Performances Of Ad Hoc Networks Under Deterministic And Probabilistic Channel Conditions: Cases For Single Path And Multipath Routing Protocols
Mohammed Tarique and Rumana Islam
Department of Electrical Engineering, Ajman University-Fujairah Campus
P.O. Box 2202, Fujairah, United Arab Emirates
Abstract
Deterministic channel models have been widely used in simulation and modeling of ad hoc network for a long time. But, deterministic channel models are too simple to represent a real-world ad hoc network scenario. Recently, random channel models have drawn considerable attention of the researchers in this field. The results presented in the literature show that random channel models have a grave impact on the performance of an ad hoc network. A comprehensive investigation on this issue is yet to be available in the literature. In this investigation, we consider both deterministic and random channel models to investigate their effects on ad hoc networks. We consider two different types of routing protocols namely single path and multipath routing protocols. We choose Destination Sequence Distance Vector (DSDV), Dynamic Source Routing Protocol (DSR), and Ad-hoc On-Demand Distance Vector (AODV) as the single path routing protocols. On the other hand, we choose Ad-hoc On-Demand Multiple Path Distance Vector (AOMDV) as the multipath routing protocol. The results show that some single path routing protocol can outperform multipath routing protocol under both deterministic and random channel conditions. These results surprisingly contradict the popular claim that multipath routing protocol always outperforms single path routing protocol. A guideline for choosing an appropriate routing protocol for adhoc network has also been provided in this work.
Keywords
Network Protocols, Single Path, Multipath, DSR, AODV, DSDV, AOMDV, Random Channel, Deterministic Channels, Network Performances
1.Introduction
Mobile ad hoc networks (MANETs) consist of a group of mobile nodes and provide network support to users without any infrastructure. MANETs have drawn considerable attention because of this unique feature. MANETs are self-organizing and self-configuring. Hence, no centralized administration is required to set up and maintain these networks. Initially, MANETs were developed for only military applications. Nowadays, numerous groundbreaking applications have been launched based on MANETs. These applications include disaster management, search and recovery, remote healthcare, tele-geo processing, education, traffic management, process control, and security [1].
MANETs have many challenges too. Some of these issues are discussed here for the completeness of this work. In MANETs, mobile nodes transmit packets to destinations through other mobile nodes. Since dynamic topology is an inherent characteristic of the MANETs, this type of multihop communication adversely affects network performances. Moreover, ‘route
breakage’ is a very common problem in MANETs. Route breakage can cause network partitioning and hence can severely affect network performances.
In MANETs, mobile nodes use the wireless medium for transmitting packets. The wireless channel is always of random nature and hence inherently unreliable. The channel randomness can cause a mobile node to receive a packet at a signal level that is below a minimum required threshold level. Hence, a mobile node may fail to detect a packet that it receives from other mobile nodes. The other limitations of MANETs include high overhead, high end-to-end delay, low packet delivery ratio, low throughout, and less security. To overcome these limitations one must choose an efficient routing for MANETs.
Many efficient routing protocols have been presented in the literature. These routing protocols can be classified into two major classes’ namely proactive routing protocols and reactive routing protocols. In proactive routing protocols, like Destination Sequence Distance Vector (DSDV) [2], mobile nodes periodically exchange routing information among them and hence generate a huge number of overhead packets that consume a significant network bandwidth. To overcome this limitation reactive routing protocols have been proposed. In reactive routing protocols, like Dynamic Source Routing (DSR)[3] and Ad-hoc On-Demand Distance Vector (AODV) [4], mobile nodes exchange routing information on demand. Hence, the routing overhead packets generated by DSR and AODV protocols are less than that of their proactive counterpart.
Both proactive and reactive routing protocols consist of two main mechanisms namely route discovery and route maintenance. By using the route discovery mechanism a source discovers a route from itself to a destination. Once all possible routes are discovered, the source chooses the shortest one for sending its data packets. By using route maintenance, a mobile node detects a ‘route breakage’. Once a mobile node discovers a route breakage, it generates some special packets called route error message to let other mobile nodes know about this route breakage.
Recent studies show that the shortest path routing algorithm may not be a good candidate for the MANETs because they do not scale well with network size. The scalability problem arises from huge routing overhead, high delay, unreliable data transfer, and energy inefficiency. Although reactive routing protocols generate less routing overhead compared to its proactive counterpart, they still generate huge overhead messages during the route discovery process [5]. This route discovery process uses a ‘flooding’ technique by broadcasting route request messages in the network to discover all possible routes. These huge overhead packets cause contention and collision in the wireless medium and occupy useful bandwidth [6]. Hence, network performances are adversely affected.
Other performance problems include high delay, unreliable data transfer, and energy limitation. High end-to-end delay arises from a poor path selection, unfair load distribution, and high overhead. Unreliable data packet transfer occurs from node movements and signal interferences. Energy limitation occurs because of mobile nodes’ low battery capacity. Hence, mobile nodes may fail to operate during the whole network operation. Since packets travel through the network in a multi-hop fashion, it is imperative to keep mobile nodes operative as long as possible [1].
