amplitude coding for optical code division multiple access code division multiple access (SAC-OCDMA) systems. The proposed hybrid code liminates totally the multiple access interference (MAI) between a large number of users and allows them to connect simultaneously via the optical communication link with a high speed to receive huge data and serve various areas such as Internet, telephony, DAB radio, digital audio broadcasting, and DVB video. Simulation results demonstrate that the performance of such a SAC-OCDA system based on novel 2D hybrid NZCC/MD code can be easily improved keeping a less complex structure using couplers for direct spectral/spatial dimension (SDD) detection and show superior bit error rate (BER) values comparing to previously developed two-dimensional codes including perfect difference (2D-PD), diagonal Eigen-value units (2D-DEU), multi-service (2D-MS) and balanced incomplete block design (2D-BIBD) codes.

KEYWORDS

Optical Link, SAC-OCDMA Systems, Two-dimensional, Hybrid Code, NZCC Code, MD Code, Spectral/Spatial Dimension (SDD) Detection.

1. INTRODUCTION

Optical communication using fibers relies in different systems for a long time for the reason it offers several advantages like fast data transmission, wide bandwidth, the possibility of data transmitting to different users on the same medium by keeping a high security level [1]. Currently, communication systems constantly increase in speed so that in order to respond such a capacity there will be a real need to widen the employed bandwidth presented by the channel that will be shared between the different users that becomes a target aim for many research studies. Several access techniques are used to meet the previous requirements; among them CDMA (optical code division multiple access) technique is widely used. The integration of CDMA technique to optical communication systems aims to overcome the limitations of TDMA (time division multiple access) and WDMA (wave length division multiple access) techniques in terms of multiplexing, data rate and flexibility in addition to minimize the high cost of implementation caused by coding and decoding functions in optical transmission through using optical  components from which it is proposed the nomination of all-optical CDMA, namely, OCDMA (optical code division multiple access) systems [2-3]. So far, OCDMA systems have been classified in terms of optical signals’ superposition and divided into two main types: coherent and incoherent. Incoherent systems that in general use unipolar codes and their performances depend on the way of manipulating the optical signal amplitude. SAC-OCDMA (spectral amplitude coding for optical code division multiple access) technique is the most promising one for such type of systems [4]. 

Previously, 1D codes showed a limited performance for OCDMA systems in terms of cardinality and interferences causing restricted bandwidths. Efficient ways to overcome weakness in onedimensional OCDMA systems consist to use a two-dimensional code structure. Many 2D codes have been developed to enhance the system’s cardinality and remove multiple access interference and phase-induced intensity noise (PIIN) attenuation. 2D spectral/temporal (W/T), spectral/spatial (W/S) and temporal/spatial (T/S) codes allow to effectively exploit the channel’s bandwidth with high performance by increasing the number of users that are simultaneously connected [5]. However, 2D W/T and W/S coding techniques can allow a high transmission capacity and flexibility compared to 2D time/ space (T/S) coding [6].Accordingly, 2D codes can be divided into two main categories made by either converting a 1D code sequence to a 2D code sequence or developing a hybrid code sequence from a specific code sequence crossed to another 
code sequence that consequently allows to increase the system’s cardinality as well as improve its correlation properties [7,8]. From literature, Najjar et al. [9] have been presented the way of constructing a 2D diagonal Eigen value unit (DEU) code using a W/S coding technique with minimal cross-correlation. They observed that the cardinality is increased comparing to the 1D DEU code that exist previously. In addition, Kadhim et al. [10] have been developed a 2D multi diagonal (MD) from 1D MD code using ZCC properties. Abdallah et al. [11] have been proposed a 2D modified double-weight code (MDW) based on 1D MDW using W/S coding technique.

In this regard, this paper presents an efficient hybrid 2D spectral/spatial NZCC/MD code for SAC-OCDMA systems based on SDD detection. The system based on the hybrid code is characterized by a low structure complexity, a total MAI cancellation, and a high broadband performance for a large number of simultaneous users in comparison to previous twodimensional codes  such as perfect difference (2D-PD), diagonal Eigen-value units (2DDEU),multi-service (2DMS) and  balanced incomplete block design (2D-BIBD) codes. The proposed code can be integrated within next generations of passive-active networking systems [12-13] to share several services between connected clients. The paper is divided into five sections starting by describing the 1D and 2D-ZCC/MD code construction technique in Section 1 and 2, presenting the transceiver structure in Section 3, analyzing the system performance in Section 4 to end by evaluating the code yield in Section 5.

