International Journal of Computer Networks & Communications (IJCNC)

AIRCC PUBLISHING CORPORATION

7315cnc06.pdf

TRAFFIC OFFLOADING IMPACT ON THE PERFORMANCE OF CHANNEL-AWARE/QOS-AWARE SCHEDULING ALGORITHMS FOR VIDEO-APPLICATIONS OVER LTE-A HETNETS USING CARRIER AGGREGATION

Najem N. Sirhan, Gregory L. Heileman, Christopher C. Lamb

Electrical and Computer Engineering Department, University of New Mexico, Albuquerque, New Mexico, USA

ABSTRACT


Long Term Evolution (LTE) is defined by the Third Generation Partnership Project (3GPP) standards as Release 8/9. The LTE supports at max 20 MHz channel bandwidth for a carrier. The number of LTE users and their applications are increasing, which increases the demand on the system BW. A new feature of the LTE-Advanced (LTE-A) which is defined in the 3GPP standards as Release 10/11 is called Carrier Aggregation (CA), this feature allows the network to aggregate more carriers in-order to provide a higher bandwidth. Carrier Aggregation has three main cases: Intra-band contiguous, Intra-band non-contiguous, Inter-band contiguous. In addition to the Carrier Aggregation feature, LTE-A supports Heterogeneous Networks (HetNets). HetNets consists of a mix of macro-cells, remote radio heads, and low power nodes such as pico-cells, and femto-cells. HetNets allow cellular network operators to support higher data traffic by offloading it to a smaller cells such as femto-cells. The aim of this paper is to evaluate the Quality of Service (QoS) performance of the Modified Largest Weighted Delay First (MLWDF), the Exponential Rule (Exp-Rule), and the Logarithmic Rule (Log-Rule) scheduling algorithms while offloading 50% of the macro-cell’s traffic to five femto-cells, 100% of the macro-cell’s traffic to five femto-cells, 100% of the macro-cell’s traffic to ten femto-cells, and to compare it with the case in-which traffic offloading is not applied. The QoS performance evaluation is based on the system’s average throughput, Packet Loss Rate (PLR), average packet delay, and fairness among users. The LTE-Sim-5 with modifications is used in the simulation process. Simulation results show that offloading 100% of the Macro-cell’s traffic to five femtocells had the highest maximum throughput, and the best PLR values especially when using the Log-Rule, in-which using it maintained the PLR values around 0.15 despite increasing the number of users. The least average packet delay was achieved when offloading 100% of the Macro-cell’s traffic to ten femto-cells, the delay dropped to below 5 ms. The fairness indicators for the three scheduling algorithms while traffic offloading was applied fluctuated in a linear way between a range of values of 0.7 and 0.9.

KEYWORDS

Long Term Evolution (LTE), LTE-Advanced (LTE-A), Carrier Aggregation (CA), Intra-band contiguous, Heterogeneous Networks (HetNets), Femto-cells, Quality of Service (QoS), Exponential Rule (Exp-Rule), Logarithmic Rule (Log-Rule), Modified Largest Weighted Delay First (MLWDF), LTE-Sim-5.

