Optimization of Packet Length for Two Way Relaying with Energy Harvesting
Ghassan Alnwaimi *,Hatem Boujemaa **, Kamran Arshad ***
(*) King Abdulaziz University, Kingdom of Saudi Arabia
(**) University of Carthage, Sup’Com, COSIM Laboratory, Tunisia
(***) College of Engineering, Ajman University
Abstract
In this article, we suggest optimizing packet length for two way relaying with energy harvesting. In the rst transmission phase, two source nodes N1 and N2 are transmitting data to each others through a selected relay R. In the second phase, the selected relay will amplify the sum of the signals received signals from N1 and N2. The selected relay amplies the received signals using the harvested energy from Radio Frequency (RF) signals transmitted by nodes N1 and N2. Finally, N1 will remove, from the relay’s signal, its own signal to be able to decode the symbol of N2. Similarly, N2 will remove, from the relay’s signal, its own signal to be able to decode the symbol of N1. We derive the outage probability, packet error probability and throughput at N1 and N2. We also optimize packet length to maximize the throughput at N1or N2.
Index Terms :
Cooperative systems, Optimal packet length, Rayleigh fading channels.
1. Introduction
In Two-Way Relaying (TWR), two nodes N1 and N2 simultaneously transmit data to each other using a selected relay [1-5]. The communication process contains two phases. In the first one, N1 and N2 transmit data to some relays. Each relay will receive the sum of signals transmitted by N1 and N2. In the second phase, a selected relay amplifies the received signal. Then, N1 will remove, from the relay’s signal, its own signal to be able to decode the symbol of N2. Similarly, N2 will remove, from the relay’s signal, its own signal to be able to decode the symbol of N1.
Two way relaying for Multiple Input Multiple Output (MIMO) systems has been considered in [1-5]. Receive and transmit diversity improves the performance of TWR. At the receiver, the best antenna can be selected (Selection Combining SC). The corresponding Signal to Noise Ratio (SNR) is the maximum of SNRs over all antennas. It is also possible to combine the signals of all antennas using Maximum Ratio Combining (MRC). The SNR will be the sum of all SNRs [1-5]. TWR with Energy Harvesting (EH) consists to use the Radio Frequency (RF) signal to charge the battery of nodes [6-10]. Relays with EH capabilities has been studied in [6-10]. In order to enhance the throughput especially at low SNRs, channel coding is required in TWR [11-13]. Secure two way relaying has been suggested in [14-20]. Security aspects of TWR should be studied to avoid data recovery by a malicious node. The main contribution of the paper is to optimize packet length so that the throughput at node N1 or N2 is maximized. In all previous studies, a Fixed Packet Length (FPL) is used [1-20]. This is the first paper to suggest an Optimal Packet Length (OPL) for TWR with Energy Harvesting.
The system model is presented in section 2. Section 3 gives the Cumulative Distribution Function (CDF) of SNR. Section 4 derives the PEP while section 5 gives the expression of OPL. Some numerical results are given in section 6. Conclusions are presented in section 7.
2. System model
The system model is shown in Fig. 1. There are two nodes N1 and N2 communicating information to each other through a relay R. Node N1 transmits data to node N2 and at the same time node N2 is also communicating data to N1 through relay R. N1 and N2 transmit over the same channel.
Figure 1. Two way relaying with Energy harvesting.
The frame with duration T is decomposed in three parts :
– The first slot with duration T is dedicated to energy harvesting. Relay R harvests energy from RF signal transmitted by nodes N1 and N2.
The harvested energy is written as
where0< < 1 is harvesting duration percentage, Pi (resp. Ei) is the transmit power (resp. symbol energy) of node Ni and hN1R (respectively hN2R) is channel coefficient between nodes N1 (respectively N2) and R: p = T=Ts is the number of symbols per frame T. We have EX = TsPX
– During the second time slot with duration (1 − )T=2, N1 and N2 transmit data to node R over the same channel. This is the multiple access phase. The received signal at R is written as
where Ei is the transmitted energy per symbol of node i with 1≤ i ≤ 2, xi(j) is the j-th transmitted symbol by node Ni and nR(j) is an Addivite White Gaussian Noise (AWGN)
with variance N0. A Rayleigh block fading channel is assumed where the channel remains constant over all the time frame with duration T.