2. 1D CODE CONSTRUCTION

Figure 1 presents a fourth order coupled A new form of ZCC codes named NZCC that has been introduced by [14-15] and allows to reduce the code length compared to the existing ZCC codes offering the advantage of a simple construction procedure, good flexibility in choosing the weight and number of users that makes the encoder and decoder structures more simplified. The main technique facilitates the construction of this code that is illustrated as follows:

  • Starting by the creation of a non diagonal matrix with (KxK) dimension concatenated by one or more diagonal matrices (according to the weight of the code W) the number of diagonal matrices added is (W-1) matrices (which summarize a number (W-1) of concatenation iterations of square diagonal matrices of dimension (KxK)). 

Figure 1. NZCC code matrix construction

  •  Ending by two displacements: The first move the last column of the total matrix to the beginning before the non diagonal matrix, then move the first column of the first diagonal matrix towards the end of the total matrix (instead of column moved previously) as shown in Figure 1.

The 2D ZCC/MD code is a hybrid code constructed on the basis of combining 1D NZCC code to a 1D MD code for SAC-OCDMA systems. It presents a spectral/spatial coding type for which the NZCC code is used for spectral spreading and the MD code is used for spatial spreading. The (W/S) coding provides a connection between the optical fibers and the couplers with a shape of a star. This hybrid coding suggests for the same code length (NZCC) that the number of users simultaneously connected is proportional to the length of the spatial code [16]. To understand the manner of constructing the NZCC/MD code, the following example is described taking into account a NZCC code with (K = 2, W = 2, Lw = 4) and MD code with (users N = 2, weight Ws = 1, length Ls = 2):

The construction of 2D NZCC/MD code on W/S system is presented by the following table:

Table 1. 2D NZCC/MD matrix construction



Figure 2. 2D SAC-OCDMA system with direct detection

Note that only non-zero code sequences with power are connected to the couplers. The properties of autocorrelation and cross-correlation of the 2D NZCC/MD code can be written as follows:

According to [17], the use of power combine at the coupler output leads to the presence of a PIIN noise that is why each coupler output must simply connect to a single photodetector via a fiber. The 2D W/S system diagram is illustrated by Figure 3:


Figure 3. 2D SAC-OCDMA system with direct detection without power combine and splitter

For K users, the optical power of a LED is divided by a demultiplexer (WDMUX) in L wavelengths spaced BP/L nm. With BP is the system bandwidth and L is the length of the NZCC code. The wavelengths are multiplexed (MUX) dependent on the NZCC code sequence from which each multiplexer receives W different wavelengths, or W is the weight of the NZCC code. 

The multiplexer output is sent to the optical input of the modulator MZ. The other input of the latter is connected to the PRBS and NRZ pulse generator. The weight W1 of the spatial MD code defines the number of used couplers. The inputs of these couplers receive the SAC-OCDMA signals previously coded by the NZCC code respecting the 2D NZCC/MD code matrix. The null sequence of the MD code will be ignored and not connected to the coupler. The output signals of the couplers are emitted in optical fibers. In order to reduce the number of optical fibers, couplers of N inputs, single (Nx1) output are used. This makes possible to reduce the system size and construction cost [18].

The method difficulty lies in the Nx1 coupler which presents an important element for constructing the 2D W/S system. So that, in order to increase the system capacity and exploit the bandwidth in maximum, each coupler provides a specific task and can serve many users. The number of possible users is a function of the number of N inputs of the coupler to provide a greater cardinality for the system keeping the system structure as reduced as possible. The number of couplers is also a function of the customer rate in a way the more number of couplers is higher the more system shares a lot of services with high rates.

At the reception side, the optical power received from each coupler (via the fiber) is injected into detection chains made up of optical filters whose cut-off frequency depends on the wavelength (code) to be detected. Converted electrical signal using photodetectors are processed after by electrical low pass filters that are placed in series to the photodetectors. The configuration of the NZCC/MD encoder and decoder is illustrated in Figure 4 for K simulated users. The system allows transmitting a lot of multimedia data for each user (such as IPTV, RoF, and other data). Each spectral code is divided into blocks of N branches (depending on the number of data to be sent), each branch is connected to the input optics of an MZ modulator, and each type of data is sent to the electrical input of the MZ of each branch.