To overcome the above -mentioned limitations multipath routing protocols have been proposed in the literature. Multipath routing protocols help a mobile node to discover multiple paths to a destination by using less overhead messages. This type of routing can minimize delay by routing network traffic through less congested areas of a network. Multipath routing protocols can ensure reliable packet transmission by selecting more stable routes other than the shortest path. Multipath routing protocols can also save energy by using energy efficient routing and hence can make network operational for a long time. Although multipath routing protocols improve network performances, they may not be a good choice for all cases. For example, a small network does not
generate a large number of overhead packets. The interference level may not be very high in such a small network. A multipath routing protocol may not be a suitable choice for such a small network. Hence, adopting multipath routing protocol in ad hoc network is always debatable. A comprehensive treatment of the pros and cons of multipath routing protocols can be found in [7].
In this paper, the performances of single path routing protocols and multipath routing protocols have been investigated. DSDV, DSR, and AODV protocols have been chosen as the candidates for single path routing. On the other hand, AOMDV protocol has been chosen as the multipath routing protocol. Since performances of routing protocol vary greatly under different channel conditions, we consider two channel conditions in this work. Initially, we use a deterministic channel model called two-ray ground reflection channel model. Later, we use a more complex random channel model called shadowing model [8].
The rest of the paper is organized as follows. Related works are presented in section 2. Investigated routing protocols are described in section 3. The channel models (used in this work) and their effects on routing protocol have been explained in section 4. The results are presented in section 5. The paper is concluded with section 6.
2.Related Works
MANETs are multihop wireless networks. One of the main issues of the multihop wireless network is its connectivity. One of the first works on this topic can be found in [9]. The authors studied broadcasting techniques in multihop radio network by using a spatial Poisson process model. The effects of mobile node density and optimum transmission radius have been investigated in that work. The results show that the transmission range of a mobile node needs to be optimized to maintain network connectivity.
Connectivity issues of uniformly distributed random variables have been addressed in [10-11]. The work, presented in [10], investigates the connectivity problem in a two-dimensional radio network. A study on the connectivity of uniformly distributed mobile nodes on a circular area has been presented in [11]. The authors claim that mobile nodes should adjust the transmission power to a minimum level, which is just enough to maintain connectivity in a network.
Further analytical investigations on network connectivity have been carried out in [12- 13]. In [12], the authors present an analysis of critical transmission range to ensure connectivity in ad hoc networks. The authors consider two cases – without mobility and with mobility. First, the authors investigate an upper and lower bound of the critical transmission range for a one-dimensional stationary network. They determine the critical transmission range to ensure connectivity among 90% of the mobile nodes operating in the network. Then, they extend their work to a mobility condition. In [13], the authors determine the transmission range for a multidimensional network. They apply both deterministic and probabilistic methods to determine transmission range. The results show that a probabilistic solution for range assignment achieves substantial energy savings compared to its deterministic counterpart.
A framework for determining the stochastic connectivity properties of multihop wireless network has been presented in [14-15]. The authors formulate a general case of a k-connected network so that network becomes robust against node failures. The authors consider two cases namely uniformly distributed nodes and Gaussian distributed nodes. They also consider mobility condition in the network by using the commonly used random waypoint mobility model. A large- scale network with low node density has been investigated in [16]. The author considers the connectivity for both purely ad hoc network and a hybrid network. In the hybrid network, base stations are placed in a network and mobile nodes communicate with each other through base
stations. The authors obtain an analytical expression for the probability of connectivity in a one-dimensional network.
One of the major limitations of the so far discussed related works is that they use a deterministic radio channel model without considering more realistic channel model. Deterministic channel model assumption is very unrealistic in adhoc network because they are often deployed in hostile environment. Hence, channels in ad hoc network always suffer from fading and shadowing. One of the earliest works on this issue is presented in [17]. The authors claim that many well-designed protocols fail simply in a realistic wireless environment. The authors have shown that fading and shadowing can have a significant influence on network performance. They have studied three different systems namely (1) a multichannel CDMA system, (2) a pure CDMA system, and (3) a contention based system. They also show that the multichannel CDMA system outperforms a pure CDMA system as well as the contention based system under fading or shadowing environment.
The connectivity of multihop radio networks in a lognormal fading environment has been investigated in [18]. The authors provide a comprehensive investigation on the effects of fading on the network topology. The authors present a tight lower bound for minimum node density that is necessary to obtain an almost connected sub network on a bounded area of a given size.
The work presented in [19] claims that the connectivity of a network should be considered from a network layered perspective. The authors first investigate the effects of transmission range on end-to-end connection probability under a log-normal shadowing model. Then, they show that connectivity issues affect the IEEE 802.11 and IP based networks under lognormal fading conditions. The authors also present an analytical model for the link probability in lognormal shadowing environment. They show that this link probability must be a function of nodes, network area, transmission range, path loss, and shadowing deviation.
In two recent works [20-21], analytical models are presented to investigate the effects of random channels on ad hoc networks. The authors show that random channel adversely affects ad hoc network performances. They also provided two solutions to minimize the effects of the random channel. But, the authors limit their effort only in the DSR protocol. They did not include other popular routing protocols in their works.