1.INTRODUCTION


The LTE was introduced as an evolution to the Universal Mobile Telecommunication Systems (UMTS) to provide cellular network users with high data rates in both the uplink and downlink direction, decreased latency, and good spectrum utilization [1]. The spectrum utilization could be achieved by the use of the right scheduling algorithm that meets with the environment’s International Journal of Computer Networks & Communications (IJCNC) Vol.7, No.3, May 2015 76 conditions and the users’ requirements demands. There are many scheduling algorithms that exist in the literature that are used in the LTE scheduling process. These algorithms can be classified in five main groups: channel-unaware, channel-aware/QoS-unaware, channel-aware/QoS, semipersistent for VoIP support, and energy-aware [2]. When the number of users and their applications increases, such as video-streaming and video-conferencing, this requires higher data rates and decreased latency, which declines the service that the LTE provides to its users. This challenge of providing a reliable service up to the users’ requirements demands can not be solved entirely by choosing the right scheduling algorithm, because the performance of these scheduling algorithms is bounded by the existing LTE capabilities, such as the system’s bandwidth. The LTE supports at max 20 MHz channel bandwidth. However, the LTE-A can support more channel bandwidth according to the release as specified in the 3GPP’s technical specifications. In Release 10 (R10), the maximum aggregated bandwidth is 40MHz. And it is also 40MHz in Release 11 (R11), but with much more CA configurations [3]. The use of CA is not the only approach that cellular network operators follow to provide higher data bit rates to their users. Cellular network operators offload their users’ traffic in dense urban environments to smaller cells such as picocells and femto-cells which are supported by the LTE and LTE-A networks. This approach of operating various formats of cells, radio access technologies, and combining them in a seamless way raised the concept of Heterogeneous Networks (HetNet) [4]. This motivated the work of this paper, which is an extension to a previous work in [5], in-which the Intra-band contiguous case of the CA was implemented by modifying the LTE-Sim-5, then the QoS performance of a three Channel-aware/QoS-aware scheduling algorithms was evaluated for video-applications over LTE/LTE-A in the Down-Link (DL) direction. The extension in this work relies in evaluating the performance of the same three scheduling algorithms, the Modified Largest Weighted Delay First (MLWDF), the Exponential Rule (Exp-Rule), and the Logarithmic Rule (Log-Rule) in an LTE-A HetNets layout using CA in the DL direction while different serving scenarios of traffic offloading are applied.

The structure of this paper is as follows: in section 2, we explained the LTE network architecture. In section 3, we explained the carrier aggregation. In section 4, we explained the LTE-A heterogeneous networks. In section 5, we explained the LTE scheduling algorithms which we evaluated in this paper. In section 6, we explained the simulation environment and listed its parameters. In section 7, we used the simulation results to measure the QoS parameters which we displayed in line charts and then analysed. In the last section, we provided a concluding remarks.

  2. LTE NETWORK ARCHITECTURE


The LTE network architecture can be divided into two main parts: the Radio Access Network (RAN), and the Evolved Packet Core (EPC) as in Figure 1. The RAN consists of an Evolved NodeB (eNodeB) and User Equipment (UE). The eNodeB is the connection point for the UE with the core network. It hosts the PHYsical (PHY), Medium Access Control (MAC), Radio Link Control (RLC), and Packet Data Control Protocol (PDCP) layers that include the functionality of user-plane header-compression and encryption. It also offers Radio Resource Control (RRC) functionality that corresponds to the control plane. Scheduling, admission control, and radio resource management are also performed in the eNodeB. The EPC part consists of five main components: the Policy Control and Charging Rules Function (PCRF), the Home Subscriber Server (HSS), the PDN-Gateway (P-GW), the Serving Gateway (S-GW), and the Mobility Management Entity (MME). The PCRF is a logical node that is responsible for policy control decision-making, and controlling the flow-based charging functionalities in the Policy Control Enforcement Function (PCEF) which is being hosted at the P-GW. It also decides how a certain data flow will be treated in the PCEF by providing the QoS authorization, QoS class identification, and determine the bit rates in accordance with the user’s subscription profile. TheHSS is the database of the LTE network, it contains all the users’ subscription QoS profile, information about the Packet Data Networks (PDNs) in-which the user can connect to, dynamic information that relates the identity of the MME to which the user is currently attached or registered to, and it may also integrate the Authentication Center (AuC) that generates the vectors for authentication and security keys. The P-GW is the gateway which is responsible for QoS enforcement for Guaranteed Bit Rate (GBR) bearers, flow-based charging according to rules from the PCRF, and the allocation of IP addresses to users. In addition it filters user’s IP packets into different QoS-based bearers based on Traffic Flow Templates (TFTs). It also serves as the mobility anchor for inter-working with non-3GPP networks such as WiMAX and WiFi. The SGW is the gateway that serves as the local mobility anchor for the data bearers while users are moving between eNodeBs, in which all their IP packets are transferred through it. It temporarily buffers user’s downlink data when it is in the idle state, while the MME initiates paging of the UE to re-establish the bearers. It performs administrative functions in the visited network such as collecting information for charging and legal interception. It also serves as the mobility anchor for inter-working with 3GPP networks such as General Packet Radio Service (GPRS) and Universal Mobile Telecommunication Systems (UMTS). The MME is the main node in the EPC, it manages the Authentication and Security, the subscription profile and service connectivity of users. It is responsible for all the mobility management tasks such as inter eNodeBs handovers, inter MMEs handovers, and it keeps a track of the location of all users [6].

