International Journal of Computer Networks & Communications (IJCNC)

AIRCC PUBLISHING CORPORATION

IJCNC 02

AN OPTIMAL ROUTE DISCOVERY USING BIOGEOGRAPHY BASED OPTIMIZATION FOR VEHICULAR AD HOC NETWORKS

1Department of Computer Science and Engineering,
Government Engineering College, Raichur, India
2Department of Computer Science and Engineering,
Government Engineering College, Gangavathi, India
3Department of Electronics and Communication Engineering,
H.K.E.S’s S.L.N. College Of Engineering, Raichur, India


Figure 1. Flowchart of the RBBO-VLC-VANET method

4.1. VLC-VANET system model

The VLC-VANET system model is comprised of vehicles as mobile nodes and lighting sources as transmitting/receiving sources. In this VLC-VANET, both the lighting infrastructure and mobile nodes are equipped with the transmitter and receiver to transmit and receive the information from the adjacent vehicles. For example, the VLC transmitter and receiver are equipped with the headlights and brake lights of a vehicle. The VLC transmitter and VLC receiver are connected through the free space optical communication channel. The main requirement of the VLC is the Line-of-Sight (LoS) especially in outdoor vehicle communications.

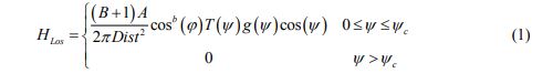
The light emitted from the transmitter contains the data packets which are transferred through the wireless medium. Here, the direct LoS is used as communication technology between the vehicles which used to minimize the multipath distortion during data transmission. The channel model of this VLC-VANET is expressed in the equation (1).

Where, b is the order of Lambertian emission; A is the detector area; distance between one vehicle to other vehicle is Dist ; optical band-pass filter of transmission is ) y(T  ; concentrator gain is ) y(g  , receiver’s field of view is  cy ; angle of impedance is y and angle of irradiance is  .j

4.2. Identification of routing path using BBO

The location of nodes deployed in the VLC-VANET is given as input to the BBO algorithm for generating the route between the source vehicle to the destination vehicle. The multiple objectives considered in this RBBO-VLC-VANET method are residual energy, distance and number of BS. This section provides an overview of BBO and route generation using BBO.

4.2.1. Overview of biogeography based optimization

Initially, the BBO is developed by Dan Simon in 2008 [21]. BBO is generally inspired by the geographical assignment of biological species and the Habitat Suitability Index (HSI) is used to specify each geographical zone of BBO. An extra index utilized to mention the habitat area and conditions of livelihood is specified as Suitability Index Variable (SIV). The HSI value and amount of species is equal to the habitat’s fitness value. The features from the solution of higher HSI are accepted for enhancing lower HSI solution. The immigration and emigration rate of the habitat are  and m l are used to specify the single species model. This immigration and emigration rate is shown in the equation (2) and (3) respectively.

Where, the maximum immigration rate is represented as I ; number of species in the habitat is represented as k and maximum amount of species in the habitat is s n .

 

Where,E represents the maximum emigration rate. The processes of the BBO algorithm are given as follows:

4.2.1.1. Migration

Consider the candidate solutions and the optimization problem for the BBO initialization, where each solution specified using the dimension vector )n( is called as habitat. Let, the habitat’s dimension in each dimension is SIV as well as the habitat’s goodness is equal to the amount of species and HSI value. The low HSI solution shares the information with higher HSI solution to improve the solution obtained during the searching process. The transmission of HSI solution depends on the immigration and emigration rate and the two different habitats are selected from the BBO population. Initially, one habitat )Hi( is selected by considering the immigration rate )i l( and one more habitat ) H j( is selected by considering the emigration rate  .) jm( Subsequently, the random selection of SIVs are transferred from ) H j( and appears in .)Hi.

4.2.1.2. Mutation

Generally, the rapid changes in habitat and deviation from the equilibrium location are occurred due to natural disasters caused in the geographical region. Consequently, the same effect is illustrated in the BBO using the operation of mutation. This mutation operation is accomplished using the number of species in each habitat, which is shown in equation (4) and (5). The value of probability is allocated for each habitat to perform the mutation operation. The possibility for mutation is less and a solution is closer to the optimal solution, when the probability value is high in the BBO. However, the possibility of mutation is high and a solution is far from the optimal solution, when the probability value is low.