Three different channel models have been considered in [22] for investigating the connectivity in ad hoc networks. The investigators consider lognormal shadowing, Rayleigh fading and Rice fading in their work. The authors produce an analytical model for node isolation probability in their work. They show that the node isolation probability highly depends on lognormal spread. To reduce node isolation probability they suggest diversity schemes. In another similar work [23], the authors have investigated k-connectivity of wireless ad hoc networks. The authors present an analytical model that determines the number of nodes needed to cover a network to ensure k-connectivity.
Node isolation probability has also been investigated in [24]. In this work, the authors consider lognormal shadowing and Rayleigh fading channels. The authors present an analytical model that shows that node isolation probability coincides with network coverage probability for a network. Here, nodes are distributed by Poisson point process. To improve network connectivity the authors also suggest the adoption of diversity schemes in ad hoc networks.
An analytical model for connected node position, with a limited number of hop, has been presented in [25]. The authors consider both deterministic and statistical channel models in their analysis. It is shown that there is a trade-off between hops and node density. It is also shown that deterministic channel condition, as usually shown in the literature, leads to a conservative result.
Hence, channel randomness to be considered instead. It is also shown that the channel randomness has great impact on network coverage.
The major limitations of all above mentioned related works are as follows. Most of these works consider only one or no routing protocol in their investigation. None of these works provides a comparative analysis of different routing protocols under deterministic and random channel conditions. Another limitation is that these works mainly focus on the connectivity of a network. But, other performance parameters including overhead packets, energy consumption, and end-to-end delay are not investigated. It is well established that network performances vary widely with the increase in traffic (i.e., packet generation rate).This issue also has not been properly investigated in the previous works. It is well accepted that random channel has a grave impact on network performance. But, a comparative analysis of network performances, under both deterministic and random channel model, is still not present in the literature.
In this work, we consider two channel models. One channel model is deterministic; whereas, the other channel is random. In deterministic channel model (i.e., two-ray ground reflection model) the signal mainly varies with distance. But, in random channel model the signal varies randomly over a given distance. We consider some popular routing protocols in this work. A brief description of these routing protocols is provided in the following section.
3.Routing Protocols
In this investigation, we consider two different types of the routing protocols namely single path and multipath routing protocols. For single path routing protocols we choose DSDV, DSR, and AODV protocol. As a multipath routing protocol, we choose the AOMDV protocol.
3.1 The DSR Protocol
The DSR protocol consists of two basic mechanisms: (1) route discovery and (2) route maintenance. By route discovery a mobile node discovers a route to a destination and by route maintenance a mobile node detects a route ‘breakage’. When a source node wants to send a data packet to a destination, it first searches the route cache to find a route. If a source cannot find a route in its route cache, it initiates a route discovery mechanism by broadcasting a request packet to its neighbors [3].
When a neighbor of a source receives request packet, it first checks whether the request packet is intended for it or not. If a neighbor discovers that it is the destination, it sends a reply back to the source after copying the accumulated routing information contained in the route request packet into a route reply packet. If it is not the destination, it checks if there is any route available in the route cache for that destination. If this neighbor is neither a destination nor does it have a route in the route cache to that destination, it appends its address in the route request packet, and re-broadcasts a route request packet to its neighbors. This process continues until a route request packet reaches the destination node.
When a destination receives a route request, it replies to the source through uncast transmission based on the routing information contained in the route request packet. When a source node receives a route reply packet, it starts sending data packets using the route indicated in the reply packet. If multiple paths are discovered, a source chooses the shortest one. It continues using this path unless it ‘breaks’. A route discovery mechanism of DSR protocol is illustrated in Figure 1.Here, the source ‘S’ discovers two routes to the destination ‘D’ and it uses the shortest route ‘S-E-F-J-D’ to send the data packet. One of the major limitations of DSR protocol is that it uses source routing technique. It means a data packet carries complete routing information. Hence, the packet size is large compared to other protocols and this large packet size consumes a considerable amount of energy.
Figure 1.The route discovery mechanism of DSR protocol.
Route maintenance is the mechanism by which a node is able to detect changes in the network topology. When a node detects a broken link, for example, by using underlying MAC layer acknowledgment, it removes the link from its route cache. It also creates a special packet called route error message and sends this route error message to each node that has previously sent packets over that link. Route maintenance of DSR protocol is illustrated in Figure 2. In this figure, the link between node ‘F’ and node ‘J’ is broken. The node ‘F’ generates a route error message and sends it to the source. The source marks this route ‘invalid’ in the route cache and starts using the alternative path ‘S-C-G-K-W-D’ to send a packet.
Figure 2.The route maintenance of DSR protocol.
3.2 The AODV Protocol
The AODV protocol is called a pure on-demand routing protocol because a mobile node does not have to maintain any routing information unless it is located on an active path [4]. Like DSR, the AODV protocol also consists of route discovery and route maintenance mechanisms. But, the route request packet structure of the AODV protocol is different from that of the DSR protocol. In the AODV protocol, each node maintains two counters called node sequence ID and broadcast ID to detect a fresh route from a stale route. Each route request packet contains information about the destination sequence number and the source sequence number in addition to the source address and destination address. The sequence numbers are used to indicate the ‘freshness’ of a route.
Figure 3.The routing table structure of AODV.