3. CARRIER AGGREGATION


The 3GPP Release 8/9 supports at max 20 MHz channel bandwidth for a carrier. The issue of supporting more bandwidth for a carrier seems to be a straight forward solution to support more data rate. Hence the concept of carrier aggregation was introduced where multiple carriers of 20 MHz (or less) would be aggregated for the same UE. Figure 2 shows the principle of carrier

Carrier aggregation in the downlink and uplink are entirely independent as long as the number of uplink carriers cannot exceed the number of downlink carriers. Each aggregated carrier is called a Component Carrier (CC). 3GPP defined three types of allocation that meets different operator’s spectrum scenarios: Intra-band contiguous, Intra and Inter-band non-contiguous as Figure 3

4. LTE-A HETEROGENEOUS NETWORKS (HETNETS)


Heterogeneous Networks (HetNets) consists of a mix of macro-cells, remote radio heads, and low power nodes such as pico-cells, and femto-cells. Macro-cells are basically an eNodeB that provide coverage to few kilo-meters, it provide an open public access and guaranteed minimum data rate under a maximum tolerable delay, it uses a dedicated backhaul, and it emits up to 46 dBm. Remote Radio Head (RRH) are compact-size, high-power and low-weight units, which are International Journal of Computer Networks & Communications (IJCNC) Vol.7, No.3, May 2015 79 mounted outside the conventional macro-cell’s base station, and connected to it through a fibre optic cable to create a distributed base station, in-which the central macro-cell’s base station is in charge of controlling and baseband signal processing, moving some radio circuitry into the remote antenna. The use of RRHs eliminates the power losses in the antenna cable and reduces the power consumption. Pico-cells are low power eNodeB that provide coverage to around 300 meters, they are usually deployed in a centralized way with the same backhaul and access features as macro-cells, they are deployed in outdoor or indoor coverage, and they emits power up to 23 to 30 dBm. Femto-cells are also known as home base stations, they are data access point that are installed indoors to get better coverage and capacity gain which makes its deployment an attractive choice [9]. The better coverage is provided due to the short distance between the transmitter and the receiver “about 50 meters at max” which reduces the power consumption. And the better capacity gain is obtained from achieving higher Signal to Interference plus Noise Ratio (SINR), and from the dedicated base stations to its users [10]. The main challenges that rises in the deployment of femto-cells are; interference coordination and mobility handover. The interference occurs when both the femto-cell and the macro-cell are operating on the same frequency. However, LTE-A provide techniques to coordinate the interference, such as backhaul-based coordination, sub-band scheduling, dynamic orthogonalization and adaptive fractional frequency re-use [11]. Regarding the interference coordination challenge, and according to [12], Resource Blocks (RBs) can be shared among several femto-cell users simultaneously, however they can’t be shared among macro-cell users. This is because the RBs are orthogonal to each other in the case of macro-cell, this means that there is no need for the interference coordination among macro-cell users. However, in the case where femto-cells are present, the RBs which are being used by femto-cells are not orthogonal to the ones used in the macro-cell, so interference coordination is needed among those users. There are two coordination approaches; the inter-tier and intra-tier interference coordination. In the case of the inter-tier interference coordination approach, the allocation of RBs between the macro-cell and femto-cell users are always orthogonal. The RB that is assigned to a macro-cell user is not applicable to be reused. The RBs that could be reused are the ones that are assigned to femto-cell users. In the case of intra-tier interference coordination strategy, it is needed only for the femto-tier where two floor models are considered; the inter-floor and the intra-floor models. In the case of inter-floor modelling, a group of RBs are reserved for the fairness improvement of macro-cell user, then the remaining RBs are equally divided into two groups. Each RB group is assigned to femto-cell users of the alternate floors. In the case of intra-floor modeling, femto-cell user can only reuse a RB that is served by another femto-cell user when its femto-cell user’s serving femto-cell base station is non-adjacent to the already assigned femto-cell user’s serving femto-cell base station. The femto-cells’ base stations must be at least 10 meters apart in-order for the RB to be reused, irrespective of the femto-cell base station locations in the same floor. One of the most important technical additions that improved the HetNets is the introduction of the Coordinated Multi-Point Transmission/Reception (CoMP) in LTE-A. Since HetNets aim to improve the spectral efficiency per unit area using a mixture of macro, micro, pico, and femtocells’ base stations. The goal with CoMP is to further minimize inter-cell interference for cells that are operating on the same frequency [13]. Regarding the mobility handover challenge, it occurs frequently because the femto-cell coverage area is small, so there will be lots of handovers from the femto-cell to the macro-cell “out-bound mobility” or from the macro-cell to the femto-cell “in-bound mobility” or between the femto-cell themselves, and it is important to provide a seamless connectivity during these handovers. Two main issues makes the femto-cell mobility a challenge; one issue relies in the fact that femto-cells International Journal of Computer Networks & Communications (IJCNC) Vol.7, No.3, May 2015 80 are not directly connected to the LTE core network “more specifically to the Mobility Management Entity (MME) that coordinates mobility procedures”, which will result in a high signalling delays. And the other issue relies in supporting features such as Selected IP Traffic Offload (SIPTO) [11]. A basic model that represent the LTE-A HetNets which consists of a macro-cell and a femto-cell, and how they are connected to the LTE core network is shown in Figure 4.