Where, the higher amount of species in the BBO is max s ; mutation rate of s species is max s ; maximum mutation rate and probability are represented as mmax and Pmax respectively.

4.2.2. Optimal path generation using BBO

This BBO is used to generate the optimal route to achieve a high amount of packets received at the destination RSU. The issues related to frequent changes in network topology and high density of vehicles are overcome by generating the optimal path and transmitting the data through the VLC channel.

4.2.2.1. Representation and initialization of BBO

The habitats of the BBO are specified by the possible paths from the source vehicle to the RSU. Moreover, the dimension of the habitat is identical to its number of intermediate vehicles in the routing path. Consider, the habitat i is H H t H t H t i i i i m )) ( ) (, ,… ) ( ,1 ,2 , ( = , whereas the next hop vehicle is specified as ,  .£ £H v m i v ,1

4.2.2.2. Fitness function formulation for BBO

In this RBBO-VLC-VANET method, three different objective values such as residual energy, distance between one vehicle node to another vehicle node and number of hops connected to each vehicle node.

 a. Residual energy

The residual energy )RE( of each node is considered as a significant fitness value, because it shows the amount of energy exist in each node. This used to select only the node which has higher residual energy while transmitting the data packets. Because, the node with limited energy creates node/link failure during data transmission which causes the packet loss. The following equation (6) shows the residual energy.

 

Where, m represents the number of vehicles in the routing path and Hi E represents the residual energy of the th i vehicle in the habitat H .

b. Distance

The distance (Dist) between the one vehicle to another vehicle is considered to select the shortest path between the source vehicle to destination RSU. Moreover, this shortest path identification is used to minimize the delay during communication. Equation (7) expresses the distance between the vehicles.

Where, destination vehicle is represented as DV as well as distance between the th i vehicle in the habitat H and DV is represented as  i(dis H DV  .),

c. Number of hops

The amount of Next Hop Vehicle (NHV) to the respective node defines the number of hops )NH ( . The number of hops is required to be less, because it causes higher energy consumption in VANET.

Where, M Hi represents the amount of nodes connected in the path.

In this fitness function derivation, the multiple objectives are converted into single objective by assigning weighted value to each objective value. Equation (9) shows the HSI/fitness value of the BBO (5).

Where, the  , anda a a1 2 3  represents the weighted values used in the fitness function. The calculated values of HSI are used to update the immigration and emigration rate of each habitat.

4.2.2.3. Migration and mutation

The immigration and emigration rate are used to select two different habitats during the migration process. Next, the NHV from the higher HSI solution has appeared in lower HSI solution. Here, one location is randomly created among the 1 and th m dimension to accomplish the migration process. From the generated location, all NHV from the H j appears in Hi . Therefore, the habitats are updated until the optimal solution is obtained in the BBO. The habitat Hi considered using the mutation probability. The selection of habitat is identified using the emigration and immigration rate. The probability of selecting the habitat is less, when the mutation probability is high during mutation process. Otherwise, the probability of selecting the habitat is high, when the mutation probability is less during mutation process. In habitat Hi , the randomly selected location changes its NHV by selecting the random NHV within its transmission range.

5. RESULTS AND DISCUSSION


The results and discussion of the proposed RBBO-VLC-VANET are described in this section. The implementation and simulation of the RBBO-VLC-VANET is carried out in the MATLAB R2018a which is operated in the in a Windows 8 operating system with an Intel core i3 processor and 4GB RAM. In this RBBO-VLC-VANET, the VLC is used as a communication channel for supporting the data transmission between the vehicles. The routing path between the source vehicle to the RSU is generated by using the BBO. The number of vehicles deployed in the network area are varied as 50, 100, 200 and 500 which are deployed in the area of 2  m .´500 500  The specification parameters of this RBBO-VLC-VANET method are given in Table 1.