Each neighbor node either sends a reply to a source or re-broadcasts a request message to its neighbors depending on whether it is the destination or not. If a node is not the destination, it needs to keep track of a request packet to set up a reverse path as well as a forward path. When a destination replies, it uses the reverse path. The routing table content of a route discovery mechanism is shown in Figure 3. It shows that each node maintains a routing table containing information about the destination, next-hop, number of hop to the destination, and sequence number.
The sequence number is very important for the operation of the AODV protocol. Mobile nodes can determine whether a route is a current one or a stale one by comparing the destination sequence number in the route request packet with that of the sequence number stored in the route cache. If the route request sequence number is greater than the recorded one, it does not send a reply to the source. Instead, it re-broadcasts that request message.
Like DSR protocol, an intermediate node can reply from its route cache. The difference is that a node only replies from its route cache if the route request sequence number is less than or equal to the sequence number stored in the route cache. If a node does have a current route, it sends a reply using a route reply packet. The reply packet travels along the reverse path, which was set up previously as shown in Figure 3. When a reply packet travels back through the reverse path, each intermediate node sets up a forward pointer to the node from which it receives this reply. When a route reply packet reaches the source, the source starts sending data packets to the destination using the discovered path. Unlike the DSR protocol, the AODV protocol does not use source routing. Hence, the data packets are smaller in size in the AODV protocol compared to that in DSR protocol.
3.3 The AOMDV Protocol
To improve the performance of AODV protocol, a multipath version of AODV protocol called AOMDV has been proposed [26]. In the AOMDV protocol, a destination node selects paths that pass through reliable nodes. In contrast to the AODV protocol, an intermediate node does not discard a duplicate request message. Instead, a node uses a request message to construct a table, called the RREQ table. The contents of an RREQ table include destination ID, next hop, and sequence number as shown in Figure 4. In addition, it contains information about the expiration time of a record. Intermediate nodes, located between a source and a destination, are not allowed to send a reply to the source.
When a destination node receives a route request packet, it updates its sequence number and generates a route reply packet. A route reply packet contains an additional field called next hop ID to indicate a neighbor from which this particular copy of the route reply packet is received. A destination node replies to all request packets that it receives from its neighbors. When an intermediate node receives a route reply packet from a neighbor, it deletes the entry for that neighbor and adds a routing entry to its routing table. Each entry in the routing table indicates the discovered route from itself to a destination node. While forwarding a reply to a neighbor, an intermediate node selects a neighbor that is on the shortest path. After forwarding a route reply packet to that neighbor, a node deletes the record of that neighbor from the RREQ table.
Figure 4.The routing table for AOMDV protocol.
When an intermediate node receives a route reply packet and if it cannot find any record in the RREQ table to which it can forward that reply packet, it generates a route discovery error message (RDER) and sends it to its neighbor from which it has received that route reply. After receiving a RDER message, a node forwards this route reply packet to another neighbor. Since an intermediate node makes decisions about which neighbor it should forward a packet, a source node and a destination node are unaware of that forwarding decision. For this reason, when a source receives a route reply packet, it sends another type of message called a route request confirmation message (RRCM).
3.4 The DSDV Protocol
The Destination-Sequenced Distance Vector (DSDV) protocol is a table-driven routing protocol based on the improved version of the classical Bellman-Ford routing algorithm [27]. The DSDV protocol is a modified version of Routing Information Protocol (RIP) [28]. With RIP, a node holds a routing table containing all the possible destinations within the network and the number of hops to each destination.
A limitation of DSDV is that it provides only one route for a source/destination pair. The structure of the routing table for this protocol is simple. Each table entry has a sequence number that is incremented every time a node sends an updated message. Routing tables are periodically updated with the change in network topology and are propagated throughout the network to keep consistent information throughout the network. Each node maintains two routing tables- one for forwarding packets and one for advertising packets. The routing information sent periodically by a node contains a new sequence number, the destination address, the number of hops to the destination node, and the sequence number of the destination.
When a node detects changes in network topology, it sends a message to its neighbor to update neighbor list. On receipt of an update message from a neighboring node, a node updates its routing table. If the new address has a higher sequence number, the node selects the route with a higher sequence number and discards the old sequence number. If the incoming sequence number is identical to the one belonging to the existing route, a node selects a route with the least cost. In case of a broken link, a cost of the metric with a new sequence number is assigned to ensure that sequence number is always greater than or equal to the sequence number of that node. One of the limitations of DSDV is its high overhead packets. The overhead packets of the DSDV protocol increase with the total number of nodes in the adhoc network. This fact makes the DSDV suitable only for small networks.
4.The Analytical Models
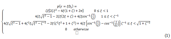
In this work, we consider ad hoc network consisting of mobile nodes that are uniformly distributed over a rectangular area. The rectangular area is defined by width, D1 and length, D2. The location of the mobile nodes are determined by the coordinate (x,y), where x and y are uniformly distributed random variables in the range of (0-D1) and (0-D2) respectively. To determine the average link distance between a given source and destination we consider the link distribution model presented in [29], which defines the probability density function of the link distribution as
where ζ=D1/D2 is the shape parameter of a rectangular network area, ξ=γD1, . Based on this model we derive the variation of mean link distance, with respect to different network areas (see Figure 5). We consider this mean link distance in the rest of our analysis.