5. LTE SCHEDULING ALGORITHMS


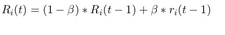
The LTE scheduling algorithms that were studied in this paper are: the Modified LargestWeighted Delay First (MLWDF), the Logarithmic Rule Algorithm (Log-Rule), and the Exponential Rule Algorithm (Exp-Rule). In all these algorithms the Proportional Fairness (PF)scheduler is used in-order to achieve channel awareness, which makes a trade-off between users’fairness and spectrum efficiency [2]. It schedule users in a fair way by taking into account boththe experienced channel state and the past data rate when assigning radio resources. It aims to obtain satisfying throughput and at the same time, guarantee fairness among flows. The equation

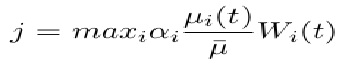
that users are selected based on is [14]:Where ri(t) is the achievable data rate according to the instantaneous channel quality of user i at tthTTI, and Ri(t) is the average data rate of user i over a time window, and it is calculated based on the following equation [14]:International Journal of Computer Networks & Communications (IJCNC) Vol.7, No.3, May2015 81 Where is a variable ranging from 0 to 1.5.1. Modified Largest Weighted Delay First (MLWDF)The MLWDF scheduling algorithm is designed to support multiple real time data users by taking into account their different QoS requirements. For example, in the case of video services, the instantaneous channel variations and delays are taken into account. It tries to balance the weighted delays of packets and to utilize the knowledge about the channel state efficiently. Itchooses user j at time t based on the following equation [15]:

Where μi(t) is the data rate corresponding to user i’s channel state at time t, μi(t) is the mean datarate supported by the channel, Wi(t) is the HOL packet delay and i > 0, i = 1, … , N are weightsthat represent the required level of QoS.The MLWDF’s delay is bounded by the Largest Weighted Delay First (LWDF) scheduler. TheLWDF metric is based on the system parameter, representing the acceptable probability for the user, in which a packet is dropped due to deadline expiration, and this metric is calculated

based on the following equation [2]:

Where ai is calculated based on the following equation:

The MLWDF is also expressed in terms of the PF scheduler as:5.2.