– During the third time slot with duration (1 − )T=2, R transmits amplifies the received signal to nodes N1 and N2. This is the broadcast phase.
Relay R uses the harvested energy E to amplify the received signal yR(j) to N1 and N2: The transmit symbol energy of R is equal to the harvested energy E devided by the number of transmitted symbols during (1−)T=2 seconds i.e. (1−)T=(2Ts) = (1−)p=2 with p = Ts=T :
Using (43), the amplification factor G used by relay R is written as
2.1 SNR at node N1
The received signal at N1 is written as
where n1(j) is an AWGN with variance N0. Using (43), we deduce
Node N1 removes the self interference,
since it knows the value of symbol x1(j): After removing self interference, we obtain
The SNR at N1 is written as
Using the expression of amplification factor G (45), we deduce
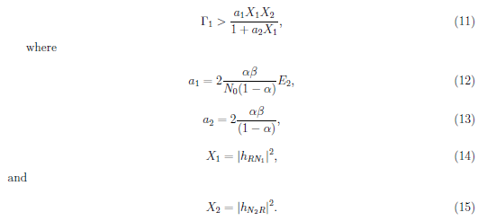
We assume that channels are reciprocal i.e. hN1R = hRN1 . By neglecting the term in N2 0 and using (44), the SNR at node N1 lower bounded by
This upper bound is tight at high average SNR as the term N2 0 can be neglected. We can write
2.2 SNR at node N2
The received signal at N2 is written as![]()
where n2(j) is an AWGN with variance N0. Using (43), we
Using the expression of amplification factor G (45), we deduce
2.3 Two way relaying in the presence of multiple relays
Fig. 2 shows the principle of TWR in the presence of K relays. The selected relay offers the largest SNR at node N1 or N2. When the selected relay maximizes the SNR at node N1, the CDF of SNR is the products of CDF of SNRs of different relays
where Γk1 is the SNR at node N1 when relay Rk is the active relay. Γk1 is given in (9).
Figure 2. Two way relaying with Energy harvesting in the presence of K relays
3. CDF of SNR
3.1 CDF of SNR at node N1
The SNR at node N1 is lower bounded by
3.2 CDF of SNR at node N2
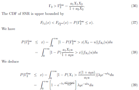
The SNR at node N2 is lower bounded by
We use (34), to deduce
4. PEP
In this section, we derive the expression of the average Packet Error Probability (PEP).The PEP can be tightly upper bounded by [21]
where FΓ (γ) is the Probability Density Function (PDF) of SNR Γ and w0 is a waterfall threshold.
Equation (13) shows that the PEP for a given instantaneous SNR, γ≤ w0, can be approximated to 1. However, the PEP for a given instantaneous SNR, γ> w0 can be approximated to 0 [21].
Hence,
4.1 PEP for uncoded transmission
For uncoded M-QAM modulation, we have
Using (45) and (46), the SEP is approximated by
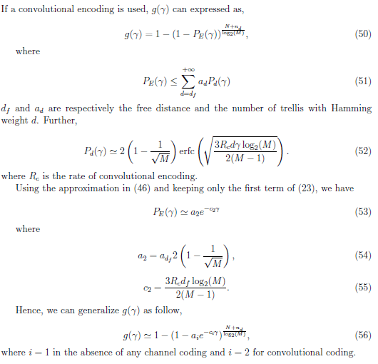
4.2 PEP with Channel Coding
4.3 Waterfall Threshold
5. Optimal Packet Length for TWR
The average number of attempts of HARQ protocols is equal to
6. Theoretical and simulation results
Simulation results were obtained using MATLAB as a simulation environment.
Simulation results were performed by measuring the Packet Error Rate (PER) to deduce the throughput. The packet error rate is the number of erroneous packets/number of transmitted packets. We made simulation until 1000 packets are erroneously received.
Fig. 3 and 4 show the throughput at node N1 for α = 1/3, a QPSK modulation for average SNR 10 and 20 dB. The distance between all nodes is equal to 1. We notice that we can maximize the throughput by choosing the packet length. Also, the throughput increases as the number of relays increase due to cooperative diversity. In fact, we always select the relay with the largest SNR. Finally, by comparing Fig. 3 and 4, we observe that packet length should be increased as the average SNR increases. There is good accordance between theoretical and simulation results.