Table 1. Specification parameters


5.1. Performance analysis

The performance of the RBBO-VLC-VANET is analyzed in terms of the Throughput, Packet Delivery Ratio (PDR), delay and routing overhead. Next, the RBBO-VLC-VANET is evaluated with SCL-ACO-AODV [20] to show the efficiency of RBBO-VLC-VANET. The performance analysis is described as follows:

5.1.1. Throughput

Throughput is defined as a number of packets successfully received at the RSU during the simulation rounds. Generally, throughput is measured as kilobits per second or Megabits per second.


Figure 2.Comparison of throughput for varying nodes

The throughput comparison of the RBBO-VLC-VANET with SCL-ACO-AODV [20] is shown in the Figure 2. Figure 2 shows that the RBBO-VLC-VANET method obtains higher throughput than the SCL-ACO-AODV [20]. For example, the throughput of the RBBO-VLC-VANET method is 589.763 kbps for 500 nodes which is high when compared to the SCL-ACO-AODV [20] method’s throughput i.e., 540 kbps. The elimination of multiple distortions using VLC and optimal path generation using BBO are used to achieve the higher throughput in the RBBO-VLCVANET method.

5.1.2. Packet Delivery Ratio

PDR is the ratio between the Number of packets successfully received at the RSU to the total packets generate at the source vehicle. Expression for PDR is shown in the equation (10).

Figure 3 shows the comparison of the PDR for the RBBO-VLC-VANET with SCL-ACO-AODV [20]. This comparison shows that the RBBO-VLC-VANET method has higher PDR than the SCL-ACO-AODV [20]. For example, the PDR of the RBBO-VLC-VANET method is 98.998% which is high when compared to the SCL-ACO-AODV [20]. The integration of VLC into the VANET is used to increase the number of packets received by the RSU. Moreover, the SCLACO-AODV [20] doesn’t consider the appropriate fitness function value which leads to cause the packet loss during route generation.


Figure 3.Comparison of PDR for varying nodes

5.1.3. Packets’ delay

Delay is the total required to transmit the data packet from the source to the destination which is expressed in the equation (11).


Figure 4. Comparison of delay for varying nodes

The delay comparison of the RBBO-VLC-VANET with SCL-ACO-AODV [20] is shown in the Figure 4. Figure 4 shows that the RBBO-VLC-VANET method achieves lesser delay than the SCL-ACO-AODV [20]. For example, the delay of the RBBO-VLC-VANET method is 0.0783s for 500 nodes which is less when compared to the SCL-ACO-AODV [20] method’s delay i.e., 0.75s. The delay during the data transmission is less by identifying the shortest path between the source vehicle to the destination. But, the SCL-ACO-AODV [20] has a higher delay because of the traffic that occurred in the VANET.

5.1.4. Routing overhead

Routing overhead is defined as the ratio between the number of control packets and amount of packets successfully received at the RSU. The routing overhead is expressed in the following equation (12).

 


Figure 5. Comparison of routing overhead for varying nodes

Figure 5 shows the comparison of the routing overhead for the RBBO-VLC-VANET with SCLACO-AODV [20]. This comparison shows that the RBBO-VLC-VANET method has lesser routing overhead than the SCL-ACO-AODV [20]. For example, the routing overhead of the RBBO-VLC-VANET method is 220.2752 which is less when compared to the routing overhead of SCL-ACO-AODV [20] i.e., 490. The optimal route generation using BBO through the VLCVANET is used to minimize the routing overhead while transmitting the data packets.

Table 2. Comparative analysis of the RBBO-VLC-VANET with SCL-ACO-AODV


Table 2 shows the comparative analysis of the RBBO-VLC-VANET with SCL-ACO-AODV [20] for a different numbers of nodes such as 50, 100, 200 and 500. From the Table 2, it shows that the performance of the RBBO-VLC-VANET is improved than the SCL-ACO-AODV [20]. The SCL-ACO-AODV [20] has lesser performance due to its inappropriate fitness function formulation during route selection. The integration of VLC with VANET is used to increase the number of packets received at the RSU. The multiple objectives such as residual energy, distance and number of hops are considered in the BBO to identify the optimal route between source vehicle to RSU. The packet loss during the data communication is minimized by avoiding the node failure in the routing path. Therefore, the number of packets received at the RSU is increased through the VANET. The distance considered in the fitness function helps to detect the shortest path which used to minimize the delay in VANET communication.