Logarithmic Rule Algorithm (LOG-Rule)


The delay of this scheduling algorithm is bounded by the following logarithmic equation [2]:International Journal ofComputer Networks & Communications (IJCNC) Vol.7, No.3, May 2015 82

Where i, bi, c are tunable parameters, and the spectral efficiency for the i-th user on the k-th subchannelis represented by:5.3.

Exponential Rule Algorithm (Exp-Rule) 


The delay of this scheduling algorithm is bounded by the following Exponential equation [2]:

6. SIMULATION ENVIRONMENT


The simulation environment had four different serving scenarios that are based on three networklayouts.The first network-layout consists of one macro-cell, the second network-layout consistsof one macro-cell and five femto-cells, the third network-layout consists of one macro-cell andten femto-cells. The first serving scenario is based on the first network-layout in-which all theusers are served by the macro-cell base station “to represent the case in-which traffic offloading isnot applied”. The second serving scenario is based on the second network-layout, in-which half ofthe users are served by the macro-cell base station, and the other half is served by the five femtocellsbase stations “to represent the case of offloading 50% of the macro-cell’s traffic to fivefemto-cells”. The third serving scenario is also based on the second network-layout, but in thisscenario all the users are served by the five femto-cells base stations “to represent the case ofoffloading 100% of the macro-cell’s traffic to five femto-cells”. The last serving scenario is basedon the third network-layout in-which all the users are served by the ten femto-cells base stations“to represent the case of offloading 100% of the macro-cell’s traffic to ten femto-cells”. Thebandwidth was 40MHz “to represent the LTE-A bandwidth with the use of CA”, and eachtransmitter had a 40MHz BW. The total number of users was varied from 30, 60, 90, 120, 150,180. The video bit-rate was constant at 440Kbps. More detailed parameters of this simulation arelisted in Table 1.Table 1. Simulation Parameters.Parameter Value

7. SIMULATION RESULTS


The LTE-Sim-5 [16] was used in this paper after modifying it to support the first case of the CA.Regarding the LTE-Sim-5 simulator, while it is in the process of simulating a scenario with a predefinedconditions, it takes into account both the signalling and data traffic. However, it onlydisplays the data traffic in its traces. These data traffic traces are used to measure the QoSparameters, the system’s average throughput, Packet Loss Rate (PLR), average packet delay, and

fairness among users. These measurements are displayed in all the following figures by taking thenumber of users as its X-axis factor and the QoS parameter as the Y-axis factor.7.1. System’s Average ThroughputSystem’s average throughput is defined as the amount of the total received packets for all usersper second. The system’s average throughput over the four LTE-A network-layouts are displayedin Figure 5. According to the obtained results that are displayed in Figure 5, increasing thenumber of users will increase the system’s average throughput until it reaches its maximum value.This increase is due to transmitting more data from the eNodeB or HeNodeBs to the new addedusers. The maximum value of the system’s average throughput differs based on the system’scapabilities.According to the obtained results that are displayed in the upper right of Figure 5, offloading 50%of the macro-cell’s traffic to five femto-cells resulted in a similar system’s average throughputperformance of what it was before the traffic offloading was applied, this similar performanceremained in effect until the number of users reached 120 UE. At this point, in the case wheretraffic offloading was not applied, the average throughput started to decline because the systemstarted to reach to its maximum throughput. However, this decline started to take place after thenumber of users exceeded 150 UEs in the case of offloading 50% of the macro-cell’s traffic to five femto-cells indicating that the system is starting to reach to its maximum throughput. Thedecline after the number of users exceeded 150 UEs in the offloading case indicates an increase inthe system’s maximum throughput. At this serving scenario, the three scheduling algorithmsshowed similar fluctuating performance, but with a slight drop for the Log-Rule after the numberof users reached 150 UE.According to the obtained results that are displayed in the lower left of Figure 5, offloading 100%of the macro-cell’s traffic to five femto-cells resulted in a slight drop of the system’s averagethroughput performance of what it was before the traffic offloading was applied. This slight dropof performance remained in effect until the number of users reached 120 UE. At this point, theincrease of the system’s average throughput kept on the same rate in the case were 100% of theInternational Journal of Computer Networks & Communications (IJCNC) Vol.7, No.3, May 201584macro-cell’s traffic was offloaded. Indicating that the maximum throughput will even go higherthan in the case of offloading 50% of the macro-cell’s traffic, which makes this serving scenario agood choice in terms of achieving a highermaximum throughput. At this third serving scenarios’condition the three scheduling algorithms showed a similar fluctuating performance.According to the obtained results that are displayed in the lower right of Figure 5, offloading100% of the macro-cell’s traffic to ten femto-cells resulted in a 10% – 15% drop of the system’saverage throughput performance of what it was before the traffic offloading was applied. Thisdrop took place for all over the scenario of different number of users. At this fourth servingscenario’s conditions, the use of the EXP-Rule resulted in the least system’s average throughputperformance, but it was improved after the number of users reached 150 UE.