The number of branches is equivalent to the number of couplers used for spatial coding (See diagram in Figure 4a) each coupler receives a single signal from one branch among the N  branches of a single block for a single spectral code (a user). The end of each fiber is connected to a direct detection block consisting of a splitter and N set of optical filters, photodetectors, and electrical low-pass filters. Figure 4b illustrates the receiver structure with the detection blocks. The identification of users and user data at the output of each coupler relates to the following formula:

  •  Case of N branch by block :

  •  Case one branch by block :

For a code K = 6 users (6 sequence of NZCC code of length = 6), N = 3 (the number of lines of MD code)

  • Case 1: only one branch per block (one spectral code per branch)

  •  Case 2 : a block contains N branch :


Figure 4.a. Transmitter diagram for a 2D SAC-OCDMA system with N couplers


Figure 4.b. Receptor diagram for a 2D SAC-OCDMA system with N couplers

4. 2D NZCC/MD CODE PERFORMANCE

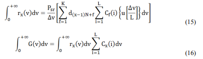
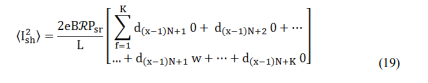
NZCC codes and MD codes allow the elimination of PIIN noise and overlap between different  users (the MAI effect is ignored and only the shot noise and the thermal noise in the photodetector (PD) is envisaged) [19-20]. The Gaussian approximation is applied to the BER calculation. The total variation of the current photo noise is presented according to the equation: 

Where is the total noise power; is the variance of the shot noise and is the thermal noise. According to the detection process on the photodetector:

Where ℛ is the response of the photodetector

For the optical signals received from the sixth coupler, the DSP is expressed by:

From where:

N is the line number of the MD code matrix. When all users transmit bits ‘1’ and for a system with direct optical detection, the NZCC code property is written as:

That is the ith element of the xth NZCC code sequence, and W2 is the weight of the hybrid matrix of the 2d NZCC / MD code.

From where:

Overall, the system has a capacity of K2d user number (K2d = K * N) and a code length L2d = L = W * K, hence the previous equation:

The total noise power at the output of the photodetector is presented as follows:

Where:

  •  Psr is the effective power of a broadband source at the receiver.
  • e is the electronic load, B is the equivalent electrical receiver bandwidth in [Hz].
  • KB is Boltzmann’s constant.
  • Tn the absolute temperature of the receiver.
  • RL is the load resistance of the receiver.
  • K and N are respectively the number of lines of the spectral and spatial codes.

Using the properties of the NZCC code is necessary to obtain a pure photo-current after a direct detection process, the photo-current expression becomes then:

The signal to noise (SNR) becomes:

From the SNR, the useof the Gaussian approximation makes the bit error rate (BER) as:

5. RESULT ANALYSIS

The performance of the proposed hybrid NZCC/MD code is simulated and analyzed using Optisystem software (V15). The direct detection technique is chosen to facilitate the code implementation in the system. The wavelengths used in the system are proportional to the bandwidth and a function of the central wavelength over a range of 6nm used from 1552 μm to 1558 μm. The central frequency is 1555 nm; it offers a minimum of attenuation and absorption for the optical fiber. The performance of the hybrid NZCC/MD system is compared to 2D-PD (perfect difference), 2D-DEU (diagonal Eigen value units), 2D-MS (multi-service) and 2D-BIBD codes and displayed in the following Figures. The parameters used in simulation to calculate the BER are presented in the table 2.

Table 2. Parameters used for the numerical calculation of BER


According to Figure 5 which shows the variation of BER value as a function of the number of simultaneous users for 1D system, it is observed that the user number capacity of the 1D NZCC code (w=2) is fair to the capacity of the 1D code. MD for the same code length tends to be better than the MQC (p=13) and MFH (q = 16) codes.


Figure 5. BER graph for simultaneous users for different codes

Figure 6 illustrates the variation of the BER as a function of the number of simultaneous connected users for −10dBm of received power and 622 MB/s of data rate. It is clearly observed that when the number of users is greater than 100, the quality of the BER of the proposed code takes good values comparing to the previous codes such as 2D-DEU, 2D-PD, and 2D-BIBD. The BER takes a minimum value is of 10-9 supporting 27, 90, 100, 138, and 140 users for 2D-DEU, 2D-PD, 2D-BIBD, 2D-MS and 2D NZCC/ MD (W / S) codes, respectively.

Table 3. BER/user number related to the number of coupler



Figure 6. Dependence of BER on number of simultaneous users for different 2D-codes with K=57 and N=3.


