International Journal of Computer Networks & Communications (IJCNC)
AIRCC PUBLISHING CORPORATION
Scope & Topics
Editorial
Ethics
Current Issue
Archives
2019 Volume 11
2018 Volume 10
2017 Volume 9
2014 Volume 6
2013 Volume 5
2012 Volume 4
2011 Volume 3
2010 Volume 2
2009 Volume 1
Indexing
Paper Submission
Most Cited Articles
Special Issue
Download Leaflet
FAQ
International Journal of Network Security & Its Applications (IJNSA)
17
Leave a comment
Cancel reply
Δ
Information
Published on
August 14, 2020
at
569 × 344
in
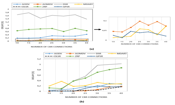
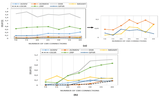
IJCNC 02
Navigation
Previous image
Next image
Comment
Subscribe
Subscribed
International Journal of Computer Networks & Communications (IJCNC)
Join 47 other subscribers
Sign me up
Already have a WordPress.com account?
Log in now.
International Journal of Computer Networks & Communications (IJCNC)
Subscribe
Subscribed
Sign up
Log in
Copy shortlink
Report this content
View post in Reader
Manage subscriptions
Collapse this bar