According to the obtained results that are displayed in the lower left of Figure 6, offloading 100%of the macro-cell’s traffic to five femto-cells affected the PLR values in a way that it fluctuatedbetween 0.1 and 0.2 for all over the scenario of different number of users. This is the mostInternational Journal of Computer Networks & Communications (IJCNC) Vol.7, No.3, May201586recommended serving scenario in terms of PLR values with increasing the number of users. Andit is also recommended to use the Log-Rule in this serving scenario, because it showed moreperformance stability in terms of maintaining the values of the PLR close to 0.15 with increasingthe number of users.According to the obtained results that are displayed in the lower right of Figure 6, offloading100% of the macro-cell’s traffic to ten femto-cells affected the PLR values in a way that it fluctuated between 0.15 and 0.3 for all over the scenario of different number of users. with theleast performance stability for the Exp-Rule.

7.3. Average Packet Delay


The packet delay is the time that it takes a packet to travel from the source to its destination. Itincludes the propagation and waiting time of the packet. The Average Packet Delay is measuredby dividing the sum of the total packet delays that were successfully received over the number oftotal packets. The use of the CA causes a significant beneficial reduction of the average packetdelay. This is because it reduces the propagation time which is found by dividing the packetlength by the link bandwidth. Also, it reduces the waiting time for the packets in the waitingqueues at the eNodeB. The use of femto-cells has a very significant reduction on the propagationdelay due to shortening the distance between the transmitter “HeNodeB” and the users“receivers”. The average packet delay over the four LTE-A network-layouts are displayed inFigure 7.

 7.4. Fairness


Jain’s fairness index is used in this paper to determine if the scheduling algorithms are distributingfair portions of the spectrum to the users. It is measured by the following equation [17]:


Where rk denotes the throughput of user k. The Jain’s fairness index for the three scheduling algorithms over the four LTE-A networklayoutsare displayed in Figure 8.

According to the obtained results that are displayed in the upper left of Figure 8, the threescheduling algorithms showed similar fluctuating fairness when there was no traffic offloading,their fairness indicators started to drop polynomially when the number of users started to exceed90 UE until it reached a value of 0.9 when the number of users was 180 UE.According to the obtained results that are displayed in the upper right of Figure 8, when 50% ofthe macro-cell’s traffic was offloaded to the five femto-cells, the fairness indicators for the threecheduling algorithms fluctuated between 0.85 and 0.95 until the number of users exceeded 150UEs. After that the fairness indicators started to drop because the system started to reach itsmaximum throughput.According to the obtained results that are displayed in the lower left of Figure 8, when 100% ofthe macro-cell’s traffic was offloaded to five femto-cells, the fairness indicators of the threescheduling algorithms fluctuated between 0.75 and 0.9 for all over the scenarios of differentnumber of users.According tothe obtained results that are displayed in the lower right of Figure 8, when 100% ofthe macro-cell’s traffic was offloaded to ten femto-cells, the fairness indicators of the threescheduling algorithms fluctuated between 0.7 and 0.9 for all over the scenarios of differentnumber of users.