6. CONCLUSION


In this RBBO-VLC-VANET, the VLC is integrated with the VANET to achieve the higher throughput during communication. The BBO based route generation is proposed to obtain the optimal path between the source vehicle to the destination RSU. Here, the BBO is optimized by using the three different objective values such as residual energy, distance and number of hops. Therefore, this optimal path generation is used to overcome the issues related to frequent changes in network topology and node failure. This RBBO-VLC-VANET method is used to obtain the higher throughput and lesser delay by identifying the optimal path. Therefore, the proposed RBBO-VLC-VANET is operated in both the 4G and 5G networks. From the performance analysis, it knows that the RBBO-VLC-VANET method provides better performance than the existing SCL-ACO-AODV method. The throughput of the RBBO-VLC-VANET is 589.763 kbps for 500 nodes which is high when compared to the throughput of SCL-ACO-AODV i.e., 540kbps.

CONFLICTS OF INTEREST

The authors declare no conflict of interest.

REFERENCES


[1] Liu, H., Yang, L. & Zhang, Y. (2015) “Improved AODV routing protocol based on restricted broadcasting by communication zones in large-scale VANET”, Arabian Journal for Science and Engineering, Vol. 40, No. 3, pp857-872.

[2] Li, N., Martínez-Ortega, J.F., Díaz, V.H. & Fernandez, J.A.S. (2018) “Probability prediction-based reliable and efficient opportunistic routing algorithm for VANETs”, IEEE/ACM Transactions on Networking, Vol. 26, No. 4, pp.1933-1947.

[3] Al-Kharasani, N.M., Zukarnain, Z.A., Subramaniam, S.K. & Hanapi, Z.M. (2020) “An Adaptive Relay Selection Scheme for Enhancing Network Stability in VANETs”, IEEE Access, Vol. 8, pp128757-128765.

[4] Suganthi, B. & Ramamoorthy, P. (2020) “An Advanced Fitness Based Routing Protocol for Improving QoS in VANET”, Wireless Personal Communications, pp1-23.

[5] Purkait, R. & Tripathi, S. (2020) “Fuzzy logic based multi-criteria intelligent forward routing in VANET”, Wireless Personal Communications, Vol. 111, No. 3, pp1871-1897.

[6] Wagh, M.B. & Gomathi, N. (2018) “Route discovery for vehicular ad hoc networks using modified lion algorithm”, Alexandria engineering journal, Vol. 57, No. 4, pp3075-3087.

[7] Bello-Salau, H., Aibinu, A.M., Wang, Z., Onumanyi, A.J., Onwuka, E.N. & Dukiya, J.J. (2019) “An optimized routing algorithm for vehicle ad-hoc networks”, Engineering Science and Technology, an International Journal, Vol. 22, No. 3, pp754-766.

[8] Zhang, D., Zhang, T. & Liu, X. (2019) “Novel self-adaptive routing service algorithm for application in VANET”, Applied Intelligence, Vol. 49, No. 5, pp1866-1879.

[9] Patil, S.D. & Ragha, L. (2020) “Adaptive fuzzy-based message dissemination and micro-artificial bee colony algorithm optimised routing scheme for vehicular ad hoc network”, IET Communications, Vol. 14, No. 6, pp.994-1004.

[10] Abuashour, A. & Kadoch, M. (2017) “Performance improvement of cluster-based routing protocol in VANET”, IEEE Access, Vol. 5, pp15354-15371.

[11] Moridi, E. & Barati, H. (2017) “RMRPTS: a reliable multi-level routing protocol with tabu search in VANET”, Telecommunication Systems, Vol. 65, No. 1, pp127-137.