In this work, we consider two channel models namely deterministic channel model and random channel model. For the deterministic channel model, we choose a popular model called two-ray ground reflection model. In this model, the distance covered by the transmission range of a mobile is deterministic. According to this model, the received power at a distance d from the transmitter is expressed as
In this analysis, we set transmitting antenna gain,Gt=1, receiving antenna gain, Gr=1, transmitting antenna height ht=1.5m, receiving antenna height, hr= 1.5m, and transmission power is Pt= 0.1154 watt. If the minimum signal threshold level is Pth= 3.631 x 10-10 watt, the distance covered by the transmission of a mobile node will be 200mas determined by (2). Then, the number of hops traveled by a packet can be determined by
For random channel model, we use shadowing propagation model. The shadowing propagation model takes into account the variation in signal with respect to both distance and surrounding areas. Hence, the signals received from a transmitter at two different locations having the same separation distance may vary widely. In general, the path loss PL(in dB) is given by
Figure 5.The variations of the link distance and number of hops with network area.
where PL(d0) is the path loss (in dB) at a reference distance d0 and PL(d) is the path loss (in dB) at distance d provided (d ˃ d0), and n is the path loss exponent. Since (3) does not consider the effects of surrounding environment, we consider the path loss defined by (3) as the ensemble average and given by
In random channel model, the actual path loss is random and distributed log-normally (in dB) that is given by
where Xσ is a zero-mean Gaussian distributed random variable (in dB).Hence, the path loss is also Gaussian distributed random variable with mean. Hence, the actual received power at a given distance is also Gaussian random variable and can be expressed as
where the Pt is the transmission power in dBm. Hence, the probability density function (pdf) of the received power is given by
where σ is the standard deviation of the received signal. If Pth is the threshold power level (i.e. minimum power level required to successfully detect a packet), the probability that the received power is greater than Pth is given by
By the substitution of variable method (8) it can be expressed in terms of the Q- function [8] and is given by
A plot of this probability with respect to distance is shown in Figure 6. Here, Pt=-9.34 dB, Pth=-146 dBm, Pr=-21.6 dB,n=4, and σ=5. This figure shows that the effect of the random channel is not very significant for a small network because it has a small average link distance. Hence, the neighbors of a mobile node will successfully receive packets (both overhead and data) with a high probability (very close to 1).But, the average link distance increases with the increase in network size and mobile nodes will be located at far distance will not be able to receive the signal. For example, the probability of successful reception of the packet is 95% at a link distance of 120m. But, the same is 20% at a distance of 170m. This kind of low probability of signal reception has a significant effect on the route discovery process, route maintenance, and data packet transmission in ad hoc networks. Moreover, the underlying MAC protocol may not work properly due to the poor signal condition. Hence, there will be more inefficient route discovery, poor route maintenance, and unsuccessful data packet delivery.
Figure 6.The probability of successful signal reception with distance.
To investigate the effects of channel randomness on the packet delivery activity, let us consider a case of multihop data packet transmission as shown in Figure 7. Here, the source is sending a packet to a destination over k-number of links. Hence, the packet will be successfully delivered to the destination if and only if the packet is successfully received by the mobile nodes located at the end of each link.
Figure 7.Scenario of multihop packet delivery.
Let us assume that p is the probability that the signal level at the end of the link will be below the required threshold level. Let us also assume that P is the probability that the signal level will be below the threshold level over the entire link. We would like to find the probability P in terms of p. The probability of successfully detecting a signal above the required minimum level is 1-pover one link and the probability of successfully detecting a signal over the entire k links is 1-P and is given by
Let us assume that the average link distance is 150m for a given network size. It is shown in Figure6 that the probability of successful packet detection is 50% for this link distance. Hence, the probability of unsuccessful packet detection will be (1-0.50)=0.5 over one link. By replacing this p=0.50 in (10), we can find the probability of successful packet reception over different hops. This probability is plotted in Figure 8, which shows that the probability of successful packet reception decreases exponentially with respect to the number of hops. It is also depicted that this probability of successful packet delivery is almost zero when hop number exceeds 3 or more.
Figure 8.The probability of successful packet delivery over hops.
Random channel model has a grave impact on network coverage area. Because signals in some locations in the network (termed as ‘shadowing zone’) will be below the threshold level. Hence, mobile nodes located in the shadowing zone will not be able to receive packets including routing packets, data packets, and MAC packets. It is obvious that the actual area covered by the transmission of a mobile node will be less than that of the ideal coverage area. Let us assume that the transmission radius of a mobile node is given by R. Hence, the ideal coverage area (without shadowing) will be πR2. We define a ‘useful service area’ covered by the transmission of a mobile node is the area where the signal level will be above the required threshold level. The percentage of the useful service area is defined by
By choosing the signal level required at the perimeter of a transmission radius equal to the minimum threshold level we can simplify (12) into (13). A plot of the coverage area with respect to σ/n is shown in Figure 9. It depicts that the percentage of useful coverage areas highly depends on path loss exponent, n and the standard deviation of the signal, σ. Since these two parameters depend on the environment where the ad hoc network is deployed, the coverage of a mobile node will also vary depending on the environment.