8. CONCLUSION


This paper has provided a comparative study on three Channel-aware/QoS-aware schedulingalgorithms over LTE-A HetNets layouts for video-applications. The comparison aimed to studythe behaviour of the selected algorithms when offloading 50% of the Macro-cell’s traffic to fivefemto-cells, 100% of the Macro-cell’s traffic to five femto-cells, and 100% of the Macro-cell’straffic to ten femto-cells, and to compare it when the traffic offloading was not applied. Inaddition, there was a comparison among the scheduling algorithms over all the network-layouts.The evaluation process was based on simulating different scenarios by varying the number ofusers. The LTE-Sim-5 was used in the simulation process with the Carrier Aggregationmodifications. The QoS performance evaluation was in terms of the QoS parameters, the system’saverage throughput, Packet Loss Rate (PLR), average packet delay, and fairness among users.Simulation results show that the system’s average throughput had slight differences over all thefour network-layouts. However, the highestsystem’s maximum throughput was achieved when100% of the macro-cell’s traffic was offloaded to five femto-cells. The PLR values variedsignificantly from network-layout to another. However, the best values were achieved whenoffloading 100% of the macro-cell’s traffic to five femto-cells, especially when the Log-Rule wasused, this is due to its performance stability in terms of maintaining the values of the PLR close to0.15 with increasing the number of users. The average packetdelay dropped significantly afteroffloading the traffic to the femto-cells, the least delay was achieved when 100% ofthe macrocell’straffic was offloaded to ten femto-cells, the delay dropped to below 5 ms. The fairnessndicators of the three scheduling algorithms showed a significant difference in their behaviourbefore and after the macro-cell’s traffic wasoffloaded to the femto-cells. Their behaviour beforeapplying the traffic offload, had a polynomial drop with increasing the number of users. However,their behaviour after applying the traffic offload, fluctuated in a linear way between a rangeof values of 0.7 and 0.9.

APPENDIX A: LIST OF ACRONYMS


3GPP Third Generation Partnership Project International Journal of Computer Networks & Communications (IJCNC) Vol.7, No.3, May 201589 AMC Adaptive Modulation and Coding AuC Authentication Center CA Carrier Aggregation CC Component Carrier CQI Channel Quality Indicator DCI Downlink Control Information CoMP Coordinated Multi-Point Transmission/Reception eNodeB Evolved NodeB EPC Evolved Packet Core Exp-Rule Exponential Rule FDD Frequency Division Duplex GBR Guaranteed Bit Rate GPRS General Packet Radio Service HOL Head of Line HSS Exponential Rule HetNets Heterogeneous Networks LTE Long Term Evolution LTE-A LTE-Advanced Log-Rule Logarithmic Rule LWDF Largest Weighted Delay First MAC Medium Access Control MCS Modulation and Coding Scheme MLWDF Modified Largest Weighted Delay First MME Mobility Management Entity OFDM Orthogonal Frequency Division Multiplexing PCEF Policy Control Enforcement Function PCRF Policy Control and Charging Rules Function PDCCH Physical Downlink Control Channel PDSCH Physical Downlink Shared Channel PDCP Packet Data Control Protocol PDNs Packet Data Networks PF Proportional Fairness PLR Packet Loss Rate PUSCH Physical Uplink Control Channel P-GW PDN-Gateway QAM Quadrature Amplitude Modulation QoS Quality of Service QPSK Quadrature Phase-Shift Keying R8/9 Release 8/9 R10/11 Release 10/11 RAN Radio Access Network RB Resource Block RLC Radio Link Control RRC Radio Resource Control RRH Remote Radio Head S-GW Serving Gateway SINR Signal to Interference plus Noise Ratio SIPTO Selected IP Traffic Offload TFTs Traffic Flow Templates TTI Transmission Time Interval UE User Equipment UMTS Universal Mobile Telecommunication Systems International Journal of Computer Networks & Communications (IJCNC) Vol.7, No.3, May 201590 VoIP Voice over IP Wi-Fi wireless fidelity WiMAX Worldwide Interoperability for Microwave Access

REFERENCES


[1] “3gpp, “lte.” [online]. available:.” http://www.3gpp.org/technologieskeywords-acronyms/98-lte

[2] F. Capozzi, G. Piro, L. A. Grieco, G. Boggia, and P. Camarda, “Downlink packet scheduling in lte cellular networks: Key design issues and a survey,” Communications Surveys & Tutorials, IEEE, vol. 15, no. 2, pp. 678–700, 2013.