Figure 3.Throughput at node N1 versus packet length at SNR=10 dB : 64 QAM modualtion.
Figure 4.Throughput at node N1 versus packet length at SNR=20 dB: 64 QAM modualtion.
Fig. 5 shows that OPL offers higher throughput than Fixed Packet Length (FPL)
as studied in [1-20]. These results correspond to throughput of N1 for α = 1=3. They were obtained using MATLAB for a 64 QAM modulation. In fact, the proposed optimal packet length allows maximizing the throughput. If the SNR is low, the packet length is decreased. However, at high SNR, we can increase packet length.
Figure 5.Throughput at node N1 for OPL and FPL :64 QAM modualtion.
Fig. 6 shows the OPL for QPSK, 16 QAM and 64 QAM modulation. We observe that packet length should be increases when we use a small modulation such as QPSK. When 64 QAM modulation is used, packet length should be reduced since the PEP is high. Also packet length should be increased (respectively decreased) at high (respectively low) SNR.
Figure 6.Optimal packet length versus SNR.
7. Conclusion
In this paper, we suggested enhancing the throughput of Two Way Relaying (TWR) with energy harvesting. We derive the best packet length that yields the largest throughput at node N1 or N2. Our study is valid for energy harvesting systems where the relay harvest energy from RF signals transmitted by source nodes N1 and N2. We have shown that the proposed TWR with best packet length offers better throughput than previous studies. Also, the throughput can be enhanced by increasing the number of relays. The proposed optimal packet length can be used in Wireless Sensor Networks (WSN) with two way relaying.
Appendix A : We have
References
[1] Mahdi Attaran ; Jacek Ilow, “Signal Alignment in MIMO Y Channels with Two way Relaying and Unicast Traffic Patterns”, 2018 11th International Symposium on Communication Systems, Networks and Digital Signal Processing (CSNDSP), Year: 2018, Page s: 1 – 6.
[2] B. Dutta ; R. Budhiraja ; R. D. Koilpillai ; L. Hanzo, “Analysis of Quantized MRCMRT Precoder For FDD Massive MIMO Two-Way AF Relaying”, IEEE Transactions on Communications, Year: 2018 , ( Early Access ), Pages: 1 – 1.
[3] Guo Li ; Feng-Kui Gong ; Hang Zhang ; Xiang Chen,“Non-coherent transmission for two-way relaying systems with relay having large-scale antennas”, IET Communications, Year: 2018 , Volume: 12 , Issue: 16, Page s: 1991 – 1996.
[4] Jingon Joung, “Energy Efficient SpaceTime Line Coded Regenerative Two-Way Relay Under Per-Antenna Power Constraints”, IEEE Access, Year: 2018 , Volume: 6, Pages: 47026 – 47035.
[5] Fabien Heliot ; Rahim Tafazolli, “Energy-Efficient Sources and Relay Precoding Design for Two-Way Two-Hop MIMO-AF Systems”, 2018 European Conference on Networks and Communications (EuCNC), Year: 2018, Page s: 87 – 92, IEEE Conferences.
[6] Xiaolong Lan ; Qingchun Chen ; Xiaohu Tang ; Lin Cai, “Achievable Rate Region of the Buffer-Aided Two-Way Energy Harvesting Relay Network”, IEEE Transactions on Vehicular Technology, Year: 2018 , Volume: 67 , Issue: 11, Pages: 11127 – 11142.
[7] Sucharita Chakraborty, Debarati Sen, “Iterative SAGE-Based Joint MCFOs and Channel Estimation for Full-Duplex Two-Way Multi-Relay Systems in Highly Mobile Environment”, IEEE Transactions on Wireless Communications, Year: 2018 , Volume: 17 , Issue: 11, Pages: 7379 – 7394.
[8] Ugrasen Singh ; Sourabh Solanki ; Devendra S. Gurjar ; Prabhat K. Upadhyay ; Daniel B. da Costa, “Wireless Power Transfer in Two-Way AF Relaying with Maximal-Ratio Combining under Nakagami-m Fading”, 14th International Wireless Communications and Mobile Computing Conference (IWCMC) Year: 2018, Pages: 169 – 173.