Figure 9.The percentage of the area coverage.
This kind of random channel condition affects the route discovery mechanism of all routing protocols investigated in this paper. For example, once a source initiates the route discovery, only a few neighboring nodes will receive the packet. Hence, the following things can happen. The route discovery may end up with an unsuccessful one and hence the network coverage area may be affected. Even with successful route discovery, the mobile node can discover longer route and hence the end-to-end delay will increase. Moreover, few routes may be discovered and may affect multipath routing protocol like AOMDV. These effects are investigated via simulations and the results of the simulations are presented in the following section.
5.The Simulation Results
While doing network simulations we consider two channel models namely two-ray ground reflection model and random channel model (i.e., shadowing model). First, we conduct simulations by using the two-ray ground reflection model and then we conduct same simulations by using random channel model. The simulations are conducted via NS-2.35 network simulator [30]. In these simulations, we create an ad hoc network consisting of 100 mobile nodes. The mobile nodes are uniformly distributed over a network area of 1000m by 500m. Then, we increase the network area while maintaining the same number of nodes to increase the average link distance between two nodes. Ten Unigram Data Protocol (UDP) connections are set up during each simulation. These connections start randomly during the simulation time by using the Constant Bit Rate (CBR) agent. The source and destination for each connection are chosen randomly. The simulations are conducted by using ten different topologies, which are created by using a different value of ‘seed’. The other simulation parameters are listed in Table 1.
The performances of routing protocols under the two-ray ground reflection model are shown in Figure 10-13. Figure 10 shows the total number of the overhead packet (i.e., packets other than data packets) generated by different routing protocols. It is clearly depicted in this figure that DSDV protocol generates the maximum number of overhead packets in the network under varying network size. The result confirms the claim that DSDV generates huge overhead packets as mentioned above. The other three protocols namely AODV, DSR, and AOMDV generate comparatively low overhead packets.
Table 1.Simulation Parameters.
Figure 10.The variation of overhead packets with network area.
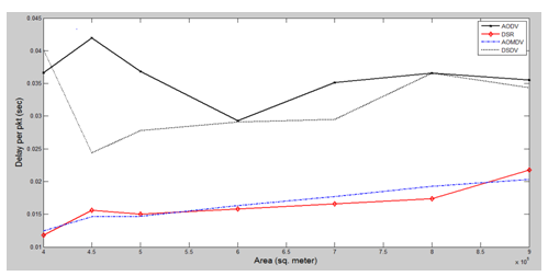
The delay performance of different routing protocols is shown in Figure 11. In this work, the delay per packet is determined by the total delay of each data packet divided by a number of data packets successfully delivered to the destinations. This figure shows that the delay per packet is high for DSDV and AODV protocol. But, the same is almost 50% lower for AOMDV protocol and DSR protocol. Moreover, the delay performance is almost similar for AOMDV and DSR protocols.
The delay performance of different routing protocols is shown in Figure 11. In this simulation, the delay per packet is determined by the total delay of each data packet divided by a number of data packets successfully delivered to the destinations. This figure shows that the delay per packet is high for DSDV and AODV protocol. But, the same is almost 50% lower for AOMDV protocol and DSR protocol. Moreover, the delay performance is almost similar for AOMDV and DSR protocols.
Figure 11.The variation of delay with network area.
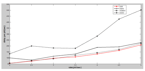
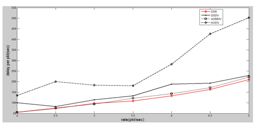
Figure 12.The delay performance under different network load.
Since the delay performance varies with the traffic generated in the network, we increase the packet generation rate from 1 packet/second to 5 packets/second by keeping other simulation parameters same. The delay performance under different traffic load is illustrated in Figure12. This figure depicts that the AODV protocol suffers from high delay and this is far above the delay generated by other protocols. Surprisingly, proactive protocols like DSDV shows less delay compared to the reactive routing protocol like AODV. Again, the delay performance of DSR and AOMDV are lying at the bottom.
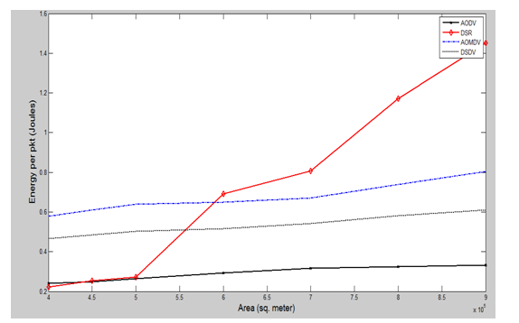
The energy consumption in the network is another important issue. Figure 13 shows the energy consumed by the ad hoc network with different routing protocols. The energy consumption in the network is measured by total energy consumed in the network by all nodes divided by total packet delivered to the destination and is measured by Joules/pkt. To measure energy consumption we use the energy model provided with NS-2.35. We consider only the energy consumed by data packets transmission. This figure shows that AOMDV and DSDV protocols consume higher energy compared to DSR and AODV protocols. Among all the investigated protocols, DSR protocol consumes the minimum energy. Based on the results presented in Figure 10-13, we can summarize and compare the performances of the protocols in Table 2.