Figure 7. Performance of 2D system for different number of couplers

Figure 8 shows the BER values of the hybrid system for an optical power range received from – 30 dBm to 0 dBm. It is shown that for the same BER, adding the couplers allows the detection of low optical power and leads to realize a good transmission for a great distance. According to the eye diagram represented in Figure 9, a large eye opening is shown that expresses a very low error rate (-19dBm) and good performance favoring the easy implementation of the code in SACOCDMA systems. 


Figure 8. BER versus Psr


Figure 9. Eye diagram of the second user for a data rate equals to 622Mbps./p>

6. CONCLUSION

This paper presents a new efficient two-dimensional spectral/spatial NZCC/MD code based on non diagonal matrix for SAC-OCDMA systems using SDD detection. Results obtained from calculation and simulation indicate that the developed code leads to a total elimination of the MAI and PIIN noise and provides a large number of simultaneous users. In this context, the system based on hybrid 2D NZCC/MD system outperforms the other systems’ performance using 1D NZCC, 2D-PD, 2D-DEU, 2D-BIBD and 2D MD (W/P) codes. This is demonstrated by good BER values related to the number of simultaneous users achieved by the system based on the proposed code. In addition, the hybrid code construction procedures reduce the system structure complexity for a high number of simultaneous users. The system based on the developed code provides a big data rate and good broadband performance and stills robust for high debit and high simultaneous number of users using couplers and direct detection.

Efficiency of introducing couplers on both permitted users and overall system debit is clearly observed. The more couplers added to the transmission, the more services with high data rates are shared. Each client can receive big data without any interference with the others clients. Each user debit is consequently increased and transmission is more optimized. In short, the proposed code can be highly recommended to be employed within for next generations of passive-active  networking systems aiming to provide a two-way communication (up and down) as well as share several services for clients connected over the system that consists a very interesting perspective for the future research axes.

CONFLICT OF INTEREST

The authors declare no conflict of interest.

REFERENCES

[1] Agarwal, G.P.: Fiber Optic Communication Systems, 3rd edn, pp. 15—19. Wiley, New York (2007).

[2] Karafolas, Nikos: Optical fiber code division multiple access networks: a review. Opt. Fiber Technol. 2, 149—168 (1996).

3] Yin, H., Richardson, D.J.: Optical Code Division Multiple Access Communication Networks. Theory and Applications. Springer, Berlin (2009).

[4] Sarangal, H., Singh, A., Malhotra, J.: Construction and analysis of a novel SAC-OCDMA system with EDW coding using direct detection technique. J. Opt. Commun. (2017).

[5] Ahmed, H.Y.; Zeghid, M.; Imtiaz,W.A.; Sghaier, A. Two-dimensional Fixed Right Shift (FRS) code for SAC-OCDMA systems.Opt. Fiber Technol. 2019, 47, 73–87.

[6] Chang, Y.T.; Huang, J.F.; Yen, C.T.;Wang, C.C.; Cheng, H.C.; Hsu, K.C. A new shared AWG-based OCDMA scheme implemented with time-spreading and wavelength-group-hopping embedded Msequence code. Opt. Fiber Technol. 2010, 16, 114–123.

[7] Kandouci, C.; Djebbari, A. Design of new hybrid wavelength hopping/time spreading codes for optical CDMA by combining OCC and BIBD ZCC codes. Optik 2017, 133, 73–79.

[8] Aishah, H.; Anuar, M.S.; Aljunid, S.A.; Arief, A.R. Performance evaluation of 2D hybrid code vs 2D M-matrices code in SAC-OCDMA systems. In Proceedings of the 2013 IEEE 4th International Conference on Photonics (ICP), Melaka, Malaysia, 28–30 October 2013; pp. 224–226.

[9] Najjar, M.; Jellali, N.; Ferchichi, M.; Rezig, H. Spectral/spatial optical CDMA code based on diagonal eigenvalue unity. Opt. Fiber Technol. 2017, 38, 61–69.

[10] Kadhim, R.A.; Fadhil, H.A.; Aljunid, S.A.; Razalli, M.S. A new two dimensional spectral/spatial multi-diagonal code for non coherent optical code division multiple access (OCDMA) Systems. Opt. Commun. 2014, 329, 28–33.

[11] Abdullah, A.R.; Aljunid, S.A.; Safar, A.M.; Nordin, J.M.; Ahmad, R.B. Mitigation of multiple access interference using twodimensional modified double weight codes for optical code division multiple access systems. Opt. Eng. 2012, 51, 065007.