[9] Kisong Lee ; Jun-Pyo Hong ; Hyun-Ho Choi ; Tony Q. S. Quek, “Wireless-Powered Two-Way Relaying Protocols for Optimizing Physical Layer Security”, IEEE Transactions on Information Forensics and Security,
[10] Xinghua Jia ; Chaozhu Zhang ; Il-Min Kim, “Optimizing Wireless Powered Two-Way Communication System With EH Relays and Non-EH Relays”, Year: 2019 , Volume: 14 , Issue: 1, IEEE Transactions on Vehicular Technology, Pages: 162 – 174. Year: 2018 , Volume: 67 , Issue: 11, Pages: 11248 – 11252.
[11] Mehdi Ashraphijuo ; Morteza Ashraphijuo ; Xiaodong Wang, “On the DoF of Two-Way MIMO Relay Networks”, IEEE Transactions on Vehicular Technology, Year: 2018 , Volume: 67 , Issue: 11, Page s: 10554 – 10563.
[12] Sanaz Ghorbani ; Ali Jamshidi ; Alireza Keshavarz-Haddad, “Performance Evaluation of Joint Relay Selection and Network Coding in Two-Way Relaying Wireless Communication Networks”, Iranian Conference on Electrical Engineering (ICEE),Year: 2018, Page s: 755 – 757.
[13] Ali H. Bastami ; Abolqasem Hesam, “Network-Coded Cooperative Spatial Multiplexing in Two-Way Relay Channels”, IEEE Transactions on Vehicular Technology, Year: 2018 , Volume: 67 , Issue: 11, Pages: 10715 – 10729.
[14] Shiqi Gong ; Chengwen Xing ; Shaodan Ma ; Zhongshan Zhang ; Zesong Fei, “Secure Wideband Beamforming Design for Two-Way MIMO Relaying Systems”, IEEE Transactions on Vehicular Technology, Year: 2018 , ( Early Access ), Pages: 1 – 1.
[15] Tamer Mekkawy ; Rugui Yao ; Nan Qi ; Yanan Lu, “Secure Relay Selection for Two Way Amplify-and-Forward Untrusted Relaying Networks”, IEEE Transactions on Vehicular Technology, Year: 2018 , ( Early Access ) Pages: 1 – 1.
[16] Mahendra K. Shukla ; Suneel Yadav ; Neetesh Purohit, “Secure Transmission in Cellular Multiuser Two-Way Amplify-and-Forward Relay Networks”, IEEE Transactions on Vehicular Technology, Year: 2018 , ( Early Access ) Page s: 1 – 1.
[17] Hongbin Xu ; Li Sun, “Encryption Over the Air: Securing Two-Way Untrusted Relaying Systems Through Constellation Overlapping”, IEEE Transactions on Wireless Communications, Year: 2018 , ( Early Access ) Page s: 1 – 1.
[18] Ruifeng Gao ; Xiaodong Ji ; Ye Li ; Yingdong Hu ; Zhihua Bao, “Secure Power Allocation of Two-Way Relaying with an Untrusted Denoise-and-Forward Relay”,2018 15th International Symposium on Wireless Communication Systems (ISWCS),Year: 2018, Pages: 1 – 5.
[19] Mohanad Obeed ; Wessam Mesbah, “Improving Physical Layer Security in Two-Way Relay Systems”, 2018 25th International Conference on Telecommunications (ICT),Year: 2018, Pages: 220 – 224.
[20] Chensi Zhang ; Jianhua Ge ; Fengkui Gong ; Yancheng Ji ; Jinxi Li, “Improving Physical-Layer Security for Wireless Communication Systems Using Duality-Aware Two-Way Relay Cooperation”, IEEE Systems Journal, Year: 2018 , Pages: 1 – 9.
[21] Y. Xi, A. Burr, J. B. Wei, D. Grace, “ A general upper bound to evaluate packet error rate over quasi-static fading channels”, IEEE Trans. Wireless Communications,vol. 10, nO 5, pp 1373-1377, May 2011.
[22] J. Proakis, ”Digital Communications”, Mac Graw-Hill, 5th edition, 2007.