Figure 13.The energy consumption in the network area.
Table 2.Comparison of routing protocols under two-ray ground channel model.
Figure 14.The overhead generation under random channel condition.
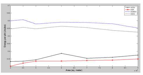
To simulate the ad hoc network under random channel model we repeated the similar simulation scenarios. We use the shadowing model with path loss exponent, n=2 and standard deviation, σ=4. The simulation results for the random channel model are shown in Figure 14 -18.
Figure 14 shows the overhead packets generated by the investigated routing protocols in the network. It is depicted in this figure that the overhead packets generated by routing protocols under random channel condition are much higher compared to the same under the two-ray channel model (compare Figure 10 and Figure 14). For example, the routing overhead packets generated by DSDV under two-ray model is 16000 for a network size of 1000m x 900m as shown in Figure10. But, the same value becomes much higher (i.e., 80000) for the same network size as shown in Figure14. One common thing is that the DSR protocol generates the least number of overhead packets under both channel conditions. Another significant finding is that the AODV and AOMDV protocols generate almost the same overhead packets under random channel environment.
Figure 15.The delay performance under random channel condition.
Figure 16.The delay performance under varying traffic load condition
The delay performances of the routing protocols under random channel condition are shown in Figure 15. Comparing the results presented in Figure 11 and Figure 15, we can conclude the delay is much higher under random channel condition. This high delay occurs due to inefficient routing selection. Under the two-ray ground reflection model, DSR protocol shows the least amount of delay. Surprisingly, DSDV protocol shows the least delay under random channel condition. This is in contrary to the claim that DSDV is not a suitable routing protocol for adhoc network.
Figure 17.The energy consumption under random channel condition.
Again we vary the packet generation rate to investigate delay performance under different network traffic condition. This result is depicted in Figure 16, which shows that DSDV and AOMDV protocols cause the least amount of delay compared to DSR and AODV protocols. Hence, we can conclude that AOMDV can be considered a good candidate for ad hoc networks under random channel conditions. Finally, energy consumed by ad hoc networks under different routing protocols is shown in Figure 17. We can conclude from this figure that the AODV protocol performs better than other protocols. Although DSR protocol shows energy efficiency in the two-ray ground reflection model, it performs very poorly under random channel condition. Hence, in terms of energy consumption and under random channel condition AODV is the best candidate for adhoc network. The performances of the routing protocols under random channel condition are summarized in Table 3.
Table 3.Comparison of routing protocols under random channel condition.
6.Conclusion
In this paper, performances of different routing protocols for adhoc network have been investigated and compared. We consider two channel models namely the two-ray ground reflection model and the random channel model. We also consider four routing protocols in this work. The results show that the performances of routing protocols widely depend on the underlying channel conditions. The results also show that we need to select a suitable routing protocol based on adhoc network’s application. For example, we should consider a routing protocol that consumes the least amount of energy to ensure the long operating life of ad hoc networks. In this scenario, the AODV protocol is a good candidate under random channel conditions as shown in the simulation results. On the other hand, the DSR protocol is a good candidate under the two-ray ground reflection model. Similarly, we should choose DSDV or AOMDV protocol for delay-constrained applications because these two protocols enjoy the least amount of delay. Based on the extensive simulation results we prepare Table 3 and Table 4. These tables can provide a guideline for selecting appropriate routing protocol for ad hoc network under different channel conditions.
In this work, we consider only static network in order to avoid complexity in the analysis. But, node movement is very common phenomena in ad hoc network and performances of ad hoc network greatly vary with node mobility. Hence, we need to consider mobility in the simulation in order to do fair judgment of selecting an appropriate routing protocol for the ad hoc network. These tasks have been left as future works.
References
[1] A.J. Goldsmith and S.B. Wicker, “Design Challenges for Energy-Constrained Ad hoc Wireless Networks”, IEEE Wireless Communication, Vol. 9, No. 4, August 2002, pp. 8-27
[2] C.E. Perkins and P. Bhagwat, “Highly dynamic destination-sequence distance-vector routing (DSDV) for mobile computers” Proceedings of ACM SIGCOMM London, UK, August 1994, pp. 234-244
[3] J. Broch, D. B. Johnson, and D. A. Maltz, “The Dynamic Source Routing Protocol for Mobile Ad Hoc Networks”, IETF Internet-Draft, draft-ietf-manet-dsr-00.txt March, 1998
[4] C.E. Perkins, “Ad Hoc On Demand Distance Vector (AODV) routing”, Internet-Draft, draft-ietf-manet-aodv-00.txt November 1997
[5] Das SR, Perkins CE, Royer EM, and Marina MK, “Performance comparison of two on-demand routing protocols for ad hoc networks”, IEEE Personal Communications Magazine, Vol. 8, No.1, February 2001, pp.16-28
[6] Tseng Y-C, Ni S-Y, Chen Y-S, and Sheu J-P, “The broadcast storm problem in a mobile ad hoc network”, Wireless Networks, Vol. 8, No. 2–3, March 2002, pp.153–167.
[7] Mohammed Tarique, Kemal. E. Tepe, SasanAdibi, and ShervinErfani, “ Survey of multipath routing protocols for mobile ad hoc networks”, Journal of Networks and Computer Application, Vol. 32, No.6, November 2009, pp. 1125-1143.