[3] “3gpp, “carrier aggregation explained.” [online]. Available:.”http://www.3gpp.org/technologies/keywords-acronyms/101-carrier-aggregation-explainedtechnologies/keywords-acronyms/101-carrier-aggregation-explained

[4] ADVA, “Mobile Backhaul Solutions for LTE-Advanced.” [Online}. Available:www.advaoptical.com/en/resources/~/media/67CE966B69BE48E3B05A54

[5] N. N. Sirhan, G. L. Heileman, C. C. Lamb, and R. Piro-Rael, “QoS-Based Performance Evaluation of Channel-Aware/QoS-Aware Scheduling Algorithms for Video-Applications over LTE/LTE-A,” Computer Science & Information Technology (CS & IT), Vol. 5, no. 7, pp. 49-65, AIRCC, 2015.

[6] H. Holma and A. Toskala, LTE for UMTS-OFDMA and SC-FDMA based radio access. John Wiley & Sons, 2009. [7] A. T. H. Holma, LTE Advanced: 3GPP Solution for IMT-Advanced. Wiley, 2012.

[8] “Anritsu, understanding lte-advanced carrier aggregation. [online]. Available:.” http://downloadfile.anritsu.com/RefFiles/en-GB/Promotions/Understanding-Carrier-Aggregationweb. pdf

[9] D. Lopez-Perez, I. Juvnec, G. de la Roche, M. Kountouris, T. Q. S. Quek, and J. Zhang, “Enhanced Inter-Cell Interference Coordination Challenges in Heterogeneous Networks,” IEEE Wireless Communications, Vol. 18, Issue. 3, June. 2011, pp. 22 – 30.

[10] V. Chandrasekhar, J. G. Andrews, A. Gatherer, “Femtocell Networks: A survey,” IEEE Communications Magazine, Vol. 46, Issue. 9, Sept, 2008, pp. 59 – 67.

[11] J. G. Andrews, H. Claussen, M. Dohler, S. Rangan, and M. C. Reed, “Femtocells: Past, Present, and Future,” IEEE Journal on Selected Areas in Communications, Vol. 30, Issue. 3, March. 2012, pp. 497 – 508.

[12] R. K. Saha, “Modified Proportional Fair Scheduling for Resource Reuse and Interference Coordination in Two-Tier LTE-A Systems,” International Journal of Digital Information and Wireless Communications (IJDIWC) 3(2):9-28 The Society of Digital Information and Wireless Communications, 2013.

[13] Rohde & Schwarz, “ LTE-Advanced (3GPP Rel. 11) Technology Introduction.” [Online].Available:http://cdn.rohdeschwarz.com/pws/dl_downloads/dl_ application/application_notes/1ma232/1ma232/1ma232/1MA232_1E_LTE_Rel11.pdf

[14] B. Liu, H. Tian, and L. Xu, “An efficient downlink packet scheduling algorithm for real time traffics in lte systems,” in Consumer communications and networking conference (CCNC), 2013 IEEE, pp. 364–369, IEEE, 2013.

[15] M. Iturralde, T. Ali Yahiya, A. Wei, and A.-L. Beylot, “Performance study of multimedia services using virtual token mechanism for resource allocation in lte networks,” in Vehicular Technology Conference (VTC Fall), 2011 IEEE, pp. 1–5, IEEE, 2011.

[16] G. Piro, L. A. Grieco, G. Boggia, F. Capozzi, and P. Camarda, “Simulating lte cellular systems: an open-source framework,” Vehicular Technology, IEEE Transactions on, vol. 60, no. 2, pp. 498–513, 2011.

[17] C. Bae and D.-H. Cho, “Fairness-aware adaptive resource allocation scheme in multihop ofdma systems,” Communications Letters, IEEE, vol. 11, no. 2, pp. 134–136, 2007.

Leave a comment

Information

This entry was posted on June 23, 2015 by .