[12] Chen, C., Liu, L., Qiu, T., Yang, K., Gong, F. & Song, H. (2018) “Asgr: An artificial spider-webbased geographic routing in heterogeneous vehicular networks”, IEEE Transactions on Intelligent Transportation Systems, Vol. 20, No. 5, pp1604-1620.

[13] Wu, J., Fang, M., Li, H. & Li, X. (2020) “RSU-Assisted Traffic-Aware Routing Based on Reinforcement Learning for Urban Vanets”, IEEE Access, Vol. 8, pp5733-5748.

[14] Chen, J. & Wang, Z. (2019) “Topology Control in Hybrid VLC/RF Vehicular Ad-Hoc Network”, IEEE Transactions on Wireless Communications, Vol. 19, No. 3, pp1965-1976.

[15] Msongaleli, D.L. & Kucuk, K. (2019) “Optimal resource utilisation algorithm for visible light communication-based vehicular ad-hoc networks”, IET Intelligent Transport Systems, Vol. 14, No. 2, pp65-72.

[16] Chinnasamy, A., Prakash, S. & Selvakumari, P. (2016) “Wagon next point routing protocol (wnprp) in vanet “, Wireless Personal Communications, Vol. 90, No. 2, pp875-887.

[17] Aravindhan, K. & Dhas, C.S.G. (2019) “Destination-aware context-based routing protocol with hybrid soft computing cluster algorithm for VANET”, Soft Computing, Vol. 23, No. 8, pp2499-2507.

[18] Srivastava, A., Prakash, A. & Tripathi, R. (2020) “An adaptive intersection selection mechanism using ant Colony optimization for efficient data dissemination in urban VANET”, Peer-to-Peer Networking and Applications, pp1-19.

[19] Masini, B.M., Bazzi, A. & Zanella, A. (2018) “Vehicular visible light networks for urban mobile crowd sensing”, Sensors, Vol. 18, No. 4, p1177.

[20] Gawas, M.A. & Govekar, S.S. (2019) “A novel selective cross layer based routing scheme using ACO method for vehicular networks”, Journal of Network and Computer Applications, Vol. 143, pp34-46.

[21] Verma, J. and Kesswani, N. (2018) “BIGM: A Biogeography Inspired Group Mobility Model for Mobile Ad Hoc Networks”, International Journal of Wireless Information Networks, Vol. 25, No. 4, pp.488-505.

AUTHORS


Shaeista Begum perceived her B.E from Bapuji Institute of Engineering and Technology, Davangere, Karnataka in 2005 and M.Tech from University of BDT College of Engineering, Davangere, Karnataka in 2007. From 2007 to 2008 she worked as a lecturer in GM Institute of Technology, Davangere. From 2008 to 2010 worked as a lecturer in BKIT, Bhalki, Karnataka. From 2010 to 2011 worked as a lecturer in Women’s Government Polytechnic, Gulbarga. Presently working as an Assistant Professor in Government Engineering College, Raichur since 2011. Her research area is Computer Network.

Nagaraj B. Patil received his B.E. degree from the Gulbarga University Gulbarga Karnataka in the 1993, M.Tech. degree from the AAIDU Allahabad in 2005, and the Ph.D. degree from the University of Singhania, Rajasthan India in 2012. From 1993 to 2010 he worked as a Lecturer, Senior Lecturer and Assistant professor and HOD Dept. of CSE & ISE at SLN College of Engineering, Raichur Karnataka. From 2010 to June 2019 he worked as a an Associate Professor and HOD in the Department of Computer Science and Engineering at Government Engineering College Raichur, Karnataka. He is currently Working as Principal Government Engineering College, Gangavathi, Karnataka from July 2019. His research interests are in Image Processing and Computer Network.

Vishwanath P completed his M.E from PDA college of Engineering, Gulbarga University, Gulbarga (Karnataka) in the year 2003 and completed his PhD in the year 2017 from NIMS University, Jaipur (Rajasthan). Presently working as Associate Professor in the department of “Electronics and Communication Engineering” since 1998.His area of interest are Image Processing and Embedded System. He has publishes four papers in international journals and presented one paper in international conference.

Leave a comment

Information

This entry was posted on February 16, 2021 by .