[8] Theodore S. Rappaport , “ Wireless Communication Principles and Practices”, 2nd Edition, Prentice Hall, pp. 101-107
[9] Y.-C. Cheng and I.G. Robertazzi, “Critical connectivity phenomena in multihop radio Models”, IEEE Transaction on Communication, Vol. 37, No.7, July 1989, pp. 770- 777
[10] P. Piret, “ On the connectivity of radio networks”, IEEE Transaction on Information Theory, Vol. 37, No. 5, September 1991, pp. 1490-1492
[11] P. Gupta and P.R. Kumar, “Critical power for asymptotic connectivity in wireless networks”,Proceedings of IEEE Conference, Contl, December 1998, pp. 1106-110
[12] P. Santi and D.M. Blough, “The critical transmitting range for connectivity in sparse wireless ad hoc networks”, IEEE Transaction on Mobile Computing, Vol. 2, No. 1, March 2003, pp.25-39
[13] P. Santi, M. Blough, and F. Vainstein, “A probabilistic analysis for the radio range assignment problem in ad hoc networks”, Proceedings of ACM International Symposium on MobileAd Hoc Network and Computers (MobiHoc), Long Beach, USA, October 2001
[14] C. Bettstetter, “ On the minimum node degree and connectivity of a wireless multihopnetwork”, Proceedings of ACM International Symposium on Mobile Ad hoc Network and Computing (MobiHoc), Lausanne, Switzerland, June 2002
[15] C. Betstetter, “On the connectivity of ad hoc networks”, The Computer Journal, Vol. 47, N0.4,
July 2004, Oxford University Press, pp. 432-447
[16] O. Douse, P. Thiran, and M. Hasler, “Connectivity in ad hoc and hybrid networks”, Proceedings of IEEE Infocom, New York, USA, June 2002
[17] Bau Hua Liu, Brian P. Otis, SubashChalla, Paul Axon, Chun Tung Chou, Sanjay K. Jha, “The impact of fading and shadowing on the network performance of wireless sensor networks”, International Journal of Sensor Networks, Vol. 3, No. 4, June 2008, pp. 211-223
[18] Christian Bettsetter and Christian Hartmann, “Connectivity of Wireless Multihop Networks in aShadow Fading Environment”, Proceedings of AM International Workshop onModelling, Analysis ,and Simulation Of Wireless and Mobile System, San Diego, USA,September 2003
[19] Studei, P., Chinellato, O. and Alonso, G., “Connectivity in the presence of shadowing in 802.11
ad hoc networks”, In the Proceedings of IEEE Wireless Communication and Networking (WCNC), March 2005, Vol.4, pp. 13-17
[20] Md. Anwar Hossain, Mohammed Tarique, and Rumana Islam, “ Shadowing Effects on Routing Protocol of Multihop Ad Hoc Networks”, International Journal of Ad hoc, Sensor & Ubiquitous Computing (IJASUC), Vol. 1, No. 1, March 2010, pp. 12-28
[21] DrupadDebnath, Chowdhury Akram, Rumana Islam et. al. “Minimizing Shadowing Effects on Mobile Ad hoc Networks”, Journal of Selected Areas on Telecommunication (JSAT), October 2011, pp. 46-51
[22] Daniele Miorandi,” The Impact of Channel Randomness on Coverage and Connectivity of Ad Hoc and Sensor Networks”, IEEE Transaction on Wireless Communication, Vol. 7, No. 3, March 2008, pp. 1062 – 1072
[23] Nagesh K. N ; Satyanarayana D, NageshPoojary, and ChandrashekarRamiah, “ An analytical expression for k-connectivity probability of wireless ad hoc networks in presence of channel randomness”, Proceedings of IEEE International Conference on Wireless Information Technology and Systems, November 11-16, 2012, Maui, Hi, USA, pp.
[24] D. Miorandi ; E. Altman, “ Coverage and connectivity of Ad hoc networks in presence of channel Randomness”, Proceedings of the 24th Annual Joint Conference of the IEEE Computerand Communication Societies INFOCOM 2005, March 13-17, 2005, pp. 491-502
[25] DavideDardari,” On the Connected Nodes Position Distribution in Ad HocWireless Networks with Statistical Channel Models”, Proceedings of the IEEEConference on Communication, June 24-28, Glasgow, UK, pp. 4741-4747
[26] Mahesh K. Marina1and Samir R. Das, “Ad hoc on-demand multipath distance vector routing” , Wireless Communication and Mobile Computing, Vol. 6, 2006, pp. 969-988
[27] Dimitri Bertsekas, Robert G. Gallager, “ Data Networks”, Second Edition, Prentice Hall, pp. 396-400
[28] Beharouz A. Forouzan, “Communication and Data Networks”, 4th Edition, McGraw Hill, New York, pp. 665-670
[29] Leonard E. Miller, “Distribution of Link Distances in a Wireless Network”, Journal of Research of the National Institute of Standards and Technology, Vol. 106, No. 2, March-April, 2001, pp.401-412
[30] The Network Simulator (NS-2) available at https://www.isi.edu/nsnam/ns/