[12] Yazeed A. Al-Sbou.: Wireless Networks Performance Monitoring Based on Passive-active Quality of Service Measurements. International Journal of Computer Networks & Communications (IJCNC), Vol.12, No.6, pp. 15-32, Nov 2020.

[13] Wataru U., Yasuhiro F. and Takato H.: About Digital Communication Methods For Visible Light Communication.

[14] Lin, C., Wu, J., Yang, C.: Noncoherent Spatial / Spectral Optical CDMA System With TwoDimensional Perfect Difference Codes. Journal Of Light wave technology. Vol.23, 3966–3980 (2005).

[15] Jellali, N., Najjar, M., Ferchichi, M., Rezig, H.: Optical Fiber Technology Development of new twodimensional spectral / spatial code based on dynamic cyclic shift code for OCDMA system. Optical
Fiber Technology. 36, 26–32 (2017).

[16] Sharma, T.; Chehri, A.;Fortier, P.; Yousif Ahmed, H.;Zeghid, M.; A. Imtiaz,W. Optical Code Construction of 2D Spectral/Spatial BIBD Codes for SAC-OCDMA Systems. Appl. Sci. 2021, 11,783.

[17] Nisar, Kottakkaran & Sarangal, Himali & Thapar, Simrandeep.. Performance evaluation of newly constructed NZCC for SAC-OCDMA using direct detection technique. Photonic Network Communication. 37. 75–82. 10.1007/s11107-018-0794-4. (2019)

[18] Nisar, K.S.: Construction of zero cross correlation code using a type of anti-diagonal-identity-column
block matrices. Optik 125, 6586—6588 (2014).

[19] Bouarfa, A., Kandouci, M., Garadi, A. and Djellab, H.. “PIIN Cancellation Using a Novel Receiving Architecture for Spectral/Spatial SAC-OCDMA System” Journal of Optical Communications, vol. 41, no. 3, 2020, pp. 295-304.

[20] Anuar, M.S., Aljunid, S.A., Saad, N.M., Andonovic, I.: Performance analysis of optical zero cross correlation in OCDMA system. J. Appl. Sci. 7(23), 3819—3822 (2007).

AUTHORS

Mr. Redouane BERBER received the second university degree (M.A) in Electronics from Dr. Tahar Moulay University of Saida, Algeria in 2008. He is an assistant professor and a deputy head of Electronics department at Dr. Tahar Moulay University of Saida, Algeria. His research interests focus especially on electronic components and systems, optical communication, and Networking. He is working oninvestigating different multiple access techniques.

Pr. Fatima BOUASRIA received the doctor of ES-science degree in Signal Processing And Telecommunications from Djilali Liabès University of Sidi-Bel-Abbès, Alegria in  2009. Currently, she works as a Professor and head of Laboratory of Electronics,  Advanced Signal Processing and Microwave at Dr. Tahar Moulay University of Saïda, Algeria. Her research interests include wireless networks, signal processing for telecommunications, multi-carrier code division multi-access (CDMA), channel encoding, and optical communications.

Dr. Mohammed CHETIOUI received the doctorate of ES-science degree in Telecommunications from Abu Bakr Belkaid University of Tlemcen, Algeria in 2018. He is a lecturer at Electronics department of Dr. Tahar Moulay University of Saida, Algeria.  His research interests include digital communications, signal processing, microwave circuits and RF systems. He is working on designing passive/active microwave filters based on microstrip technology and accurate optimizations.

Dr. Mehdi Damou received the doctorate of ES-science degree in Telecommunications from Abu Bakr Belkaid University of Tlemcen, Algeria in 2017. He is a lecturer and the Head of Electronics department at Dr. Tahar Moulay University of Saida, Algeria. His research interests include microwave and RF devices and components. He is working on developing antennas designs and microwave filters based on SIW technologies and efficient EM modeling techniques.

Dr. Abdelhakim BOUDKHIL received the doctorate of ES-science degree in Electronics from Abu Bakr Belkaid University of Tlemcen, Algeria in 2018. He is an assistant professor in Electronics department at Dr. Tahar Moulay University of Saida, Algeria. His research experience concerns several fields including digital, optical, microwave, and RF communication systems. His research focuses more on optimizing and developing antennas based on integrated technology and advanced techniques. 

 

Leave a comment

Information

This entry was posted on April 19, 2022 by .