International Journal of Computer Networks & Communications (IJCNC)

AIRCC PUBLISHING CORPORATION

IJCNC 01

Privacy Preserving Reputation Calculation in P2P Systems with Homomorphic Encryption

FUJITA Satoshi
Graduate School of Advanced Science and Engineering, Hiroshima
University, Kagamiyama 1-4-1, Higashi-Hiroshima, 739-8527, Japan

Abstract

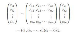
In this paper, we consider the problem of calculating the node reputation in a Peer-toPeer (P2P) system from fragments of partial knowledge concerned with the trustfulness of nodes which are subjectively given by each node (i.e., evaluator) participating in the system. We are particularly interested in the distributed processing of the calculation of reputation scores while preserving the privacy of evaluators. The basic idea of the proposed method is to extend the EigenTrust reputation management system with the notion of homomorphic cryptosystem. More specifically, it calculates the main eigenvector of a linear system which models the trustfulness of the users (nodes) in the P2P system in a distributed manner, in such a way that: 1) it blocks accesses to the trust value by the nodes to have the secret key used for the decryption, 2) it improves the efficiency of calculation by offloading a part of the task to the participating nodes, and 3) it uses different public keys during the calculation to improve the robustness against the leave of nodes. The performance of the proposed method is evaluated through numerical calculations. 

Keywords

P2P reputation management, homomorphic cryptosystem, EigenTrust, Paillier cryptosystem.

Table 1. Execution time required for the encoding/decoding in the Paillier cryptosystem. Two values in each cell show the mean and the sample standard deviation over 1000 runs, respectively.



Fig 1. . Two partitions of the set of nodes V = {1, 2, . . . , 24} with k = 4. Four subsets in U are represented by dashed blue rectangles and six subsets in V are represented by dashed red rectangles.

Pailier cryptosystem satisfies the additive homomorphism in the sense that the decryption of the product of two ciphertexts equals to the sum of plaintexts. Let c1 and c2 be ciphertexts of messages m1 and m2, respectively, and let c := c1 × c2 mod n 2 . Then,

Leave a comment

Information

This entry was posted on January 22, 2022 by .